深安上居售楼处电话:4 00-8874-108✔【已认证】⭐⭐⭐⭐⭐ 深安上居营销中心电话:400-88 74-108✔✔【已认证】⭐⭐⭐⭐⭐
上海深安上居官方售楼处电话:400-8874-10 8 VIPLINE✔✔✔【已认证】⭐⭐⭐⭐⭐
项目基础信息
——深安上居——
深安上居售楼处电话:400-88 74-108✔【最新预约】⭐⭐⭐⭐⭐
深安上居营销中心电话:400-8874-10 8✔✔【最新认证】⭐⭐⭐⭐⭐
上海深安上居官方售楼处电话:400-8874-1 08 VIPLINE✔✔✔【最新发布】⭐⭐⭐⭐⭐
如有问题可来电咨询,线上售楼中心,预约销售专员,一对一为您服务!
想了解深安上居更多信息?拨打售楼处营销中心热线:400-8874-108 (中介勿扰)【24小时热线】
项目名称:深业深安上居
总建筑面积:约 12 万方(含地下)
可售住宅套数:890
户车位:约 965 个
容积率:约 2.0
绿地率:大于 35%
建筑层高:17—18 层
产权:70 年
交付情况:精装修
项目地址:嘉定区硕望路 52 弄
(具体以政府审批及合同约定为准)



40载国企深业 引领时代向上
深业集团, 深圳市人民政府全资拥有、深圳市国资委直管的大型综合性企业集团。集团前身于 1983 年在香港注册成立。深业集团以“产城创新建设者,幸福民生运营商”为发展愿景,打造以地产为核心、多层次协同发展的创新生态和幸福城市业务组合, 聚焦地产、园区、运营、幸福、资本和数字化六大核心业务 ,实现城市综合开发运营的一站式服务!2023 年深业集团首进上海,幸会嘉定。

上乘作品 为上层生活而来
深业深安上居 项目秉承着精研城市向上精神,匠心呈现约 12 万方上海“上系”人居首作, 在繁华与自然兼具的氛围中,打造 “城市与社区无界”、“景观与人居无界”“多元生活无界” 的城市平行生活体。
现代美学建筑,错落有致呼应城市美好
12 幢现代美学风格的建筑, 通过幢与幢之间错落有致的距离设计,形成具有归属感和亲近感的社区空间。在满足功能要求的前提下,玻璃幕墙搭配米白色和深灰色材质涂装,简约线条分割完善挺拔向上的平面美学,匹配上游城市青年对建筑思潮的审美与表达。

一轴一心三主题,24 小时沉浸式社交园林
回应向上青年精神和情感的需求,深业·深安上居以 “亲近自然、新鲜活力” 的社区场景,营造 “一轴一心三主题” 全龄共享的园林空间,让业主沉浸式体验更具松弛感的邻里生活。

约 160m 归家轴 三进礼遇空间
一进城市落客广场, 取窗景与漏景结合的传统设计手法,营造从城市与社区无界的氛围感。
二进迎宾吧台, 专属管家迎归,呈现归家尊贵感。
三进迎归景观, 高低起伏的景观流线,指引业主漫步归家。

微度假呼吸会所 户外社交聚场
温润木质的瞭望台、微度假卡包空间、条石分割的秩序草阶组团呈现多功能共享空间,主题聚餐、生日 Party、户外影院、演艺活动……满足全龄段业主潮流追求

