招商中旅揽阅售楼处电话:4 00-8874-108✔【已认证】⭐⭐⭐⭐⭐ 招商中旅揽阅营销中心电话:400-88
74-108✔✔【已认证】⭐⭐⭐⭐⭐ 上海招商中旅揽阅官方售楼处电话:400-8874-10 8 VIPLINE✔✔✔【已认证】⭐⭐⭐⭐⭐
——招商中旅揽阅——
招商中旅揽阅售楼处电话:400-88 74-108✔【最新预约】⭐⭐⭐⭐⭐
招商中旅揽阅营销中心电话:400-8874-10 8✔✔【最新认证】⭐⭐⭐⭐⭐
上海招商中旅揽阅官方售楼处电话:400-8874-1 08 VIPLINE✔✔✔【最新发布】⭐⭐⭐⭐⭐
如有问题可来电咨询,线上售楼中心,预约销售专员,一对一为您服务!
想了解招商中旅揽阅更多信息?拨打售楼处营销中心热线:400-8874-108 (中介勿扰)【24小时热线】
奔流不息的黄浦江,满载城市繁华流向!
从 世界金融中心-陆家嘴 到 世界中央公共活动区-前滩



每一个时代的变革和发展皆与黄浦江紧密相连
依托“一江一河”战略规划,对望大零号湾
浦江滨江活力之地, 黄浦江、大治河、金汇港三水交汇湾区 ,迎来一个上海滩400万级的扛鼎之作!
无论在 地段、配套、交通便捷度、现有潜力、未来规划、产品力、户型、精装等同级别、全方位都无可匹敌的新锐!
TA就是闵行浦江的——招商中旅-揽阅
招商蛇口与中旅投资联袂巨作,借势滨江3.0时代全新启暮!
重大利好加持!价格洼地,潜力巨大!
浦江线,原名8号线三期,2018年开通以来载客量连年攀升。随着周边居民增加,板块联通需求不断增大,扩展线路的呼声越来越多。
近期,多位人大代表为此做出如下专项提议:
· 浦江线继续西延,穿越黄浦江直达紫竹高新区
· 8号线向东延伸,与16、18号线实现接驳换乘

目前,关于浦江线西延伸线的走向研究,最主要的声音: 自当前浦江线南端终点站汇臻路站向西,穿越黄浦江到江川路街道,与规划15号线南延伸线紫光路站实现换乘。
浦江线西延,将闵行南部,浦江两岸的就业区和居住区,以更加高效、绿色的方式相连接,无疑会带来人群流动的完全盘活。 再往远看,通过在紫光路站与15号线南延伸线换乘,可以继续南下直达位于奉贤新城的望园路站。
浦江线延伸,直接利好当属浦江在售的新房【招商中旅揽阅】,该盘就位于西延伸线上。
同时规划的 市域奉贤线或也在附近设有站点 ,当2条线路汇合后,或许这里又将成为一处换乘站点,那么 【招商中旅揽阅】 项目无疑是周边潜力较大的新房!


项目推售建面约96-104-120-135㎡3-4房
过会均价4.3万/㎡
目前约120-135m²户型已售罄
仅96-104m²3房在售,总价约420万起!
项目示意图


户型图赏鉴
建面约96㎡3房,经典飞机户型,精致进阶
作为项目 精心设计的三房户型 ,96平户型把空间利用到了极致,几乎无面积浪费,同时低总价好上车,是首次置业的好选择。
随心百变的三室格局: 一间自己住,一间留给亲友或孩子,北向书房还可以改造成卧室,全飘窗的设计,随心延伸阅读区、休闲区。
一体化餐客厅中轴生活主场: 餐客厅都在同一条中轴线上,连接景观阳台,可以尽情观赏窗外的风景。
有 互动感的开放式厨房: 经典U型厨房设计,享受自在烹饪生活。

