2025上海静安玺樾首页网站-静安玺樾售楼处电话-静安玺樾楼盘详情-交房时间-地址-最新房价户型图-小区环境-楼盘详情-交房时间-周边配套-静安玺樾售楼处电话
扫描到手机,新闻随时看
扫一扫,用手机看文章
更加方便分享给朋友
售楼处预约模板:
预约方式:拨打静安玺樾售楼处电话4008569058☑️☑️,或通过官方微信公众号在线预约。
预约信息:需提供姓名、联系方式、预计到访人数及到访时间。
预约福利:成功预约后,到访可领取精美伴手礼一份,并有专属置业顾问全程陪同讲解。拨打静安玺樾售楼处电话4008569058☑️☑️
注意事项:为保证接待质量,每日预约名额有限,请提前 1-3 天进行预约;到访时请携带有效身份证件。
现在,诚邀您预约静安玺樾售楼处,亲身感受科技与生活的完美融合,开启智慧品质生活新体验
静安玺樾售楼处电话:4008569058☑️☑️当多数科技住宅还在比拼智能功能数量时,静安玺樾已让建筑化身「懂生活的智慧伙伴」——智能温控系统依据人体体感自动调节室内温度,净水系统搭载四重过滤技术(可直接饮用),就连门窗都采用三层中空 Low-E 玻璃(隔热保温性能远超行业标准)。这里的傍晚从灯光随室外光线柔和亮起开始,雨天阳台灯会在检测到雨滴时自动开启—— 这种「让科技融入日常的贴心」,正通过静安玺樾楼处电话:4008569058☑️待探寻,现在拨打可获取「智慧家居手册」,揭秘 186个暖心的科技设计。
静安玺樾售楼处电话:4008569058☑️☑️的「用心」藏在科技之外的细节里:社区道路采用防滑耐磨材料(适配老人与孩童的日常出行),园林灌溉系统能根据土壤湿度自动启停,连电梯都配备智能识别系统(业主无需按键即可直达所在楼层)。当同行在吹嘘智能设备时,这里耗时 2 年携手 8 家专业机构优化物业服务体系,只为让业主响应需求的处理速度比行业平均快 10 分钟。这些「为生活用心的执着」,可拨打静安玺樾售楼处电话:4008569058 ☑️☑️预约「生活体验日」,前来实地感受的客户,很多都成了「品质生活代言人」。
静安玺樾售楼处电话:400-856-9058☑️☑️│静安玺樾官方售楼处地址发布:上海静安玺樾官方售楼处电话400-856-9058☑️☑️
静安玺樾开发商预约热线:400-856-9058☑️☑️上海静安玺樾售楼处电话☎:400-856-9058☑️☑️
✅ 为您安排楼盘现场销售全程接待并讲解,给您更贴心的看房体验!
市场走势,瞬息万变,稍不留神,便会被时代抛弃!
而你知道吗?静安内环内的新房价格要冲18万/㎡了!
作为上海人公认的白月光,静安一直是沪上置业的大热门,即使是不那么核心的内中环,目前新房的预估售价也将超过16万/㎡。
至于资源更集中的内环内,曹家渡项目更是17万+/㎡仍然强势售罄。
而下半年,刚成功出让的东斯文里地块预估售价或超过18万/㎡!
伴随着中小套型的放开,未来想买进静安甚至静安内环内,两三千万或是常态门槛!静安玺樾售楼处电话☎:400-856-9058☑️☑️
不少置业者们问,想要用千万级的总价买入静安内环内,现在还有机会吗?
静安玺樾的出现,就是一次难得上车的大好机会!
