江湾金茂府售楼处电话:4 00-8874-108✔【已认证】⭐⭐⭐⭐⭐ 江湾金茂府营销中心电话:400-88
74-108✔✔【已认证】⭐⭐⭐⭐⭐ 上海江湾金茂府官方售楼处电话:400-8874-10 8 VIPLINE✔✔✔【已认证】⭐⭐⭐⭐⭐
——江湾金茂府——
江湾金茂府售楼处电话:400-88 74-108✔【最新预约】⭐⭐⭐⭐⭐
江湾金茂府营销中心电话:400-8874-10 8✔✔【最新认证】⭐⭐⭐⭐⭐
上海江湾金茂府官方售楼处电话:400-8874-1 08 VIPLINE✔✔✔【最新发布】⭐⭐⭐⭐⭐
如有问题可来电咨询,线上售楼中心,预约销售专员,一对一为您服务!
想了解江湾金茂府更多信息?拨打售楼处营销中心热线:400-8874-108 (中介勿扰)【24小时热线】重磅消息,贯穿千亿科创产业+百年学府的烫金大动脉,18号线年底通车倒计时!
这条轨交的开通,让18号线通南路站的地铁上盖TOD项目: 【江湾金茂府】,更火了!目前,项目四开四捷,五期即将入市!



早知道,在轨交开通前,【江湾金茂府】就已经是上海700-1200万级楼市的绝对热度王者了。
它不仅实现了热销,更以 成交面积、成交金额、成交套数“三冠王” 的绝对实力,重新定义了该价位段的竞争格局。
而这个热度的含金量,真的超强!
因为从5月至今,仅外环以内,便有56个新盘、近4000套房源有网签数据,从杨浦滨江、浦东三林、普陀桃浦到五角场,选择众多。
然而,在激烈的竞争红海之中,往往更能见证真正的王者。

但【江湾金茂府】究竟有什么样的
这样的热度究竟是为何呢?
第一,贯穿千亿科创产业+百年学府的烫金大动脉的18号线,年底开通!TOD江湾金茂府享全部利好与顶级圈层。
第二,不止18号线,2km范围内3轨交环绕,真正的节点性板块,未来可期。
第三,全国唯一一个坚持并迭代了16年的产品系,金茂府拥有全国最强的品牌力,客户忠诚度极高。
第四,住贯金茂府的人,其生活标准已被重新定义,科技系统带来的居住舒适度无与伦比。
第五,社区、户型、精装全维超配,产品力比肩市区豪宅!
...
毫无疑问,【江湾金茂府】可以说是当前700-1400万预算置业的终极答案,被北上海购房者哄抢的场景几乎可以预见!
三十年,金茂以孤注一掷的挚爱,与上海共谋一场宏大的浪漫
地标即隽永,心跳即共鸣!
江湾盛世,著写熠熠的府门
惟有金茂府 超越金茂府!!!
约 60m 尺度奢阔归家门庭, 约1800㎡ 下沉式庭院会所, 约2000㎡ 超级架空花园。

五期即将入市
推售建面约114-126-144-190m²3-4房,
装标3000元/m²
前期均价72800元/m²,总价约699万起

户型图赏鉴

作为备受期待的压轴楼王产品-建面约190㎡科技大四房户型首发,府系四房+绿金科技+超配奢装,ta的面世必将成为豪宅天花板再次引爆楼市!




解构江湾金茂府样板间:藏在细节里的「高级感密码」
先说样板房,还是那个词 “高级感” 扑面而来,就如现场一位客户所言: “区域最好的房子就该这样,面子里子都有!”
01、高定一体化设计!
不同于市面上门是门,框是框,墙是墙,看房时“五颜六色”。江湾金茂府室内采用一体化设计语言,实现空间、色彩与材质的协调统一。
项目墙面铺设大量木饰面,相比墙布,更具质感更温馨。同时为了保持室内色调的统一,建面126㎡内嵌式冰箱的面板也采用木饰面。
建面约126㎡样板间实景图,以实际交付为准

户内门更是暗藏玄机,通过巧妙的材质衔接与色彩过渡,门框、墙面与门扉浑然一体,化作 “隐形门” 。
甚至连一盏小小的夜灯,都以嵌入式设计融入墙面,与整体色调完美呼应。
建面约114㎡样板间实景图,以实际交付为准

一体化设计语言下,消除了户内五颜六色的拼凑割裂感,优化了空间整体性和一致性,带来高级的艺术品位。
02、高定奢艺弧线,让空间化身艺术空间!
样板间不是传统“金碧辉煌”的,而是真正用艺术品味去打造。
比如弧线,是建筑语言中极具表现力的元素,在室内贯穿始终。
客厅吊顶一眼匠心,多层次处理,辅以弧形工艺,非常优雅。