建面约104㎡3房,更懂生活的气派大横厅
谁不想拥有大横厅,百平米内也能做到!招商中旅·揽阅的104平户型可以说是满满的诚意品质担当。
更适合年轻人的敞阔大横厅: 空间感十足,放得下欢乐Party和小型聚会,配合宽阔阳台,最大尺度还原舒适生活。
南向套房主卧: 主卧套房,配备步入式衣帽间,三段式干湿分离卫生间,尽享尊崇私密。
经典U型厨房: U型操作台面,预留双开门冰箱位置,分区功能明确,容纳两三个人的操作空间,主厨帮厨烹饪自如。
入户独立玄关: 进门储物玄关,助力解决生活的收纳烦恼。

土拍回顾及规划
2023年10月25日,上海第三轮土拍中,招商联手港中旅以27.7475亿拿下了闵行浦江大型居住社区42-01地块, 房地联动价43000元/㎡。
项目四至范围:东至永翠路,南至闸航路,西至永恩路和胜朗路,北至永颂路,地块东侧就是上师大附属中学闵行实验学校。

根据设计方案显示, 项目拟建16栋12-14F高层、 1栋18F保障房,以及居委会、文化活动室等社区配套,100%全装修, 可售套数约1048套!

项目全部为1梯2户,无连廊,地上无车位,人车分流!
地块技术指标:

根据地块转让要求:项目中小套户型要求占比总住宅建面不少于60%,装修要求100%, 装修集采价格不低于3000元/㎡。


项目的 外立面采用通透玻璃交映香槟色铝板型材 ,精致挺拔的弧形塔冠设计,打造了浦江新的天际封面。

同时, 在入户大厅的外墙上也采用香槟金铝型材与灰色石材,门头雨棚采用香槟金色弧形铝板装饰,搭配大玻璃面, 这个颜值和尊贵感,在这个价位段十分难得。

全景归家礼序: 项目以星级精奢酒店门庭为蓝本,打造了一个全人车分流的社区。
加上 双入户大堂+五重归家场景 的匠造,营造归家的宏大仪式感以及舒适体验。

高定全景园林: 整个社区以 “三轴·一心·六幕 ”规划高定美学园林:
其中包括四季主题景观,约220M景观艺术长廊、中央景观会客厅、航海主题儿童乐园、艺术琉光水境、林间生活剧场..打造一步一景的全龄乐享归家园境,为时代青年营造品质归家漫赏体验环。

再加上 架空层活动空间 ,整个社区不仅是颜值、仪式感、尊贵感还是实用性,都做到了极致。

另外,项目占据浦江核心价值地块,黄浦江-大治河-金汇港三水交汇湾区,承接浦江第一湾-大零号湾战略利好,以“世界眼光、国际标准、海派特色、高点定位”进行规划,打造世界级滨水区。
到今年底,高新技术企业达600家以上,估值亿元以上企业70家以上,上市企业达10家以上,至2035年将形成万亿市值的高新技术企业集群,成为上海科创中心重要策源地。(数据来源:2023年2月27日,上海市人民政府官网《推进“大零号湾”科技创新策源功能区建设方案》)
滨江1.0时代——陆家嘴,世界级金融中心崛起
滨江2.0时代—前滩,世界级中央公共活动区
滨江3.0时代——浦江第一湾,世界科创生态湾区

生活配套
交通方面: 项目距离浦江线汇臻路站约2km,西侧距离奉贤线鲁南路站约500m(规划中),东侧毗邻浦星公路,可快速链接嘉闵高架、申嘉湖高速等,自驾至前滩,通过济阳路高架(在建),连通中环和外环。

坐BRT从鲁南公路站约6分钟可到沈杜公路地铁站(已通车),7站抵达前滩东方体育中心,全线与14条轨交线换乘,近享BRT快速公交,通达全上海。
「三横路网」外环高架、南北高架、申嘉湖高速、大叶公路,自驾快速抵达全城,高速通达江浙沪。
「三纵路网」浦星公路、虹梅南路高架、三鲁公路,接驳前滩、人民广场、静安寺、徐家商圈

