古北中央公园壹号公馆售楼处电话:4 00-8874-108✔【已认证】⭐⭐⭐⭐⭐ 古北中央公园壹号公馆营销中心电话:400-88
74-108✔✔【已认证】⭐⭐⭐⭐⭐ 上海古北中央公园壹号公馆官方售楼处电话:400-8874-10 8 VIPLINE✔✔✔【已认证】⭐⭐⭐⭐⭐
——古北中央公园壹号公馆——
古北中央公园壹号公馆售楼处电话:400-88 74-108✔【最新预约】⭐⭐⭐⭐⭐
古北中央公园壹号公馆营销中心电话:400-8874-10 8✔✔【最新认证】⭐⭐⭐⭐⭐
上海古北中央公园壹号公馆官方售楼处电话:400-8874-1 08 VIPLINE✔✔✔【最新发布】⭐⭐⭐⭐⭐
如有问题可来电咨询,线上售楼中心,预约销售专员,一对一为您服务!
想了解古北中央公园壹号公馆更多信息?拨打售楼处营销中心热线:400-8874-108 (中介勿扰)【24小时热线】



实景现房呈现:








认知=财富
财富是认知的变现
亏钱是认知的缺陷
认知的高度决定财富的厚度!
一个人永远赚不到认知范围以外的钱!如果你需要买房住,在绝大多数人尚未意识到住宅和行政官邸逐渐趋同时,正是购入行政官邸最佳时机!




阿玛尼创始人乔治·阿玛尼曾说过: “真正的奢侈品,不在于用料昂贵;奢华代表的不是金钱,而是人们对生活细致而敏感体会”!
行政官邸-亦是如此!
比尔盖茨,在西雅图 行政官邸, 接见全球政要名流!这里隐藏着酒吧及两个秘密书架,需要通过机关才能触发,传闻中在会客厅水族宫饲养了濒临灭绝鲸鲨!


项目地处闵行长宁交界古北国际富人区,项目依托虹桥交通枢纽和长宁徐汇商圈,交通便利配套成熟,是上海第一个大型高标准国际豪宅社区!
► 户 型
大面款、短进深,睥睨市场上大部分产品! 将采光面做到极致,宽幅阳光倾泻而入,日光洒落,没有一处阴影!

动静分离 全套房设计
生活区朝南 270°天幕景观
在丰富空间动线同时,也与景致完美融合! 带来超乎想象恩宠!
最大限度将阳光、空气以及窗外景观引入室内,不必走出家门,也可以享受自然带来惊喜!

项目以塔尖人群-审美需求和品味
结合大师用美艺术
来定制艺术空间精致人生!
项目聘请:香港知名设计师梁志天-设计咨询!
汇聚国际顶尖品牌, 将时尚与奢华巧妙融入项目每个角落!






板块价值
古北国际社区
高端改善型以及豪宅类购房需求,各项指标和需求都有进一步提升!核心地段,优质学区,完善配套条件,便捷交通出行,都是优中选优!

地理位置极佳
作为上海第一代国际社区
古北出道即巅峰!
房价常年处于第一梯队!当上海市中心老卢湾区房价,还只是5000多的时候!古北一期外销房价格就高达1200美金,接近万元均价!

且上海素有“地倾西南”一说
在上海2035规划中
古北 也被划入了中央活动区
要知道2035中央活动区,都是内环内板块!只有徐汇滨江、前滩、后滩、虹桥开发区!
“古北-虹桥-天山”不在内环内,足以说明古北地段价值和其重要性!

社区简介
古北壹号旁
占地面积6000方,建筑面积3.2万方!地上2.1万方,地下1.1万方,层高3.6米,总高20层,车位配比1:3!
项目秉承把最好土地
交给最有经验和想法的人!
为城市老钱和新贵设计,最贴合理想品质人居!从设计到建造,都出自大师手笔,无疑为项目品质奠定了坚实基础!