建面约114㎡样板间实景图,以实际交付为准
转角处,大量弧线造型取代冰冷的直角,不仅以柔和的轮廓减少磕碰隐患,更为空间注入优雅与流动的气息。
甚至连主卧内卫生间墙面都做了弧线收边。
地面通铺的大面积地砖,在弧线元素呼应下,延伸出很强的开阔感。

03、真正的高级感,永远藏在肉眼可见的细节里!
有一些细节有必要和大家分享:
项目墙面木饰面刻意设计上下纹理差异,并镶嵌金属线条,在视觉碰撞中营造立体层次。
建面约114㎡样板间实景图,以实际交付为准

入户玄关柜与卫生间抽屉,采用 “编织纹理” 皮革包裹,指尖触碰到的不仅是材质,更是高定生活的仪式感。
建面约114㎡样板间实景图,以实际交付为准

主卧背景墙内嵌金属线条,既是点睛装饰,又巧妙拉伸空间纵深感。
值得一提的是收纳,客厅收纳柜交付,你可以做酒柜,现场一位客户提醒了我,金茂府的恒温系统能够精准控制温度,适合珍藏酒类。主卫马桶后的置物空间也是交付标准。
04、对标10w+的精装标准!
项目专门定制「金大高档入户门」,颜值高、质感厚重,这样的门一般只在10w+楼盘中才有配备。
门锁配置同样尽显匠心,搭载飞利浦智能门锁系统,不仅有指纹、密码功能,还支持人脸识别解锁,双摄像头模拟人眼成像。

在使用频次超高的厨房和卫生间,妥妥超配。
厨房全超一线高端品牌,博世燃气灶、油烟机、洗碗机三件套;摩恩水槽、抽拉式水龙头。
colmo内嵌式冰箱也是交付标准。
建面约114㎡样板间实景图,以实际交付为准

杜拉维特的台盆、壁挂智能马桶,高仪的龙头、淋浴花洒在江湾金茂府卫生间聚首,700万+级很少有这样的配置。
主卫还定制女主人超爱的美妆冰箱、魔镜等专属配置,贴心满满。


此外,金茂府首创“8维70项”精装细节,全屋保姆式暖心设计,不赘述了,说太多不如亲自体验。
土拍回顾及规划
2024年12月30日,上海开启八批次土拍。宝山淞南K1-11地块经过激烈竞争,最终由金茂&招商竞得,成交总价43.07亿,溢价率16.03%。
地块四至范围:东至K1-09地块,南至K1-13地块(公共绿地),西至K1-01地块,北至淞发路。
根据设计方案显示, 项目拟建11栋12-18层可售住宅 ,总户数876户,可售住宅约807套;另需建设1栋保障性住宅房,靠近长江南路一侧规划有酒店、商业、菜场、社区食堂等业态。
地块中小套比例不低于50%,装修标准(集采价)不低于3000元/㎡。

联袂GOA、CCD、上景设计等全球顶尖团队,以上海首个TOD金茂府3.0姿态延续金茂府系“科技+自然”的基因,立下府系3.0 【一核、五美、两配套、两服务】 的迭新范本,雕琢更领先的生活方式与全球生活视野。
项目摒弃传统塔冠的繁复装饰, 采用天际塔冠造型 ,以弧美轮廓与金属铝板,在光影变幻间展现低调而奢华的质感,赋予金茂府“江湾之冠”的迭新与引领。

在建筑立面上,通透 玻璃幕墙叠加铝板 ,缔就钻感镜幕墙,「江湾之钻」钻感面屏+大窗墙比,地标艺术美学,境启全新奢宅风尚。
营造约 60m尺度奢阔归家门庭 ,通过奢石、铝板、水景、弧线等精妙组合,成就江湾显赫的府邸门面,礼遇每一次的世界归来。

还打造了 约1800㎡下沉式庭院会所 ,茶室、私宴厅、行政酒廊、恒温泳池、健身房、瑜伽空间、会客厅、儿童游乐等八大功能;还有 约2000㎡超级架空花园, 打造多样化主题;业主归家即度假,满足高端客户的各类活动需求。

另外,金茂还将 五星级酒店管理经验 运用到住宅中,提供酒店式服务;嫁接金享俱乐部服务,打造业主至尊交际金圈。
五衡科技,为健康保驾护航
在科技住宅领域,金茂一直承担着领军者的角色:一直被模仿,从未被超越。
作为金茂府系3.0迭新作品,江湾金茂府将金茂引以为傲 「12大绿金科技」 进一步优化,带来 “衡温、衡湿、衡氧、衡洁、衡静” 的五衡科技系统;
告别空间潮湿、空气流通不畅、邻居噪音干扰等痛点,全覆盖科技系统则完美解决苦恼,实现稳定、恒久的健康生活享受。