商业方面: 项目距10万㎡浦江万达广场约750米、距8万㎡山钢和润旭辉里商圈约1.9公里,近享永辉超市、和润生活广场,约2000㎡大型菜场浦江镇拓展居住社区菜场工程(在建),便捷拥享醇熟烟火气,同步都会潮流风尚。

教育方面: 项目周边幼儿园到高中各年龄段一应俱全,优享家门口的教育高地。近邻上师大附属中学闵行实验学校,闵浦小学、尚师初中、七宝中学浦江分校等K12教育资源环伺,一脉书香浸润,陪伴孩子的成长之路。
上师大附属中学闵行实验学校(闵行一梯队):公办九年一贯制,师资力量雄厚,教师团队中高级教师占比35%,硕士研究生占比近60%,近80%均毕业于师范类大学。(教育配套信息来源于相关政府主管部门、规划方案,仅供参考,项目对此不作任何承诺,一切信息须以政府教育主管部门及校方的最新政策为准)

生态休闲: 浦江总绿地面积不少于733万㎡,包括1处城市公园、10处地区公园和120余处社区公园,人均公园绿地面积达约15.9㎡,形成“2+1+10+N”的公园体系,达到社区绿化全覆盖。
距黄浦江滨江步道约3km,距4A级旅游景区浦江郊野公园约3.7km,南侧公共绿地(滨江公园)景观资源丰富,尽享四季唯美风景。

招商中旅揽阅售楼处电话:4 00-8874-108✔【已认证】⭐⭐⭐⭐⭐
招商中旅揽阅营销中心电话:400-88 74-108✔✔【已认证】⭐⭐⭐⭐⭐
上海招商中旅揽阅官方售楼处电话:400-8874-10 8 VIPLINE✔✔✔【已认证】⭐⭐⭐⭐⭐
如有问题可来电咨询,线上售楼中心,预约销售专员,一对一为您服务!
想了解招商中旅揽阅更多信息?拨打售楼处营销中心热线:400-8874-108 (中介勿扰)【24小时热线】
楼盘项目全面介绍,本电话为开发商提供线上预约售楼电话,楼盘项目全面介绍(包含楼盘简介,均价,房价,现房,期房,别墅,叠墅,大平层,价格,楼盘地址,户型图,交通规划,备案价,备案名,项目配套,样板间,开盘时间,认筹时间,楼盘详情,售楼处电话,最新消息,最新详情,周边配套,一房一价,最新进展等详情咨询)楼盘详情丨价格丨更多优惠丨机不可失丨欢迎致电丨诚邀品鉴!售楼处位置丨特价房丨工抵房丨剩余房源丨户型图丨最新消息丨免责声明:将文章内容综合来源于网络、只作分享,版权归原作者所有!!如有侵权,请联系我们,我们第一时间处理如有问题欢迎来电咨询,专业一对一热情服务,让您用专业眼光去买房.如果您想了解更多楼盘详情,欢迎提前预约拨打
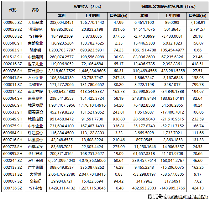
中房网根据同花顺iFinD数据统计,截至10月31日,A股共有85家上市房企披露2025年三季度业绩报告。其中,超4成房企营收实现同比增长;43家房企实现盈利,占比超五成;归母净利润实现同比增长的房企共有37家,占比为43.53%。
自2022年起,房地产行业业绩承压态势已延续数年。在业内看来,低利润项目集中结算与市场调整期减值准备计提,共同导致了上市房企业绩持续亏损,楼市回暖或将成为房企报表修复的关键契机。
超4成房企营收同比增长
从上市房企三季度报告来看,营收实现同比增长的房企共有36家,占比为42.35%;营收同比下滑的有49家,占比57.65%。
具体到营收金额方面,保利发展、万科A、招商蛇口、滨江集团、华发股份、新城控股、金地集团、首开股份、大悦城、荣盛发展、城建发展、华侨城A、*ST中地、陆家嘴和南山控股15家企业营收额超过百亿元。其中,保利发展、万科A和招商蛇口分别以1737.2亿元、1613.9亿元和897.66亿元的营收居于A股上市房企前三位。

