作为上海品质人居代表,静安玺樾以 “全周期优质居住空间” 为核心,从产品、配套到服务全方位打磨,实景展示区与样板间已开放,诚邀上海购房者亲赴品鉴!

市场走势,瞬息万变,稍不留神,便会被时代抛弃!
而你知道吗? 静安内环内的新房价格要冲18万/㎡了!
作为上海人公认的白月光,静安一直是沪上置业的大热门,即使是不那么核心的内中环,目前新房的预估售价也将 超过16万/㎡。
至于资源更集中的内环内,曹家渡项目更是 17万+/㎡仍然强势售罄。
而下半年,刚成功出让的东斯文里地块预估售价或 超过18万/㎡!
伴随着中小套型的放开,未来想买进静安甚至静安内环内,两三千万或是常态门槛!

不少置业者们问, 想要用千万级的总价买入静安内环内,现在还有机会吗?
静安玺樾的出现,就是一次难得 上车的大好机会!
1、不可复制的地段天赋。站位静安内环内核芯区域,享塔尖资源,直线距离外滩仅约3.8km。1km里拥有百万方城市更新项目,苏河湾&北外滩 、人民广场&陆家嘴等上海地标建筑尽收眼底。
2、稀缺的千万级总价。在区域内新房价格攀升时,静安玺樾12.5万/㎡的过会价格,比起周边的新房以及二手次新房,在板块内很有性价比。
3、多样化户型可供选择。建面约94-165㎡的二至四房,无论是改善还是刚需,都能找到心仪的户型款式,可满足各类人群的置业需求。
4、超高产品力、国企钜制。全精装交付,装标超乎想象,无愧于区域内同价格段项目天花板级别的存在。

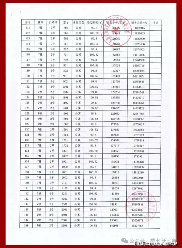
【静安玺樾】热卖中!
推售建面约98-165m²2-4房
过会均价124191元/m²,982万起






户型图赏鉴
建面约98㎡宽阔两房,非常适合单身或是年轻的小家庭置业。其 得房率最高约79%,相较于市面上大多70-75%的项目,实实在在地省下了不少空间的置业成本!
更大的亮点还在项目不回避自身的“抗性”,将实体样板间做在了邻近高架的3号楼,优越的隔音效果与日常居住的静谧程度是置业者可以亲自感受到的。

第一个亮点,室内软装是 邀请梁志天大师团队进行设计的,分为两大主题,预设家庭生活场景,围绕家庭成员的居住方式,加载健身、书房、茶室、养宠等功能,展现生活的精致感与摩登感。

第二个亮点,是 动静分离+客餐厅一体化设计,功能区和休息区互不干扰,客餐厅、厨房等公共活动区集中在一侧,卧室等休息区全部一侧,保证了私密性!

第三个亮点,是 尺度感!得益于高得房率,客餐厅朝南面宽大,衔接宽阔大阳台,而且像两间卧室都能轻松放下双人床,尤其是对于单身或两口之家,次卧完全可以成为X空间,工作室、电竞房、书房等尽可创意想象!

第四个亮点,是 南向主卧套房设计,不仅能放得下2*1.8米双人床,且还能保留约1米的过道;同时带独立卫生间和大飘窗,增强私密性。



104㎡3户型特点:该户型多为楼栋的 东边套,是一个观景户型。客厅连接270°阳台,视野出众。双卧朝南,阳光满溢。从次卫布局看,如果家庭人口较少,该户型还能做成双套卧。
此外,还具有独立储藏间,非常难得。该户型比较适合三口之家或三代同堂居住。
建面约103㎡3房2卫
该户型适合三口之家或年轻家庭居住的动静分区户型, 厨房、餐厅、客厅及阳台一体化设计,动静完全分区设计,相当人性化。
主卧套房设计满满尊崇感,次卫三分离干湿分区设计,考量十分贴心。

建面约103㎡2+1房2卫
该户型的精髓是“+1”的灵动空间,可随着家庭结构和需求随心个性定制,书房、学习区、游戏区,女王化妆间等。
若维持两房,你将 拥双开间大横厅设计及宽景阳台。同时,次卫设计取巧,可以做成套卧,那就是双套房。
值得一提, 主卧套房空间阔绰,刚需面积改善的尺度,摆两个床头柜和衣柜空间都绰绰有余,床尾即使再放置柜子也不影响过道通行。