生活配套
交通方面: 项目距离地铁3号线长江南路站约1.3公里, 距离18号线通南路站(在建)不足百米。
自驾上, 逸仙路高架:12分钟可以快速直达,15分钟可达南北高架,内环高架,中环高架,30分钟可抵达各个核心城区。
商业方面: 一街之隔商业配套:939红街坊(麦当劳,必胜客,达美乐)、祥腾生活广场(屈臣氏,ktv等)。
20分钟车行国际商业配套:宝山万达、杨浦五角场、长江国际生活广场、悠方购物中心、大宁商圈、虹口龙之梦。

教育方面: 有上海长江第二中学、上海市宝山区淞南第二小学等;

医疗方面: 有宝山区淞南镇社区卫生服务中心、上海市第二康复医院、上海大学附属仁和医院、同济大学附属上海第四人民医院、复旦大学附属中山医院等医疗资源,为您及家人的健康保驾护航。

江湾金茂府售楼处电话:4 00-8874-108✔【已认证】⭐⭐⭐⭐⭐
江湾金茂府营销中心电话:400-88 74-108✔✔【已认证】⭐⭐⭐⭐⭐
上海江湾金茂府官方售楼处电话:400-8874-10 8 VIPLINE✔✔✔【已认证】⭐⭐⭐⭐⭐
如有问题可来电咨询,线上售楼中心,预约销售专员,一对一为您服务!
想了解江湾金茂府更多信息?拨打售楼处营销中心热线:400-8874-108 (中介勿扰)【24小时热线】
楼盘项目全面介绍,本电话为开发商提供线上预约售楼电话,楼盘项目全面介绍(包含楼盘简介,均价,房价,现房,期房,别墅,叠墅,大平层,价格,楼盘地址,户型图,交通规划,备案价,备案名,项目配套,样板间,开盘时间,认筹时间,楼盘详情,售楼处电话,最新消息,最新详情,周边配套,一房一价,最新进展等详情咨询)楼盘详情丨价格丨更多优惠丨机不可失丨欢迎致电丨诚邀品鉴!售楼处位置丨特价房丨工抵房丨剩余房源丨户型图丨最新消息丨免责声明:将文章内容综合来源于网络、只作分享,版权归原作者所有!!如有侵权,请联系我们,我们第一时间处理如有问题欢迎来电咨询,专业一对一热情服务,让您用专业眼光去买房.如果您想了解更多楼盘详情,欢迎提前预约拨打
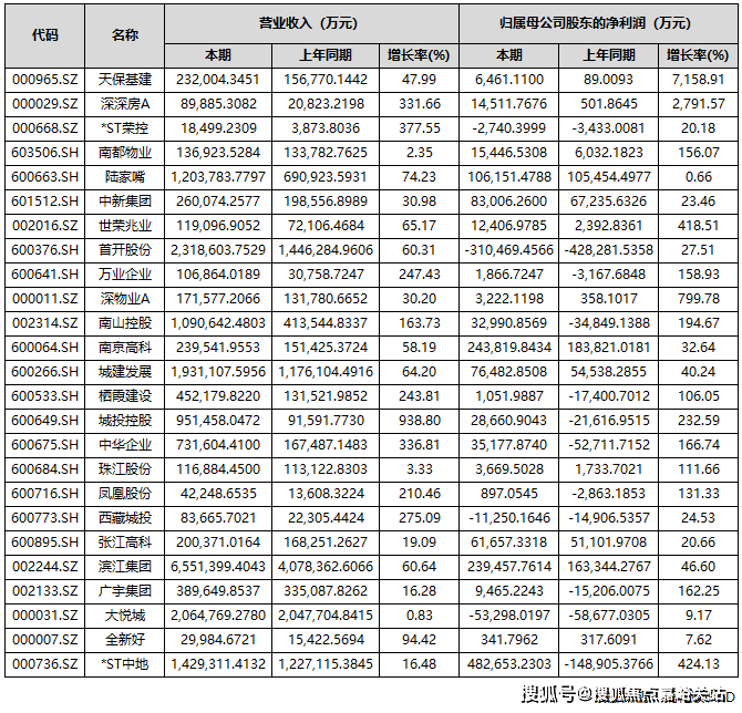
中房网根据同花顺iFinD数据统计,截至10月31日,A股共有85家上市房企披露2025年三季度业绩报告。其中,超4成房企营收实现同比增长;43家房企实现盈利,占比超五成;归母净利润实现同比增长的房企共有37家,占比为43.53%。
自2022年起,房地产行业业绩承压态势已延续数年。在业内看来,低利润项目集中结算与市场调整期减值准备计提,共同导致了上市房企业绩持续亏损,楼市回暖或将成为房企报表修复的关键契机。
超4成房企营收同比增长
从上市房企三季度报告来看,营收实现同比增长的房企共有36家,占比为42.35%;营收同比下滑的有49家,占比57.65%。
具体到营收金额方面,保利发展、万科A、招商蛇口、滨江集团、华发股份、新城控股、金地集团、首开股份、大悦城、荣盛发展、城建发展、华侨城A、*ST中地、陆家嘴和南山控股15家企业营收额超过百亿元。其中,保利发展、万科A和招商蛇口分别以1737.2亿元、1613.9亿元和897.66亿元的营收居于A股上市房企前三位。

