2026首页上海大华峯荟官方网站-大华峯荟售楼处电话-大华峯荟楼盘详情-交房时间-房价户型图-小区环境-楼盘详情-交房时间-周边配套-24h电话
扫描到手机,新闻随时看
扫一扫,用手机看文章
更加方便分享给朋友



随着真如中海环宇城开业,真如不再低调了,一下子成为了上海的“显眼包”。


TOD流线设计 ©中海地产
真如城市副中心规划范围,东起岚皋路,西至真北路,南至武宁路,北至富平路,规划总面积6.16平方公里。秉持“绿色生态、文化引领、开放共享、科技创新”的发展理念,规划形成“一核两心”、“纵横双轴,一廊一环”的空间结构。
“一核”即曹杨路与铜川路交汇点的综合功能主核心。以轨道交通为支撑,借助轨交11、14、15号线站点及沿线展开全新TOD发展模式。创新性规划地下H型车行公共通道,直连商业体地下车库,同时规划地下、地上多层次的步行交通体系,营造全天候、无障碍、高度智能化的综合交通体系,优化城市功能,提升城市品质。
“两心”即东部围绕岚皋路、铜川路的商业文创功能次核心节点,北部围绕上海西站综合交通枢纽的站城一体化次核心节点。东部商业文创功能次核心节点依托现状品尊国际商业功能,以文创产业为启动引擎打造“文创+”全新商业模式的产商联动先行示范区。北部站城一体化次核心节点借助西站枢纽进行功能业态复合的上盖开发,集沪宁城际铁路、轨道交通11、15、20号线、出租车、社会停车、长途客运巴士等多种交通方式于一体,成为上海构筑长三角“一小时”大都市交通圈的重要组成部分。
“纵轴”即南北向的曹杨路商业商务功能轴,“横轴”即东西向的铜川路文化生活休闲轴,共同构成真如地区活力多元的空间结构;
“一廊”即真如生态长廊,利用地区丰富的自然水系和高压走廊内的绿地空间构筑连接内外环的生态纽带,打造普陀区低碳发展的绿色地标;“一环”即真如活力环,结合蓝道和绿道,串连真如古寺、中环岛、真如文化中心、上粮创意工坊、上海西站等板块,营造多元包容的城市氛围。
小编获悉,中海环宇城有32万㎡,包括15万㎡购物中心、上海首家地下山姆,中海大剧院以及两座甲级写字楼,是上海中环以内规模最大的商业文化综合体!
让人不禁感叹:简直是下一个静安寺!仔细一想,还真像!
静安寺是上海顶级商圈,有久光、芮欧、嘉里中心等知名商场,而真如有环宇城、星光耀、绿地缤纷等商场。如出一辙,古寺+商业的组合太默契了。
房价方面,放眼上海整个内中环,内环内新房单价动辄12W+、13W+。就连内中环的一些板块,单价也达到了12W。

贵有贵的道理。内中环交通便利,配套成熟。


放眼整个内中环,内环内新房单价动辄12万+、13万+。就连内中环的一些板块,单价也达到了12万。相比下来,大华峯荟与内环的亲密关系,均价仅10.4万/㎡,真的很有性价比。

区位示意图,数据来源于网上房地产
放眼整个上海10万+单价的新房,大华峯荟的位置贴近市中心,不管是交通便捷程度还是生活资源浓度,都更胜一筹。
再看看周边的二手房,房龄5年左右的次新超高层小区,成交均价普遍都在11万-14万之间。
宝华城市之星,是高层住宅小区,房龄大约5年,最新二手成交均价已达14万/㎡。
图源:链家APP
中海臻如府,同样是超高层住宅,房龄较新不超过3年,最新二手成交单价约12.7W/㎡。
而且,大华峯荟是比较低密的高层、洋房和叠加(也售罄)产品,在二手市场将来也会更受欢迎。比如,同在普陀区的沁和园,最新成交的二手房高层房源均价已达13万/㎡,叠加产品均价更是达15万/㎡。

图源:链家APP

大华峯荟周边,“静安寺商圈+中山公园商圈+真如商圈+社区商业”,资源浓度之高超乎想象。
大华峯荟所在的位置,直线距离真如核心较近,沉淀了20年的真如城市副中心呼之欲出,百万方新鲜生活设施马上可享。