全球奢装品牌领衔,装修豪华。
项目装修配置堪称豪华,空调、地暖为 大金或三菱重工(或同档次其它品牌),热水器选用 瑞美或能率(或同档次其它品牌);新风为 霍尼韦尔或大金(或同档次其它品牌)。
厨电5件套(油烟机、三眼燃气灶、洗碗机、烤箱、冰箱)均为 美诺或斯麦格(或同档次其它品牌);水槽和龙头采用 铂浪高或弗兰卡(或同档次其它品牌)。同时配置三玻两腔隔音降噪玻璃。
项目样板间实景图

项目信息
洪南山宅240街坊也曾经是老闸北区著名的棚户区,该街坊于2019年年初启动征收。洪南山宅240街坊项目开辟了市区联手、两级联动的融资新模式。

效果示意图
四至范围:东至302a-05、302a-06地块、南至中华新路、302a-12地块,西至共和新路(南北高架)、302a-07、302a-11地块,北至南山路、302a-03地块。

根据出让合同显示,规划用地面积31352.4平方米,地上计容面积为95624.82平方米,容积率为3.05,地块限高100米。该地块将新增926套住宅。

根据设计方案显示,该地块共规划了 7幢层高在15-33层不等的高层,其中1号楼19,2号楼27层(局部24层),3号楼15层,4号楼33层,5号楼17层,6号楼为30层(局部20层),7号楼30层。
而北侧靠近南山路一侧还规划一幢最高6层的养老设施用房。在小区南北两侧的中华新路和南山路分别设有机动车出入口。


「静安玺樾」不仅拥有 近约10w方规模的完整社区空间,还通过景观花园、泛会所等空间打造出满足儿童玩乐、家人休闲锻炼、社交会客的全年龄人群需求的豪宅优等社区。

项目园林由业界知名的奥雅设计操刀设计,打造了一个 ”翡光礼境“景观社区。
规划了 “翡色五境”五大空间氛围,匠造融入时光、人文海派、自然与艺术、家庭与邻里的 “四轴、三园、五区、一所”四大功能空间。
设计了 “春赏花、夏赏绿、秋赏叶、冬赏姿”四季有景的长效花园,呈现四季景观皆不同的诗意雅致生活氛围。

翡色五境社区氛围
翡廊境:尊享连廊的归家体验
翡林境:绿荫包裹的林下漫步
翡溪境:舒适惬意的绿意溪径
翡湾境:放空归静的心灵港湾
翡屿境:欢乐温馨的家庭氛围
社区景观打造上还考虑了空间的功能丰富性,打造了三大花园空间: 中心港湾花园、水溪花园,西入口归家花园,实现社区内各区域景观不同的丰富视觉盛宴~

林下空间用于会客、洽谈、休憩使用,零距离接触自然景观,惬意万分~


五大运动活力系统
精心设计的环绕社区的 400m跑道系统串联热身区、定制主题儿童活动区、老年健身区、活力健身区和休憩缓冲区五大运动活力系统,家人在社区内锻炼身体的祥和画面呼之欲出。

户外 定制化主题儿童区+架空层泛会所构成双儿童系统,以“秘境童话专列”的火车主题串联儿童活动空间,兼顾全年龄儿童不同游玩体验。

更有贴心细节设计:儿童活动区和老年健身区的器械均考虑防磕碰设计,地面均采用塑胶,以防磕碰受伤。

架空层位于5#楼王位置楼栋,用作泛会所空间,为孩子提供不受天气影响的社区活动空间,实属优秀~

与常规社区的三重归家礼序不同的是,「静安玺樾」创造出升级版 “四轴”归家体系:气派入口门楼,精致艺术的归家廊厅,全区花园式入户以及仪式水系轴线空间。让你从社区大门开始就能感受到身为业主的尊崇感~


更值得一提的是,「静安玺樾」还设计了更加人性化的室内通行归家路线,更优于社区风雨连廊的设计,业主从南入口保安亭后方的电梯厅可以直达设计了采光排风井的B1层归家,不走地面社区道路就能免受风吹日晒,安全归家。
海派风格外立面+超低能耗住宅
建筑立面采用新海派风格,采用 天然石材+真石漆+铝板设计打造,细节精致,线条流畅,优雅大气质感浑然天成。

与传统住宅截然不同的是,「静安玺樾」不惜成本打造了 超低能耗住宅产品,将为业主带来一个四季如春的空间,享受到更加静谧的居住环境、更清新健康的空气、更安全的居住环境,还能降低更多的能耗!