三大主题空间 全龄共享生活
混龄光环,儿童乐园为核芯,实现游戏、看护、社交一体化的家庭亲密场。

2大架空层, 童趣天地、四点半课堂、健身中心、休憩会所 4 大主题空间,让社交生活场景有了更多选择。

项目推售详情
最新消息, 【深业·深安上居】 首期推出 建面约88-98㎡3房户型 ,首推共计300余套房源, 均价3.58万元/㎡ ,正在认购中。

项目全套户型图▼

建面约88㎡3房2厅1卫户型, 做到了 三开间朝南+双朝南卧室带飘窗+动静分离 ,采光面拉到极致的小3房。

样板房实景图仅供参考,最终以实际交付为准
这是一个相对主流户型,受众面大,三口、四口之家居住都非常适合,未来流入二手房市场,也能收获更多下家的青睐。
已关注
关注
重播 分享 赞
关闭
观看更多
更多
退出全屏
切换到竖屏全屏退出全屏
温柔栖居指南已关注
分享视频
,时长01:33
0/0
00:00/01:33
切换到横屏模式
继续播放
进度条,百分之0
播放
00:00
/
01:33
01:33
倍速
全屏
倍速播放中
0.5倍 0.75倍 1.0倍 1.5倍 2.0倍
超清 流畅
您的浏览器不支持 video 标签
继续观看
【嘉定红盘】深业深安上居:300万级地铁三房,再造上海上车奇迹!附官方预约通道!
观看更多
转载
,
【嘉定红盘】深业深安上居:300万级地铁三房,再造上海上车奇迹!附官方预约通道!
温柔栖居指南已关注
分享点赞在看
已同步到看一看写下你的评论
视频详情
进门后两边分别是玄关和厨房,从居住的角度来看非常方便。 可以想象一下下班回家后,进门就可以将钥匙包包和鞋子放在玄关及鞋柜处,如果顺路买了菜,可以直接放进厨房。

样板房实景图仅供参考,最终以实际交付为准
次卧联通南向超长景观阳台的同时,还有一个独立的景观飘窗, 将采光性、美观性和实用性完美结合。

样板房实景图仅供参考,最终以实际交付为准


深业深安上居建面约98㎡样板间视频实拍▼
已关注
关注
重播 分享 赞
关闭
观看更多
更多
退出全屏
切换到竖屏全屏退出全屏
温柔栖居指南已关注
分享视频
,时长01:51
0/0
00:00/01:51
切换到横屏模式
继续播放
进度条,百分之0
播放
00:00
/
01:51
01:51
倍速
全屏
倍速播放中
0.5倍 0.75倍 1.0倍 1.5倍 2.0倍
超清 流畅
您的浏览器不支持 video 标签
继续观看
【嘉定红盘】深业深安上居:300万级地铁三房,再造上海上车奇迹!附官方预约通道!
观看更多
转载
,
【嘉定红盘】深业深安上居:300万级地铁三房,再造上海上车奇迹!附官方预约通道!
温柔栖居指南已关注
分享点赞在看
已同步到看一看写下你的评论
视频详情









建面约98㎡3房2厅2卫户型, 分别是边套、中间套,满足不同人群的居住需求。
98㎡这个户型同样做到了三开间朝南+动静分离 ,室内采光面非常大,通透明亮。

样板房实景图仅供参考,最终以实际交付为准
厨房尺度也进行了升级,如此宽敞的U型厨房,三五好友聚会时,即便两个人同时煮饭炒菜也会显得非常从容。

样板房实景图仅供参考,最终以实际交付为准
餐客厅南北一体化, 让室内空间视觉感受到空间尺度,都进一步升级。

样板房实景图仅供参考,最终以实际交付为准
主卧套房设计,带独立卫生间+飘窗+衣帽间, 打造专属于主人的私密空间。

样板房实景图仅供参考,最终以实际交付为准
主次卫均设有飘窗,而且预留了很多壁龛储物空间, 如:卫生间马桶的侧边设计了木制壁龛,淋浴房的侧边设计了不锈钢壁龛等等……

样板房实景图仅供参考,最终以实际交付为准
除了户型设计的匠心细节之外,【深业·深安上居】在装修标准方面也甄选国内外一线家装品牌。
不仅标配了中央空调+新风系统,而且还设计了全屋墙布、不锈钢踢脚线、磁吸轨道灯带设计等等…… 从装修大件,到细微之处,无一不体现了这个精工国企对于这个社区的匠心。

样板房实景图仅供参考,最终以实际交付为准
项目区位配套
安亭, 嘉定新城产业根基所在。庞大汽车产业集群,约 5502.9 亿元规模以上工业产值,带动板块下一个增长极。(数据来源:安亭观微,数据截止时间:2022 年底)
安亭汽车产业链为嘉定贡献了约 70%产值、约 60%销售、约 50%GDP、约 40%就业、约 30%税收,是嘉定发展不可或缺的重要主导型产业。(数据来源:界面新闻,数据截止时间:2019 年底)

根据《嘉定新城十四五规划》, 嘉定新城将以打造世界级汽车产业中心为契机,大力构建汽车“新四化”等千亿级产业和在线新经济为引领的新动能体系。目前、氢能港、蔚来、上汽、沃尔沃、丰田等均落址于此,成为嘉定二次发展的重要源泉。