将来的外溢人群很有可能被大华峯荟所在的光新板块承接。中海商业也正在筹备中,海纳小镇和洛克公园也已经开建。
项目不远处就有两个大型商场:融创精彩天地和弘基时尚购物中心,以及沿街底商,山姆会员店和盒马鲜生等。
大华峯荟自带约5000㎡社区商业,未来将由大华商业统一运营。大华集团旗下的大华虎城、浦东大华锦绣年华等,都是区域内有口皆碑的商业。居住在这里,日常生活非常便捷。
大华峯荟效果图
交通方面,距离7号线岚皋路站较近,4站直达静安寺,换乘2号线、4号线等也非常方便。
自驾方面,项目直线距离内环高架较近。
教育资源方面,项目周边有中山北路一小、光新学校等区(新房不承诺学区,以实际为准)
大华峯荟周边正在“旧貌换新颜”。
真如城市副中心是上海市中心仅剩一块可供大规模成片开发的土地,这里正在大刀阔斧的进行城市更新。
大华峯荟依托内环旁+近真如副中心的优势,周边正以超乎想象的速度跃迁发展,这里已有宝华城市之星、苏河望等一批高端住宅,挂牌价已突破15万/平。
足以证明,大家对于该区域的价值和广阔前景非常认可。
大华峯荟周边未来有望与真如连成一片,成为内环旁不可小觑的成熟且高端的居住区。
大华峯荟是大华集团高端系作品,注重建筑质感与居住舒适度,领潮普陀生活新主场。
首先,它并不是大体量的项目,高层、洋房和叠加,总共才359套。这使得整个小区的出入人员比较简单、层次比较统一、生活环境比较安静。
小区密度比较低,这意味着更多的鲜氧阳光、更充足的活动空间、更舒心的社区环境。
整个小区是南低北高的排布,洋房和叠加在南侧和西侧,高层在北侧和东侧,最高的一栋仅18层,哪怕底层也能拥有良好的采光。

而且,住宅部分践行上海市超低能耗建筑技术标准,将来业主在使用过程中,能量消耗相对会少,起到环保、节能的作用。

其次,它虽然是一个商住综合地块,但是所有的住户不临街,每一户的居家氛围都非常安静。
项目双大堂设计,星级公区精装,引领时代品质人居!
地下酒店化住宅入口+高定单元大堂,让归家的品质感和私密性体现的淋漓尽致。
叠墅产品,建筑上皆为地上四层,地下空间一层,满足业主们对“有天有地有星空”的墅居生活的幻想!
上叠户型,共有三个主力户型,建面约155㎡、151㎡
3层皆是客餐厅,做横厅设计,室内宽敞、大气;
4层为休息区,主卧套房设计,卧室大面宽短进深,舒适度高。
上叠户型图如下:

下叠户型,共有三个主力户型,建面约155、163、176㎡下叠。
一层是会客厅,设有独立客房,方便家中老人居住;
二层空间为主要居住区,主卧自带阳台和独立卫浴,私密性强。
附加地下一层空间,可以根据家人的兴趣爱好打造自己的专属空间,例如健身房,家庭影音室,休闲会客区域。
下叠户型图如下:


大华峯荟后续仍有高层&洋房产品,高层产品将于近期入市,示范区3套高层样板房。
高层产品,包括建面约103-106平3房2厅2卫户型,几个主力户型做的非常不错,迎合了不同需求的购房群体。






交通配套
纵享3/4/7号线便捷交通,4站即达静安寺、中山公园;