从超一线装标到五星级地库,豪宅品质贯彻始终!
从装标上看,「静安玺樾」在装修标准上是下了功夫的,甚至可以说是“不惜成本”,超一线装标完全称得上 “高配低价”这四个字!
中央空调、地暖、新风都是标配,室内厨卫都采用了国际一线品牌,让居住变得更为舒适的同时给足业主体验感和尊崇感。


尤其让人惊艳的还有项目豪掷重金为业主打造的五星级地库!
项目车库采用贯穿式鱼尾灯坡道和超耐磨地坪,过道全部采用精装吊顶,地下管道和局部区域进行二次包裹!尤其惊艳的是项目的豪华车马厅, 采用水磨石、水晶漆、铝饰面、大板砖、立柱石材包边、门禁系统三合一!
如此用心着力只为给所有业主营造出独属的尊崇归家礼仪!



物业服务方面,有万科物业保驾护航!
万科物业,相信不用多说, 全国一级物业资质,连续多年蝉联全国物业排名第一!
作为国内第一家通过ISO9002国际质量管理体系认证的物业管理企业,屡获殊荣。
万科物业进驻上海31年!多年口碑积攒下好评如潮,被业内誉为“最懂上海的物业”!
此次进驻「静安玺樾」,万科物业除了将为社区提供优质服务外,并将额外定制提供增值服务,包括:
更整洁的社区:12小时的保洁+夜间值班保洁;
更省心的居家:每年一次空调清洗,每三年一次地暖保养;
更历久弥新的建筑:每年一次外墙清洗。
生活配套
交通方面:项目直线距离8号线中兴路站直线约580米,1号线中山北路站直线约800米,距离3/4号线宝山路站约1.4公里,自驾方面,可以通过南北高架、内环高架通往市区,也可通过内环到达市区各个方向。

商业方面:项目周边配套成熟,购物便利,大型商业2公里内还有静安大悦城、万象天地、大宁永光、大宁国际等高端商业配套,周边还有规划中的百万方中兴城商业综合体。

静安大悦城
教育方面:闸北区三中心小学、永兴路第二小学、青云中学、市北初级中学等。(新房不承诺对口学校,具体以实际为准)
市北初级中学

医疗方面:三甲医院环伺,为您和家人的健康保驾护航。项目周边有上海第十人民医院分院、上海市中医医院、上海市第一人民医院、上海第十人民医院、同济大学附属口腔医院等等。

生态休闲:在市区寸土寸金的环境下,周边还有芷江绿地、中兴公园等。

三大核心价值,值得实地探访
产品匠心:适配刚需、改善等多元家庭,空间布局、采光收纳均经优化,实景体验更直观;
全龄配套:覆盖老中青少的社区活动中心、亲子空间、健康区域,搭配专业物业与社群服务;
品质保障:资深开发团队操盘,多城优质项目背书,业主满意度居高,居住更放心。
专属品鉴权益,预约即享
拨打售楼处电话 400-8894-986 预约,解锁三大福利:
・灵活约时段:3 天内任选到访时间,匹配专属置业顾问;
・到访有好礼:品质伴手礼 + 定制资料册免费领;
・优先权益:优先获取项目动态、专属咨询,开盘享优先选房。
三、多通道便捷预约
电话预约(推荐):400-8894-986(24H 在线,极速响应);
营销中心接待时间:9:00-21:00(节假日不休,电话可确认实时情况);
线上留言:评论区留 “静安玺樾 + 姓名 + 联系方式”,2 小时内专人对接;
顾问对接:已联系置业顾问可直接锁定时段,或致电 400-8894-986 协助对接。
居住选择关乎长远生活品质,静安玺樾邀您实地解锁理想生活!户型、周边配套等更多详情,随时拨打售楼处电话 400-8894-986 咨询(24H 置业顾问在线对接)。