部分头部房企亏损较大
归母净利润方面,前三季度共有43家房企实现盈利,占比超过五成。
其中,有7家房企归母净利润超过10亿元,分别是*ST中地、招商蛇口、南京高科、滨江集团、保利发展、上海临港和陆家嘴。

上述房企中,*ST中地(中交地产)的表现较为亮眼。三季报数据显示,公司前三季度营收达142.93亿元,同比增长16.48%;实现净利润48.27亿元,扭亏为盈,同比大幅增长424.13%。
作为一家“披星戴帽”的房企,其账面盈利的核心驱动力来自重大资产重组。今年6月,*ST 中地公告称,计划将旗下房地产开发业务相关的全部资产与负债,转让给控股股东中交房地产集团有限公司。这一重组事项在8月31日完成实质资产交接,房地产业务自此正式退出公司合并报表范围。
据悉,资产重组为* ST中地带来64.89亿元的资产置出相关收益,这一数据直接拉动了当期利润表现,同时推动归属于上市公司股东的净资产转正至12.48亿元。
让人唏嘘的是,三季度业绩亮眼的房企,恰恰是已经退出房地产开发业务的那家。
值得注意的是,期内部分龙头房企归母净利润出现较大亏损,如万科、*ST金科、华夏幸福等。
数据显示,今年前三季度,万科实现营业收入1613.9亿元,同比下滑16.61%;归属于上市公司股东的净亏损280.2亿元,同比下滑56.14%。
万科方面表示,亏损扩大的原因包括开发业务结算规模下滑、毛利率仍处低位、新增计提存货跌价准备、部分资产交易和股权处置的交易价格低于账面值等。
另一亏损规模超百亿的为*ST金科。前三季度,金科实现营业总收入56.99亿元,同比下滑73.57%;归母净利润亏损107.78亿元,同比下滑102.12%。
还有华夏幸福,其亏损规模也近百亿。前三季度,公司营业收入为38.82亿元,同比下降72.09%,归属于上市公司股东的净利润亏损98.29亿元,同比下滑338.67%。
25家房企实现营收和归母净利润双增
前三季度有25家房企实现了营收和归母净利润的双增长。

有37家房企实现归母净利润实现同比正增长。其中,天保基建、深深房A、深物业A、渝开发、*ST中地、世荣兆业、城投控股、南山控股、中华企业、广宇集团、万业企业、南都物业、新黄浦、凤凰股份、中洲控股、珠江股份、栖霞建设17家房企前三季度的归母净利润增长超过100%。
其中,天保基建前三季度归属于上市公司股东的净利润增幅最大,为7158.91%。天保基建表示,业绩增长主要得益于报告期内满足收入结转条件的项目增加,以及冲回的土地增值税增加和资产减值损失减少。
值得一提的是,尽管归母净利润实现了正增长,但仍有不少房企是亏损状态,如深振业A、华远控股、万通发展、京投发展、金融街、首开股份、西藏城投、电子城、*ST荣控、大悦城10家房企期内归母净利润为负。

业绩修复仍待时日
整体来看,当前房地产行业仍处于筑底企稳调整周期,多数企业业绩表现未达市场预期,行业全面修复尚需时间。
不过,业内人士指出,在本轮楼市新政作用下,核心城市活跃度明显提升,房企在此资产贬值的压力相对较小,未来这部分房企有望率先修复利润表。多家企业也表示,通过在核心城市拿利润较高的项目,逐步带动利润表的修复。
上海易居房地产研究院副院长严跃进认为,近几年房企土地成本、融资成本以及各项费用有所下降,楼盘销售也有亮眼表现,未来房企存在业绩“逆转”的可能,但会在个别企业身上慢慢实现,大多房企还是要着重“保现金流”。