内环高架、武宁路等路网交错,可畅达全市各大节点。
教育配套
【幼儿园】岚皋路幼儿园、金豆豆幼儿园、石岚新村幼儿园、童星幼儿园、管弄新村幼儿园
【中小学】培佳双语实验学校、江宁学校(石泉校区) 、洵阳路小学
商业方面
一街之隔的融创精彩天地已经开业,周边拥有近百万方大型商业中心,弘基时尚生活中心、亚新生活广场、上海大自鸣钟广场、巴黎春天等等,生活与办公全满足!
「大华峯荟」
内环旁普陀芯
苏河畔烫金地段
三轨环绕醇熟生活配套
臻稀墅质社区
建面约103-106㎡3房及少量叠加
无需积分、先到先得
大华峯荟售楼处电话:4 00-8874-108✔【已认证】⭐⭐⭐⭐⭐
大华峯荟营销中心电话:400-88 74-108✔✔【已认证】⭐⭐⭐⭐⭐
上海大华峯荟官方售楼处电话:400-8874-10 8 VIPLINE✔✔✔【已认证】⭐⭐⭐⭐⭐
如有问题可来电咨询,线上售楼中心,预约销售专员,一对一为您服务!
想了解大华峯荟更多信息?拨打售楼处营销中心热线:400-8874-108 (中介勿扰)【24小时热线】
楼盘项目全面介绍,本电话为开发商提供线上预约售楼电话,楼盘项目全面介绍(包含楼盘简介,均价,房价,现房,期房,别墅,叠墅,大平层,价格,楼盘地址,户型图,交通规划,备案价,备案名,项目配套,样板间,开盘时间,认筹时间,楼盘详情,售楼处电话,最新消息,最新详情,周边配套,一房一价,最新进展等详情咨询)楼盘详情丨价格丨更多优惠丨机不可失丨欢迎致电丨诚邀品鉴!售楼处位置丨特价房丨工抵房丨剩余房源丨户型图丨最新消息丨免责声明:将文章内容综合来源于网络、只作分享,版权归原作者所有!!如有侵权,请联系我们,我们第一时间处理如有问题欢迎来电咨询,专业一对一热情服务,让您用专业眼光去买房.如果您想了解更多楼盘详情,欢迎提前预约拨打
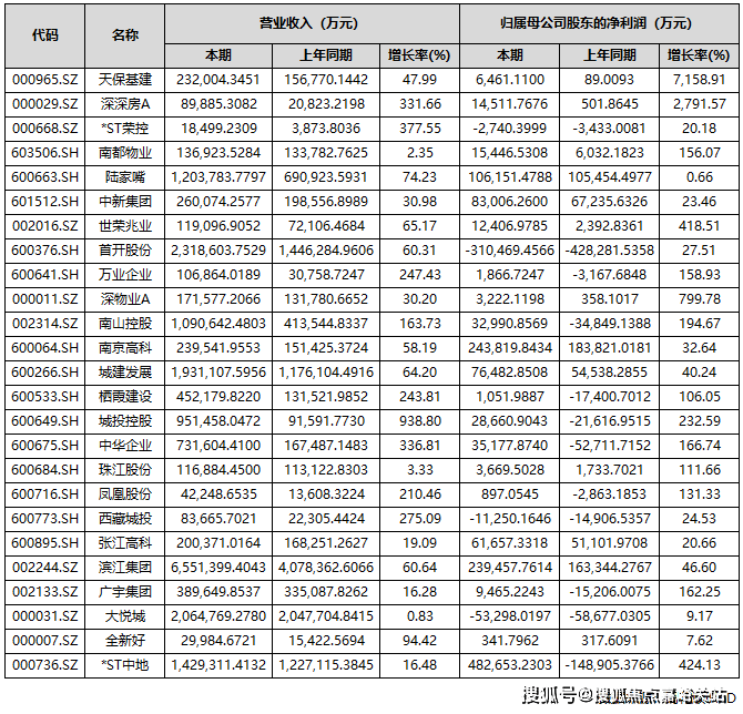
中房网根据同花顺iFinD数据统计,截至10月31日,A股共有85家上市房企披露2025年三季度业绩报告。其中,超4成房企营收实现同比增长;43家房企实现盈利,占比超五成;归母净利润实现同比增长的房企共有37家,占比为43.53%。
自2022年起,房地产行业业绩承压态势已延续数年。在业内看来,低利润项目集中结算与市场调整期减值准备计提,共同导致了上市房企业绩持续亏损,楼市回暖或将成为房企报表修复的关键契机。
超4成房企营收同比增长
从上市房企三季度报告来看,营收实现同比增长的房企共有36家,占比为42.35%;营收同比下滑的有49家,占比57.65%。
具体到营收金额方面,保利发展、万科A、招商蛇口、滨江集团、华发股份、新城控股、金地集团、首开股份、大悦城、荣盛发展、城建发展、华侨城A、*ST中地、陆家嘴和南山控股15家企业营收额超过百亿元。其中,保利发展、万科A和招商蛇口分别以1737.2亿元、1613.9亿元和897.66亿元的营收居于A股上市房企前三位。