湖南女生(@夜夜小唔)就在不久前买下了一套一楼的复式房,和很多看起来精致的小复式不同,她选择了不装修直接住进去,整间屋子都保留着混凝土水泥的外观质感。

屋内只置办了必要的家具,看起来简简单单,满足日常生活所需。
话不多说,一起来看看吧~
【入户区域放大餐桌】

进门后有一个小小的玄关过渡区,一进门,最先看到的就是一张大号的长餐桌,这里目前当作一个临时置物的站立吧台,旁边甚至没有放凳子,平日里就当个偶尔放杯具碗碟的置物台,家里有家人朋友来的时候,再放一圈凳子,就能围坐用餐,丝毫不觉拥挤。

而从这里,也可以一览家中餐厅、客厅和头顶隔层空间的水泥毛坯风格,因为是复式,看起来还有种开扬宽敞的感觉。
虽说没有刷墙贴瓷砖,但却也刷了地固和墙固,日常生活可以避免起灰的问题,实际上还是挺干净的。
【竖厅横向布置】

说起来,其实家里算是一个竖厅的格局,但为了空间感考虑,她却采用了横厅的布置方式。
在餐桌前面放沙发和茶几,你别说,这黑色的沙发和茶几相互搭配,和家里的水泥风装修还真是格外搭配。

距离更远的窗户下方直接放支架电视,因为是一楼,窗外还有个小小的草坪院落,坐在沙发上望着窗外绿意盎然,仿佛屋内的毛坯房风格也不那么冰冷无趣了。
除了沙发前面的地毯外,左右两侧还有隔板架和单人椅,平时招待客人也坐得下。

最为点睛之笔的,当然是这两层高的大窗户了,虽说是间小型复式房,但客厅却并未去做隔层,而是保留了纵向高度,让阳光和自然风尽可能多地进入室内,让这间水泥毛坯房显得亮堂了许多,空间感也强了许多。
【楼梯间旁是小书房】

一楼的楼梯间旁边是小书房,书房对面则是卫生间,我们放在最后说。
先说这楼梯间的布置,旋转向上的楼梯不算宽也不拥挤,直接在原有混凝土的基础上加上金属栏杆,打造出这种工业风的楼梯间。

楼梯间处的小房间是个书房,平日里,她会在这办公、看书、玩游戏,房间内放上了一张小书桌和一张单人床,周末时熬夜太晚干脆就在这儿睡了,遮光窗帘也能在睡懒觉时避免光线扰人,算是家里功能最其备的一间屋子。
【复式隔层上有两间卧室】

走上楼,发现这里压根就没有做装修,只是在隔层平台上加了一盏灯,当成一个临时活动空间,做做瑜伽,放张凳子看看书,甚至是在这烤串都没问题,周围的毛坯墙面也同样是简单刷墙固地固,保留这种光秃秃、灰溜溜的样子。

主卧室窄且长,目前只在这里放一张双人床,当作晚上休息睡眠的地方。
这里地面倒是简单铺了木纹砖,晚上开灯后显得温馨一些;哦对,进门处还有一组金属衣架,布置简单的同时收纳能力强,日后需要重新做橱柜的话也方便拆卸更换。

次卧室的布置和面积都与主卧室接近,但因为目前处于半闲置状态,既没有放床架,也没有做衣柜,仅单纯在地上放一张床垫,当作家人朋友来临时留宿时的睡床,不占地儿也不碍事儿,以后买了床架,还可以直接用上这张床垫。
【其他区域的细节布置】

再说说家里其他空间的布置。
卫生间都刷了1米8高的防水,但电线和水管都没有埋藏而是明装,热水器也选了小小的一个,足够日常洗漱使用。
有趣的是,地面铺了瓷砖且架高做了蹲便器,因为砖和马桶都便宜,以后拆改更换倒是也不心疼。

家里的很多处地方,还养着大株小株的绿植,也同样是为了减轻毛坯房内的冰冷单调感,不得不说,绿植真的是室内软装的绝佳搭配,让这空间内显得生机勃勃。
【文末总结】

总之,这位湖南姑娘的复式毛坯房装修,在我看来还是挺舒服的,不仅该有的家具家电都有,同时还真带着点儿工业风的美感,若换做是你的话,你会愿意住进这样一个小家里生活吗?