嘉定新城立足打通长三角一体化和虹桥国际开放枢纽的链接通道, 构建 “一核一枢纽、两轴四片区” 的规划新格局。“一枢纽”即安亭枢纽——以安亭北站、安亭西站为核心,无缝连接虹桥国际开放枢纽,打造站城一体化、辐射长三角的综合交通枢纽。(信息来源:《嘉定新城总体城市设计》)除此之外,上海 2035 规划中的宝嘉线、嘉青松线即将启动,嘉安高速延展嘉定向东,与宝山互通,以安亭为枢纽核心,嘉定再次站在了时代发展的风口之上。

轨道交通方面: 项目距离 11 号线昌吉东路站仅约 200米, 一线直达徐家汇、徐汇滨江、前滩、迪士尼等高能级商圈,串联上海摩登、艺术、人文、生态、休闲、童话等多元生活场域。所有向往的生活,都集合在 11 号线,引领上游青年走向美好的未来。(百度测距小区围墙最近处与地铁站1号口直线距离)


全系配套,将向上的生活理想兑现于日常丰盛城市资源,日常烟火气息、松弛自然氛围,都是这里的生活常态。热气腾腾的生活场域,熨贴向上的身心。
商业配套方面: 5大商体 ——嘉亭荟城市生活广场、安亭财富广场、三德广场、中信泰富万达广场、嘉实生活广场。

教育资源方面: 周边有上海安亭示范附属小学、嘉定区黄渡小学、中学、同济大学附属实验中学、同济大学嘉定校区等。(教育免责:政府不对预售房屋进行学区划分,项目对口学校最终以交房后教育主管部门公布为准)

4大生态公园 ——嘉北郊野公园、安亭汽车博览公园、远香湖公园、嘉定紫藤园

5处休闲配套 ——市民广场、保利大剧院、安亭老街、颖奕安亭高尔夫球场、州桥老街

医疗资源方面: 4所专业医疗 ——安亭医院、东方肝胆医院(三甲)、瑞金北院(三甲)、嘉定妇幼保健院

深安上居售楼处电话:4 00-8874-108✔【已认证】⭐⭐⭐⭐⭐
深安上居营销中心电话:400-88 74-108✔✔【已认证】⭐⭐⭐⭐⭐
上海深安上居官方售楼处电话:400-8874-10 8 VIPLINE✔✔✔【已认证】⭐⭐⭐⭐⭐
如有问题可来电咨询,线上售楼中心,预约销售专员,一对一为您服务!
想了解深安上居更多信息?拨打售楼处营销中心热线:400-8874-108 (中介勿扰)【24小时热线】
楼盘项目全面介绍,本电话为开发商提供线上预约售楼电话,楼盘项目全面介绍(包含楼盘简介,均价,房价,现房,期房,别墅,叠墅,大平层,价格,楼盘地址,户型图,交通规划,备案价,备案名,项目配套,样板间,开盘时间,认筹时间,楼盘详情,售楼处电话,最新消息,最新详情,周边配套,一房一价,最新进展等详情咨询)楼盘详情丨价格丨更多优惠丨机不可失丨欢迎致电丨诚邀品鉴!售楼处位置丨特价房丨工抵房丨剩余房源丨户型图丨最新消息丨免责声明:将文章内容综合来源于网络、只作分享,版权归原作者所有!!如有侵权,请联系我们,我们第一时间处理如有问题欢迎来电咨询,专业一对一热情服务,让您用专业眼光去买房.如果您想了解更多楼盘详情,欢迎提前预约拨打
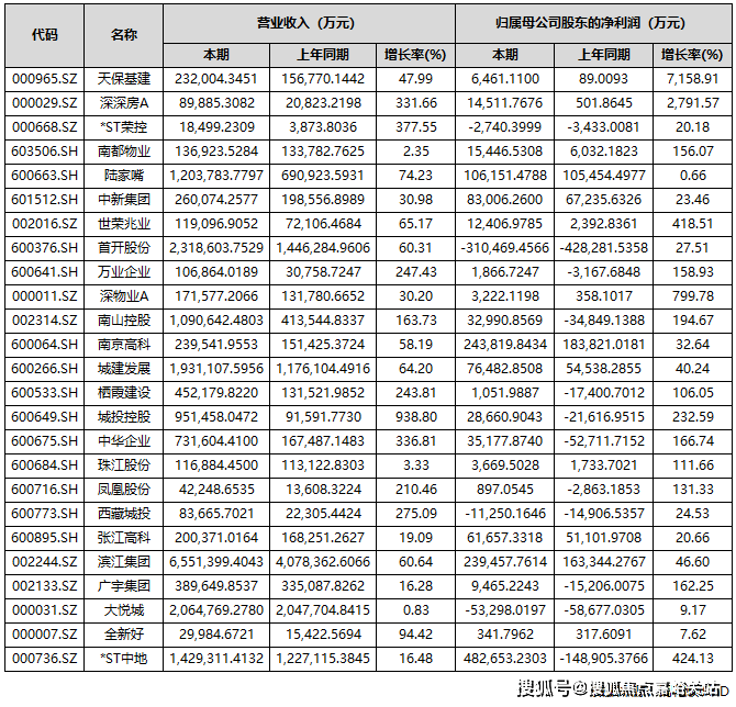
中房网根据同花顺iFinD数据统计,截至10月31日,A股共有85家上市房企披露2025年三季度业绩报告。其中,超4成房企营收实现同比增长;43家房企实现盈利,占比超五成;归母净利润实现同比增长的房企共有37家,占比为43.53%。
自2022年起,房地产行业业绩承压态势已延续数年。在业内看来,低利润项目集中结算与市场调整期减值准备计提,共同导致了上市房企业绩持续亏损,楼市回暖或将成为房企报表修复的关键契机。
超4成房企营收同比增长
从上市房企三季度报告来看,营收实现同比增长的房企共有36家,占比为42.35%;营收同比下滑的有49家,占比57.65%。
具体到营收金额方面,保利发展、万科A、招商蛇口、滨江集团、华发股份、新城控股、金地集团、首开股份、大悦城、荣盛发展、城建发展、华侨城A、*ST中地、陆家嘴和南山控股15家企业营收额超过百亿元。其中,保利发展、万科A和招商蛇口分别以1737.2亿元、1613.9亿元和897.66亿元的营收居于A股上市房企前三位。