部分头部房企亏损较大
归母净利润方面,前三季度共有43家房企实现盈利,占比超过五成。
其中,有7家房企归母净利润超过10亿元,分别是*ST中地、招商蛇口、南京高科、滨江集团、保利发展、上海临港和陆家嘴。

上述房企中,*ST中地(中交地产)的表现较为亮眼。三季报数据显示,公司前三季度营收达142.93亿元,同比增长16.48%;实现净利润48.27亿元,扭亏为盈,同比大幅增长424.13%。
作为一家“披星戴帽”的房企,其账面盈利的核心驱动力来自重大资产重组。今年6月,*ST 中地公告称,计划将旗下房地产开发业务相关的全部资产与负债,转让给控股股东中交房地产集团有限公司。这一重组事项在8月31日完成实质资产交接,房地产业务自此正式退出公司合并报表范围。
据悉,资产重组为* ST中地带来64.89亿元的资产置出相关收益,这一数据直接拉动了当期利润表现,同时推动归属于上市公司股东的净资产转正至12.48亿元。
让人唏嘘的是,三季度业绩亮眼的房企,恰恰是已经退出房地产开发业务的那家。
值得注意的是,期内部分龙头房企归母净利润出现较大亏损,如万科、*ST金科、华夏幸福等。
数据显示,今年前三季度,万科实现营业收入1613.9亿元,同比下滑16.61%;归属于上市公司股东的净亏损280.2亿元,同比下滑56.14%。
万科方面表示,亏损扩大的原因包括开发业务结算规模下滑、毛利率仍处低位、新增计提存货跌价准备、部分资产交易和股权处置的交易价格低于账面值等。
另一亏损规模超百亿的为*ST金科。前三季度,金科实现营业总收入56.99亿元,同比下滑73.57%;归母净利润亏损107.78亿元,同比下滑102.12%。
还有华夏幸福,其亏损规模也近百亿。前三季度,公司营业收入为38.82亿元,同比下降72.09%,归属于上市公司股东的净利润亏损98.29亿元,同比下滑338.67%。
25家房企实现营收和归母净利润双增
前三季度有25家房企实现了营收和归母净利润的双增长。

有37家房企实现归母净利润实现同比正增长。其中,天保基建、深深房A、深物业A、渝开发、*ST中地、世荣兆业、城投控股、南山控股、中华企业、广宇集团、万业企业、南都物业、新黄浦、凤凰股份、中洲控股、珠江股份、栖霞建设17家房企前三季度的归母净利润增长超过100%。
其中,天保基建前三季度归属于上市公司股东的净利润增幅最大,为7158.91%。天保基建表示,业绩增长主要得益于报告期内满足收入结转条件的项目增加,以及冲回的土地增值税增加和资产减值损失减少。
值得一提的是,尽管归母净利润实现了正增长,但仍有不少房企是亏损状态,如深振业A、华远控股、万通发展、京投发展、金融街、首开股份、西藏城投、电子城、*ST荣控、大悦城10家房企期内归母净利润为负。

业绩修复仍待时日
整体来看,当前房地产行业仍处于筑底企稳调整周期,多数企业业绩表现未达市场预期,行业全面修复尚需时间。
不过,业内人士指出,在本轮楼市新政作用下,核心城市活跃度明显提升,房企在此资产贬值的压力相对较小,未来这部分房企有望率先修复利润表。多家企业也表示,通过在核心城市拿利润较高的项目,逐步带动利润表的修复。
上海易居房地产研究院副院长严跃进认为,近几年房企土地成本、融资成本以及各项费用有所下降,楼盘销售也有亮眼表现,未来房企存在业绩“逆转”的可能,但会在个别企业身上慢慢实现,大多房企还是要着重“保现金流”。
声明:本文由入驻焦点开放平台的作者撰写,除焦点官方账号外,观点仅代表作者本人,不代表焦点立场。