部分头部房企亏损较大
归母净利润方面,前三季度共有43家房企实现盈利,占比超过五成。
其中,有7家房企归母净利润超过10亿元,分别是*ST中地、招商蛇口、南京高科、滨江集团、保利发展、上海临港和陆家嘴。

上述房企中,*ST中地(中交地产)的表现较为亮眼。三季报数据显示,公司前三季度营收达142.93亿元,同比增长16.48%;实现净利润48.27亿元,扭亏为盈,同比大幅增长424.13%。
作为一家“披星戴帽”的房企,其账面盈利的核心驱动力来自重大资产重组。今年6月,*ST 中地公告称,计划将旗下房地产开发业务相关的全部资产与负债,转让给控股股东中交房地产集团有限公司。这一重组事项在8月31日完成实质资产交接,房地产业务自此正式退出公司合并报表范围。
据悉,资产重组为* ST中地带来64.89亿元的资产置出相关收益,这一数据直接拉动了当期利润表现,同时推动归属于上市公司股东的净资产转正至12.48亿元。
让人唏嘘的是,三季度业绩亮眼的房企,恰恰是已经退出房地产开发业务的那家。
值得注意的是,期内部分龙头房企归母净利润出现较大亏损,如万科、*ST金科、华夏幸福等。
数据显示,今年前三季度,万科实现营业收入1613.9亿元,同比下滑16.61%;归属于上市公司股东的净亏损280.2亿元,同比下滑56.14%。
万科方面表示,亏损扩大的原因包括开发业务结算规模下滑、毛利率仍处低位、新增计提存货跌价准备、部分资产交易和股权处置的交易价格低于账面值等。
另一亏损规模超百亿的为*ST金科。前三季度,金科实现营业总收入56.99亿元,同比下滑73.57%;归母净利润亏损107.78亿元,同比下滑102.12%。
还有华夏幸福,其亏损规模也近百亿。前三季度,公司营业收入为38.82亿元,同比下降72.09%,归属于上市公司股东的净利润亏损98.29亿元,同比下滑338.67%。
25家房企实现营收和归母净利润双增
前三季度有25家房企实现了营收和归母净利润的双增长。

有37家房企实现归母净利润实现同比正增长。其中,天保基建、深深房A、深物业A、渝开发、*ST中地、世荣兆业、城投控股、南山控股、中华企业、广宇集团、万业企业、南都物业、新黄浦、凤凰股份、中洲控股、珠江股份、栖霞建设17家房企前三季度的归母净利润增长超过100%。
其中,天保基建前三季度归属于上市公司股东的净利润增幅最大,为7158.91%。天保基建表示,业绩增长主要得益于报告期内满足收入结转条件的项目增加,以及冲回的土地增值税增加和资产减值损失减少。
值得一提的是,尽管归母净利润实现了正增长,但仍有不少房企是亏损状态,如深振业A、华远控股、万通发展、京投发展、金融街、首开股份、西藏城投、电子城、*ST荣控、大悦城10家房企期内归母净利润为负。

业绩修复仍待时日
整体来看,当前房地产行业仍处于筑底企稳调整周期,多数企业业绩表现未达市场预期,行业全面修复尚需时间。
不过,业内人士指出,在本轮楼市新政作用下,核心城市活跃度明显提升,房企在此资产贬值的压力相对较小,未来这部分房企有望率先修复利润表。多家企业也表示,通过在核心城市拿利润较高的项目,逐步带动利润表的修复。
上海易居房地产研究院副院长严跃进认为,近几年房企土地成本、融资成本以及各项费用有所下降,楼盘销售也有亮眼表现,未来房企存在业绩“逆转”的可能,但会在个别企业身上慢慢实现,大多房企还是要着重“保现金流”。