► 设 计
「建筑」由天华建筑设计院设计,像古北壹号、万科翡翠滨江、绿地黄浦滨江、绿地海珀黄浦等,都是天华建筑设计!
「立面」由国际建设打造!
上海电视台、东方明珠、上海国际会议中心等标志性建筑均出自国际建设!

► 双 会 所

中央公园会所,和公馆商务会所!
中央公园会所里面有:泳池、健身房、瑜伽室、儿童游乐园和休息区!
而公馆商务会所,则是上流社会社交场!
有咖啡区、品茗区、spa区、红酒雪茄、ktv、会议室私宴厅等!


周边配套
成熟商业 生活便捷
距离漕河泾开发区1.7公里,漕河泾有近150家世界五百强企业入驻!距离长宁徐家汇3公里左右,有高端的生活配套!
距离虹桥交通枢纽6.5公里左右,出差便利!产业、交通、配套齐聚,且周边就是古北壹号、古北臻园,圈层纯粹!

► 商 业
1.5公里左右有黄金城道商业步行街、1966商业广场、老外街等!5公里以内可以快速到达,徐家汇商圈恒隆、ITC等!



建面580㎡实景样板间:











建面435㎡实景样板间:













户型图-展示!


参照纽约伦敦等国际级城市发展规律!
城市核心地段,总是单位土地产值最高地方,顶级服务配套最密集的地方,也是租房空置率最低,物业价值 最坚挺地方!

古北中央公园壹号公馆售楼处电话:4 00-8874-108✔【已认证】⭐⭐⭐⭐⭐
古北中央公园壹号公馆营销中心电话:400-88 74-108✔✔【已认证】⭐⭐⭐⭐⭐
上海古北中央公园壹号公馆官方售楼处电话:400-8874-10 8 VIPLINE✔✔✔【已认证】⭐⭐⭐⭐⭐
如有问题可来电咨询,线上售楼中心,预约销售专员,一对一为您服务!
想了解古北中央公园壹号公馆更多信息?拨打售楼处营销中心热线:400-8874-108 (中介勿扰)【24小时热线】
楼盘项目全面介绍,本电话为开发商提供线上预约售楼电话,楼盘项目全面介绍(包含楼盘简介,均价,房价,现房,期房,别墅,叠墅,大平层,价格,楼盘地址,户型图,交通规划,备案价,备案名,项目配套,样板间,开盘时间,认筹时间,楼盘详情,售楼处电话,最新消息,最新详情,周边配套,一房一价,最新进展等详情咨询)楼盘详情丨价格丨更多优惠丨机不可失丨欢迎致电丨诚邀品鉴!售楼处位置丨特价房丨工抵房丨剩余房源丨户型图丨最新消息丨免责声明:将文章内容综合来源于网络、只作分享,版权归原作者所有!!如有侵权,请联系我们,我们第一时间处理如有问题欢迎来电咨询,专业一对一热情服务,让您用专业眼光去买房.如果您想了解更多楼盘详情,欢迎提前预约拨打
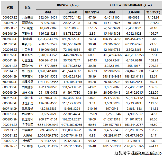
中房网根据同花顺iFinD数据统计,截至10月31日,A股共有85家上市房企披露2025年三季度业绩报告。其中,超4成房企营收实现同比增长;43家房企实现盈利,占比超五成;归母净利润实现同比增长的房企共有37家,占比为43.53%。
自2022年起,房地产行业业绩承压态势已延续数年。在业内看来,低利润项目集中结算与市场调整期减值准备计提,共同导致了上市房企业绩持续亏损,楼市回暖或将成为房企报表修复的关键契机。
超4成房企营收同比增长
从上市房企三季度报告来看,营收实现同比增长的房企共有36家,占比为42.35%;营收同比下滑的有49家,占比57.65%。
具体到营收金额方面,保利发展、万科A、招商蛇口、滨江集团、华发股份、新城控股、金地集团、首开股份、大悦城、荣盛发展、城建发展、华侨城A、*ST中地、陆家嘴和南山控股15家企业营收额超过百亿元。其中,保利发展、万科A和招商蛇口分别以1737.2亿元、1613.9亿元和897.66亿元的营收居于A股上市房企前三位。