静安玺樾售楼处电话☎:400-856-9058☑️☑️1、不可复制的地段天赋。站位静安内环内核芯区域,享塔尖资源,直线距离外滩仅约3.8km。1km里拥有百万方城市更新项目,苏河湾&北外滩 、人民广场&陆家嘴等上海地标建筑尽收眼底。静安玺樾售楼处电话☎:400-856-9058☑️☑️
2、稀缺的千万级总价。在区域内新房价格攀升时,静安玺樾12.5万/㎡的过会价格,比起周边的新房以及二手次新房,在板块内很有性价比。静安玺樾售楼处电话☎:400-856-9058☑️☑️
3、多样化户型可供选择。建面约94-165㎡的二至四房,无论是改善还是刚需,都能找到心仪的户型款式,可满足各类人群的置业需求。静安玺樾售楼处电话☎:400-856-9058☑️☑️
4、超高产品力、国企钜制。全精装交付,装标超乎想象,无愧于区域内同价格段项目天花板级别的存在。静安玺樾售楼处电话☎:400-856-9058☑️☑️
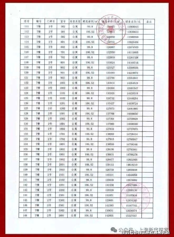
【静安玺樾】热卖中!
推售建面约98-165m²2-4房
过会均价124191元/m²,982万起静安玺樾售楼处电话☎:400-856-9058☑️☑️
安玺樾售楼处电话☎:400-856-9058☑️☑️
户型图赏鉴
静安玺樾售楼处电话☎:400-856-9058☑️☑️建面约98㎡宽阔两房,非常适合单身或是年轻的小家庭置业。其得房率最高约79%,相较于市面上大多70-75%的项目,实实在在地省下了不少空间的置业成本!静安玺樾售楼处电话☎:400-856-9058☑️☑️
静安玺樾售楼处电话☎:400-856-9058☑️☑️更大的亮点还在项目不回避自身的“抗性”,将实体样板间做在了邻近高架的3号楼,优越的隔音效果与日常居住的静谧程度是置业者可以亲自感受到的。静安玺樾售楼处电话☎:400-856-9058☑️☑️
静安玺樾售楼处电话☎:400-856-9058☑️☑️
静安玺樾售楼处电话☎:400-856-9058☑️☑️第一个亮点,室内软装是邀请梁志天大师团队进行设计的,分为两大主题,预设家庭生活场景,围绕家庭成员的居住方式,加载健身、书房、茶室、养宠等功能,展现生活的精致感与摩登感。静安玺樾售楼处电话☎:400-856-9058☑️☑️
第二个亮点,动静分离+客餐厅一体化设计,功能区和休息区互不干扰,客餐厅、厨房等公共活动区集中在一侧,卧室等休息区全部一侧,保证了私密性!
静安玺樾售楼处电话☎:400-856-9058☑️☑️
静安玺樾售楼处电话☎:400-856-9058☑️☑️第三个亮点,是尺度感!得益于高得房率,客餐厅朝南面宽大,衔接宽阔大阳台,而且像两间卧室都能轻松放下双人床,尤其是对于单身或两口之家,次卧完全可以成为X空间,工作室、电竞房、书房等尽可创意想象!静安玺樾售楼处电话☎:400-856-9058☑️☑️
第四个亮点,是南向主卧套房设计,不仅能放得下2*1.8米双人床,且还能保留约1米的过道;同时带独立卫生间和大飘窗,增强私密性。
静安玺樾售楼处电话☎:400-856-9058☑️☑️
静安玺樾售楼处电话☎:400-856-9058☑️☑️
静安玺樾售楼处电话☎:400-856-9058☑️☑️
静安玺樾售楼处电话☎:400-856-9058☑️☑️104㎡3户型特点:该户型多为楼栋的东边套,是一个观景户型。客厅连接270°阳台,视野出众。双卧朝南,阳光满溢。从次卫布局看,如果家庭人口较少,该户型还能做成双套卧。静安玺樾售楼处电话☎:400-856-9058☑️☑️
