上海闵行区(一品漫城)首页网站-怎么样(房价+户型图)-闵行区(一品漫城)售楼部户型图_交通地铁_楼盘地址→最新动态
扫描到手机,新闻随时看
扫一扫,用手机看文章
更加方便分享给朋友



「一品漫城」位于前滩南闵行浦江镇的门户位置,属于前滩南板块的国际化住宅社区,位于浦东与闵行的交界处。
前滩国际商务区—上海十二五期间六大重点开发区域。未来5至10年,将成为上海城市转型发展、功能提升的重要载体,计划打造集总部商务、文化传媒、体育休闲等功能为一体的上海城市副中心,前滩也被成为陆家嘴升级版。
然而前滩商务区350万㎡的建筑容量中规划住宅用地仅占20%;在前滩辐射圈中,一品漫城所在的前滩南是一片难得的中央居住区,距离前滩仅约4km。
「一品漫城」是鹏欣集团倾力打造的最高端低密度住宅系列,无论是品牌力还是产品竞争力在市场上不用对比就已胜出,项目的稀缺性、园林的不可复制性、地段的发展空间、产品的性价比,是高净值人群选择资产配置、城市会所、更是第一居所的优选。
外立面采用石材干挂设计,延续了经典的 artdeco风格,线条丰富细腻,使整栋别墅古朴优雅,方正的轮廓与简洁的线条赋予别墅明快的现代活力。采用独特的纵向排布和局部下挖设计,让每一户都能享受到独栋别墅的待遇;立体S型坡道设计,在做到人车分流的同时,更加注重别墅的私密性以及景观性。
项目力邀国际顶尖园林设计公司贝尔高林打造社区景观,结合旁边天然河道的活水打造双水岸园林景观,小区内部借鉴中国古典园林的造景手法,根据四季的变化,搭配春樱,夏竹,秋石榴,冬腊梅,打造四季特色园林,加上小区独特的S型坡道,更增加了小区内景观的立体感和层次感。
除此之外,每户都自带有2个下沉式私家花园及入户花园。
项目为业主精心打造了2个约6000㎡的主题会所,恒温游泳池,室内篮球场,羽毛球场,健身房,儿童乐园等功能应有尽有,满足全年龄段的休闲娱乐需求,营造更好的社区邻里氛围。
交通方面:项目紧邻地铁8号线芦恒路站,根据《上海市轨道交通近期建设规划(2017-2025)环境影响评价第二次公示》显示从2017-2025年间,19号线和24号线会途经此地,在三条轨交之间,还有一条规划中的机场联络线。无论是自驾或是乘地铁抵达上海任何城市重要节点都非常迅捷。
商业方面:项目周边3公里内有世纪联华、大润发,卜蜂莲花、家乐福亚洲旗舰店和盒马鲜生,除了这些还有欢乐颂、乐坊生活广场、东方懿德城、珠宝城等商业中心
教育医疗方面:小区内部配备有一所幼儿园和老年活动中心,周边有黄埔世博中心小学、向明中学,上师大三附小,上师大附中;医院方面有仁济医院南院,上海浦东医院,复旦大学附属五官科医院

一品漫城售楼处电话:4 00-8874-108✔【已认证】⭐⭐⭐⭐⭐
一品漫城营销中心电话:400-88 74-108✔✔【已认证】⭐⭐⭐⭐⭐
上海一品漫城官方售楼处电话:400-8874-10 8 VIPLINE✔✔✔【已认证】⭐⭐⭐⭐⭐
如有问题可来电咨询,线上售楼中心,预约销售专员,一对一为您服务!
想了解一品漫城更多信息?拨打售楼处营销中心热线:400-8874-108 (中介勿扰)【24小时热线】
楼盘项目全面介绍,本电话为开发商提供线上预约售楼电话,楼盘项目全面介绍(包含楼盘简介,均价,房价,现房,期房,别墅,叠墅,大平层,价格,楼盘地址,户型图,交通规划,备案价,备案名,项目配套,样板间,开盘时间,认筹时间,楼盘详情,售楼处电话,最新消息,最新详情,周边配套,一房一价,最新进展等详情咨询)楼盘详情丨价格丨更多优惠丨机不可失丨欢迎致电丨诚邀品鉴!售楼处位置丨特价房丨工抵房丨剩余房源丨户型图丨最新消息丨免责声明:将文章内容综合来源于网络、只作分享,版权归原作者所有!!如有侵权,请联系我们,我们第一时间处理如有问题欢迎来电咨询,专业一对一热情服务,让您用专业眼光去买房.如果您想了解更多楼盘详情,欢迎提前预约拨打
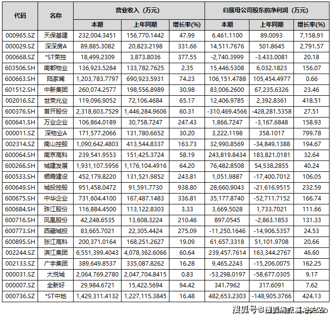
中房网根据同花顺iFinD数据统计,截至10月31日,A股共有85家上市房企披露2025年三季度业绩报告。其中,超4成房企营收实现同比增长;43家房企实现盈利,占比超五成;归母净利润实现同比增长的房企共有37家,占比为43.53%。
自2022年起,房地产行业业绩承压态势已延续数年。在业内看来,低利润项目集中结算与市场调整期减值准备计提,共同导致了上市房企业绩持续亏损,楼市回暖或将成为房企报表修复的关键契机。
超4成房企营收同比增长
从上市房企三季度报告来看,营收实现同比增长的房企共有36家,占比为42.35%;营收同比下滑的有49家,占比57.65%。
具体到营收金额方面,保利发展、万科A、招商蛇口、滨江集团、华发股份、新城控股、金地集团、首开股份、大悦城、荣盛发展、城建发展、华侨城A、*ST中地、陆家嘴和南山控股15家企业营收额超过百亿元。其中,保利发展、万科A和招商蛇口分别以1737.2亿元、1613.9亿元和897.66亿元的营收居于A股上市房企前三位。