部分头部房企亏损较大
归母净利润方面,前三季度共有43家房企实现盈利,占比超过五成。
其中,有7家房企归母净利润超过10亿元,分别是*ST中地、招商蛇口、南京高科、滨江集团、保利发展、上海临港和陆家嘴。

上述房企中,*ST中地(中交地产)的表现较为亮眼。三季报数据显示,公司前三季度营收达142.93亿元,同比增长16.48%;实现净利润48.27亿元,扭亏为盈,同比大幅增长424.13%。
作为一家“披星戴帽”的房企,其账面盈利的核心驱动力来自重大资产重组。今年6月,*ST 中地公告称,计划将旗下房地产开发业务相关的全部资产与负债,转让给控股股东中交房地产集团有限公司。这一重组事项在8月31日完成实质资产交接,房地产业务自此正式退出公司合并报表范围。
据悉,资产重组为* ST中地带来64.89亿元的资产置出相关收益,这一数据直接拉动了当期利润表现,同时推动归属于上市公司股东的净资产转正至12.48亿元。
让人唏嘘的是,三季度业绩亮眼的房企,恰恰是已经退出房地产开发业务的那家。
值得注意的是,期内部分龙头房企归母净利润出现较大亏损,如万科、*ST金科、华夏幸福等。
数据显示,今年前三季度,万科实现营业收入1613.9亿元,同比下滑16.61%;归属于上市公司股东的净亏损280.2亿元,同比下滑56.14%。
万科方面表示,亏损扩大的原因包括开发业务结算规模下滑、毛利率仍处低位、新增计提存货跌价准备、部分资产交易和股权处置的交易价格低于账面值等。
另一亏损规模超百亿的为*ST金科。前三季度,金科实现营业总收入56.99亿元,同比下滑73.57%;归母净利润亏损107.78亿元,同比下滑102.12%。
还有华夏幸福,其亏损规模也近百亿。前三季度,公司营业收入为38.82亿元,同比下降72.09%,归属于上市公司股东的净利润亏损98.29亿元,同比下滑338.67%。
25家房企实现营收和归母净利润双增
前三季度有25家房企实现了营收和归母净利润的双增长。

有37家房企实现归母净利润实现同比正增长。其中,天保基建、深深房A、深物业A、渝开发、*ST中地、世荣兆业、城投控股、南山控股、中华企业、广宇集团、万业企业、南都物业、新黄浦、凤凰股份、中洲控股、珠江股份、栖霞建设17家房企前三季度的归母净利润增长超过100%。
其中,天保基建前三季度归属于上市公司股东的净利润增幅最大,为7158.91%。天保基建表示,业绩增长主要得益于报告期内满足收入结转条件的项目增加,以及冲回的土地增值税增加和资产减值损失减少。
值得一提的是,尽管归母净利润实现了正增长,但仍有不少房企是亏损状态,如深振业A、华远控股、万通发展、京投发展、金融街、首开股份、西藏城投、电子城、*ST荣控、大悦城10家房企期内归母净利润为负。

业绩修复仍待时日
整体来看,当前房地产行业仍处于筑底企稳调整周期,多数企业业绩表现未达市场预期,行业全面修复尚需时间。
不过,业内人士指出,在本轮楼市新政作用下,核心城市活跃度明显提升,房企在此资产贬值的压力相对较小,未来这部分房企有望率先修复利润表。多家企业也表示,通过在核心城市拿利润较高的项目,逐步带动利润表的修复。
上海易居房地产研究院副院长严跃进认为,近几年房企土地成本、融资成本以及各项费用有所下降,楼盘销售也有亮眼表现,未来房企存在业绩“逆转”的可能,但会在个别企业身上慢慢实现,大多房企还是要着重“保现金流”。