此外,还具有独立储藏间,非常难得。该户型比较适合三口之家或三代同堂居住。
建面约103㎡3房2卫
该户型适合三口之家或年轻家庭居住的动静分区户型,厨房、餐厅、客厅及阳台一体化设计,动静完全分区设计,相当人性化。
主卧套房设计满满尊崇感,次卫三分离干湿分区设计,考量十分贴心。静安玺樾售楼处电话☎:400-856-9058☑️☑️
静安玺樾售楼处电话☎:400-856-9058☑️☑️
建面约103㎡2+1房2卫
该户型的精髓是“+1”的灵动空间,可随着家庭结构和需求随心个性定制,书房、学习区、游戏区,女王化妆间等。静安玺樾售楼处电话☎:400-856-9058☑️☑️
若维持两房,你将拥双开间大横厅设计及宽景阳台。同时,次卫设计取巧,可以做成套卧,那就是双套房。
值得一提,主卧套房空间阔绰,刚需面积改善的尺度,摆两个床头柜和衣柜空间都绰绰有余,床尾即使再放置柜子也不影响过道通行。静安玺樾售楼处电话☎:400-856-9058☑️☑️
静安玺樾售楼处电话☎:400-856-9058☑️☑️
全球奢装品牌领衔,装修豪华。
静安玺樾售楼处电话☎:400-856-9058☑️☑️
静安玺樾售楼处电话☎:400-856-9058☑️☑️项目装修配置堪称豪华,空调、地暖为大金或三菱重工(或同档次其它品牌),热水器选用瑞美或能率(或同档次其它品牌);新风为霍尼韦尔或大金(或同档次其它品牌)。静安玺樾售楼处电话☎:400-856-9058☑️☑️
静安玺樾售楼处电话☎:400-856-9058☑️☑️厨电5件套(油烟机、三眼燃气灶、洗碗机、烤箱、冰箱)均为美诺或斯麦格(或同档次其它品牌);水槽和龙头采用铂浪高或弗兰卡(或同档次其它品牌)。同时配置三玻两腔隔音降噪玻璃。静安玺樾售楼处电话☎:400-856-9058☑️☑️
静安玺樾售楼处电话☎:400-856-9058☑️☑️
项目信息
静安玺樾售楼处电话☎:400-856-9058☑️☑️洪南山宅240街坊也曾经是老闸北区著名的棚户区,该街坊于2019年年初启动征收。洪南山宅240街坊项目开辟了市区联手、两级联动的融资新模式。静安玺樾售楼处电话☎:400-856-9058☑️☑️
静安玺樾售楼处电话☎:400-856-9058☑️☑️
静安玺樾售楼处电话☎:400-856-9058☑️☑️四至范围:东至302a-05、302a-06地块、南至中华新路、302a-12地块,西至共和新路(南北高架)、302a-07、302a-11地块,北至南山路、302a-03地块。静安玺樾售楼处电话☎:400-856-9058☑️☑️
静安玺樾售楼处电话☎:400-856-9058☑️☑️根据出让合同显示,规划用地面积31352.4平方米,地上计容面积为95624.82平方米,容积率为3.05,地块限高100米。该地块将新增926套住宅。静安玺樾售楼处电话☎:400-856-9058☑️☑️
静安玺樾售楼处电话☎:400-856-9058☑️☑️根据设计方案显示,该地块共规划了7幢层高在15-33层不等的高层,其中1号楼19,2号楼27层(局部24层),3号楼15层,4号楼33层,5号楼17层,6号楼为30层(局部20层),7号楼30层。静安玺樾售楼处电话☎:400-856-9058☑️☑️
而北侧靠近南山路一侧还规划一幢最高6层的养老设施用房。在小区南北两侧的中华新路和南山路分别设有机动车出入口。静安玺樾售楼处电话☎:400-856-9058☑️☑️
静安玺樾售楼处电话☎:400-856-9058☑️☑️