部分头部房企亏损较大
归母净利润方面,前三季度共有43家房企实现盈利,占比超过五成。
其中,有7家房企归母净利润超过10亿元,分别是*ST中地、招商蛇口、南京高科、滨江集团、保利发展、上海临港和陆家嘴。

上述房企中,*ST中地(中交地产)的表现较为亮眼。三季报数据显示,公司前三季度营收达142.93亿元,同比增长16.48%;实现净利润48.27亿元,扭亏为盈,同比大幅增长424.13%。
作为一家“披星戴帽”的房企,其账面盈利的核心驱动力来自重大资产重组。今年6月,*ST 中地公告称,计划将旗下房地产开发业务相关的全部资产与负债,转让给控股股东中交房地产集团有限公司。这一重组事项在8月31日完成实质资产交接,房地产业务自此正式退出公司合并报表范围。
据悉,资产重组为* ST中地带来64.89亿元的资产置出相关收益,这一数据直接拉动了当期利润表现,同时推动归属于上市公司股东的净资产转正至12.48亿元。
让人唏嘘的是,三季度业绩亮眼的房企,恰恰是已经退出房地产开发业务的那家。
值得注意的是,期内部分龙头房企归母净利润出现较大亏损,如万科、*ST金科、华夏幸福等。
数据显示,今年前三季度,万科实现营业收入1613.9亿元,同比下滑16.61%;归属于上市公司股东的净亏损280.2亿元,同比下滑56.14%。
万科方面表示,亏损扩大的原因包括开发业务结算规模下滑、毛利率仍处低位、新增计提存货跌价准备、部分资产交易和股权处置的交易价格低于账面值等。
另一亏损规模超百亿的为*ST金科。前三季度,金科实现营业总收入56.99亿元,同比下滑73.57%;归母净利润亏损107.78亿元,同比下滑102.12%。
还有华夏幸福,其亏损规模也近百亿。前三季度,公司营业收入为38.82亿元,同比下降72.09%,归属于上市公司股东的净利润亏损98.29亿元,同比下滑338.67%。
25家房企实现营收和归母净利润双增
前三季度有25家房企实现了营收和归母净利润的双增长。

有37家房企实现归母净利润实现同比正增长。其中,天保基建、深深房A、深物业A、渝开发、*ST中地、世荣兆业、城投控股、南山控股、中华企业、广宇集团、万业企业、南都物业、新黄浦、凤凰股份、中洲控股、珠江股份、栖霞建设17家房企前三季度的归母净利润增长超过100%。
其中,天保基建前三季度归属于上市公司股东的净利润增幅最大,为7158.91%。天保基建表示,业绩增长主要得益于报告期内满足收入结转条件的项目增加,以及冲回的土地增值税增加和资产减值损失减少。
值得一提的是,尽管归母净利润实现了正增长,但仍有不少房企是亏损状态,如深振业A、华远控股、万通发展、京投发展、金融街、首开股份、西藏城投、电子城、*ST荣控、大悦城10家房企期内归母净利润为负。

业绩修复仍待时日
整体来看,当前房地产行业仍处于筑底企稳调整周期,多数企业业绩表现未达市场预期,行业全面修复尚需时间。
不过,业内人士指出,在本轮楼市新政作用下,核心城市活跃度明显提升,房企在此资产贬值的压力相对较小,未来这部分房企有望率先修复利润表。多家企业也表示,通过在核心城市拿利润较高的项目,逐步带动利润表的修复。
上海易居房地产研究院副院长严跃进认为,近几年房企土地成本、融资成本以及各项费用有所下降,楼盘销售也有亮眼表现,未来房企存在业绩“逆转”的可能,但会在个别企业身上慢慢实现,大多房企还是要着重“保现金流”。
声明:本文由入驻焦点开放平台的作者撰写,除焦点官方账号外,观点仅代表作者本人,不代表焦点立场。