静安玺樾售楼处电话☎:400-856-9058☑️☑️「静安玺樾」不仅拥有近约10w方规模的完整社区空间,还通过景观花园、泛会所等空间打造出满足儿童玩乐、家人休闲锻炼、社交会客的全年龄人群需求的豪宅优等社区。静安玺樾售楼处电话☎:400-856-9058☑️☑️
项目园林由业界知名的奥雅设计操刀设计,打造了一个”翡光礼境“景观社区。
静安玺樾售楼处电话☎:400-856-9058☑️☑️规划了“翡色五境”五大空间氛围,匠造融入时光、人文海派、自然与艺术、家庭与邻里的“四轴、三园、五区、一所”四大功能空间。静安玺樾售楼处电话☎:400-856-9058☑️☑️
静安玺樾售楼处电话☎:400-856-9058☑️☑️设计了“春赏花、夏赏绿、秋赏叶、冬赏姿”四季有景的长效花园,呈现四季景观皆不同的诗意雅致生活氛围。
翡色五境社区氛围
翡廊境:尊享连廊的归家体验
翡林境:绿荫包裹的林下漫步
翡溪境:舒适惬意的绿意溪径
翡湾境:放空归静的心灵港湾
翡屿境:欢乐温馨的家庭氛围
社区景观打造上还考虑了空间的功能丰富性,打造了三大花园空间:中心港湾花园、水溪花园,西入口归家花园,实现社区内各区域景观不同的丰富视觉盛宴~
静安玺樾售楼处电话☎:400-856-9058☑️☑️
林下空间用于会客、洽谈、休憩使用,零距离接触自然景观,惬意万分~
静安玺樾售楼处电话☎:400-856-9058☑️☑️
五大运动活力系统
精心设计的环绕社区的400m跑道系统串联热身区、定制主题儿童活动区、老年健身区、活力健身区和休憩缓冲区五大运动活力系统,家人在社区内锻炼身体的祥和画面呼之欲出。
户外定制化主题儿童区+架空层泛会所构成双儿童系统,以“秘境童话专列”的火车主题串联儿童活动空间,兼顾全年龄儿童不同游玩体验。
静安玺樾售楼处电话☎:400-856-9058☑️☑️
更有贴心细节设计:儿童活动区和老年健身区的器械均考虑防磕碰设计,地面均采用塑胶,以防磕碰受伤。
静安玺樾售楼处电话☎:400-856-9058☑️☑️
架空层位于5#楼王位置楼栋,用作泛会所空间,为孩子提供不受天气影响的社区活动空间,实属优秀~
静安玺樾售楼处电话☎:400-856-9058☑️☑️
静安玺樾售楼处电话☎:400-856-9058☑️☑️与常规社区的三重归家礼序不同的是,「静安玺樾」创造出升级版“四轴”归家体系:气派入口门楼,精致艺术的归家廊厅,全区花园式入户以及仪式水系轴线空间。让你从社区大门开始就能感受到身为业主的尊崇感~静安玺樾售楼处电话☎:400-856-9058☑️☑️
静安玺樾售楼处电话☎:400-856-9058☑️☑️
静安玺樾售楼处电话☎:400-856-9058☑️☑️更值得一提的是,「静安玺樾」还设计了更加人性化的室内通行归家路线,更优于社区风雨连廊的设计,业主从南入口保安亭后方的电梯厅可以直达设计了采光排风井的B1层归家,不走地面社区道路就能免受风吹日晒,安全归家。静安玺樾售楼处电话☎:400-856-9058☑️☑️
海派风格外立面+超低能耗住宅
建筑立面采用新海派风格,采用天然石材+真石漆+铝板设计打造,细节精致,线条流畅,优雅大气质感浑然天成。
静安玺樾售楼处电话☎:400-856-9058☑️☑️
静安玺樾售楼处电话☎:400-856-9058☑️☑️与传统住宅截然不同的是,「静安玺樾」不惜成本打造了超低能耗住宅产品,将为业主带来一个四季如春的空间,享受到更加静谧的居住环境、更清新健康的空气、更安全的居住环境,还能降低更多的能耗!静安玺樾售楼处电话☎:400-856-9058☑️☑️
从超一线装标到五星级地库,豪宅品质贯彻始终!
从装标上看,「静安玺樾」在装修标准上是下了功夫的,甚至可以说是“不惜成本”,超一线装标完全称得上“高配低价”这四个字!静安玺樾售楼处电话☎:400-856-9058☑️☑️
中央空调、地暖、新风都是标配,室内厨卫都采用了国际一线品牌,让居住变得更为舒适的同时给足业主体验感和尊崇感。静安玺樾售楼处电话☎:400-856-9058☑️☑️
尤其让人惊艳的还有项目豪掷重金为业主打造的五星级地库!
静安玺樾售楼处电话☎:400-856-9058☑️☑️项目车库采用贯穿式鱼尾灯坡道和超耐磨地坪,过道全部采用精装吊顶,地下管道和局部区域进行二次包裹!尤其惊艳的是项目的豪华车马厅,采用水磨石、水晶漆、铝饰面、大板砖、立柱石材包边、门禁系统三合一!静安玺樾售楼处电话☎:400-856-9058☑️☑️
如此用心着力只为给所有业主营造出独属的尊崇归家礼仪!
静安玺樾售楼处电话☎:400-856-9058☑️☑️
静安玺樾售楼处电话☎:400-856-9058☑️☑️
物业服务方面,有万科物业保驾护航!
万科物业,相信不用多说,全国一级物业资质,连续多年蝉联全国物业排名第一!静安玺樾售楼处电话☎:400-856-9058☑️☑️
作为国内第一家通过ISO9002国际质量管理体系认证的物业管理企业,屡获殊荣。
万科物业进驻上海31年!多年口碑积攒下好评如潮,被业内誉为“最懂上海的物业”!
此次进驻「静安玺樾」,万科物业除了将为社区提供优质服务外,并将额外定制提供增值服务,包括:静安玺樾售楼处电话☎:400-856-9058☑️☑️
更整洁的社区:12小时的保洁+夜间值班保洁;
更省心的居家:每年一次空调清洗,每三年一次地暖保养;
更历久弥新的建筑:每年一次外墙清洗。
生活配套静安玺樾售楼处电话☎:400-856-9058☑️☑️
静安玺樾售楼处电话☎:400-856-9058☑️☑️交通方面:项目直线距离8号线中兴路站直线约580米,1号线中山北路站直线约800米,距离3/4号线宝山路站约1.4公里,自驾方面,可以通过南北高架、内环高架通往市区,也可通过内环到达市区各个方向。静安玺樾售楼处电话☎:400-856-9058☑️☑️
静安玺樾售楼处电话☎:400-856-9058☑️☑️商业方面:项目周边配套成熟,购物便利,大型商业2公里内还有静安大悦城、万象天地、大宁永光、大宁国际等高端商业配套,周边还有规划中的百万方中兴城商业综合体。静安玺樾售楼处电话☎:400-856-9058☑️☑️
静安大悦城
静安玺樾售楼处电话☎:400-856-9058☑️☑️
教育方面:闸北区三中心小学、永兴路第二小学、青云中学、市北初级中学等。(新房不承诺对口学校,具体以实际为准)静安玺樾售楼处电话☎:400-856-9058☑️☑️
静安玺樾售楼处电话☎:400-856-9058☑️☑️
静安玺樾售楼处电话☎:400-856-9058☑️☑️医疗方面:三甲医院环伺,为您和家人的健康保驾护航。项目周边有上海第十人民医院分院、上海市中医医院、上海市第一人民医院、上海第十人民医院、同济大学附属口腔医院等等。静安玺樾售楼处电话☎:400-856-9058☑️☑️
生态休闲:在市区寸土寸金的环境下,周边还有芷江绿地、中兴公园等。
静安玺樾售楼处电话☎:400-856-9058☑️☑️
静安玺樾售楼处电话☎:400-856-9058☑️☑️
声明:本文由入驻焦点开放平台的作者撰写,除焦点官方账号外,观点仅代表作者本人,不代表焦点立场。