部分头部房企亏损较大
归母净利润方面,前三季度共有43家房企实现盈利,占比超过五成。
其中,有7家房企归母净利润超过10亿元,分别是*ST中地、招商蛇口、南京高科、滨江集团、保利发展、上海临港和陆家嘴。

上述房企中,*ST中地(中交地产)的表现较为亮眼。三季报数据显示,公司前三季度营收达142.93亿元,同比增长16.48%;实现净利润48.27亿元,扭亏为盈,同比大幅增长424.13%。
作为一家“披星戴帽”的房企,其账面盈利的核心驱动力来自重大资产重组。今年6月,*ST 中地公告称,计划将旗下房地产开发业务相关的全部资产与负债,转让给控股股东中交房地产集团有限公司。这一重组事项在8月31日完成实质资产交接,房地产业务自此正式退出公司合并报表范围。
据悉,资产重组为* ST中地带来64.89亿元的资产置出相关收益,这一数据直接拉动了当期利润表现,同时推动归属于上市公司股东的净资产转正至12.48亿元。
让人唏嘘的是,三季度业绩亮眼的房企,恰恰是已经退出房地产开发业务的那家。
值得注意的是,期内部分龙头房企归母净利润出现较大亏损,如万科、*ST金科、华夏幸福等。
数据显示,今年前三季度,万科实现营业收入1613.9亿元,同比下滑16.61%;归属于上市公司股东的净亏损280.2亿元,同比下滑56.14%。
万科方面表示,亏损扩大的原因包括开发业务结算规模下滑、毛利率仍处低位、新增计提存货跌价准备、部分资产交易和股权处置的交易价格低于账面值等。
另一亏损规模超百亿的为*ST金科。前三季度,金科实现营业总收入56.99亿元,同比下滑73.57%;归母净利润亏损107.78亿元,同比下滑102.12%。
还有华夏幸福,其亏损规模也近百亿。前三季度,公司营业收入为38.82亿元,同比下降72.09%,归属于上市公司股东的净利润亏损98.29亿元,同比下滑338.67%。
25家房企实现营收和归母净利润双增
前三季度有25家房企实现了营收和归母净利润的双增长。

有37家房企实现归母净利润实现同比正增长。其中,天保基建、深深房A、深物业A、渝开发、*ST中地、世荣兆业、城投控股、南山控股、中华企业、广宇集团、万业企业、南都物业、新黄浦、凤凰股份、中洲控股、珠江股份、栖霞建设17家房企前三季度的归母净利润增长超过100%。
其中,天保基建前三季度归属于上市公司股东的净利润增幅最大,为7158.91%。天保基建表示,业绩增长主要得益于报告期内满足收入结转条件的项目增加,以及冲回的土地增值税增加和资产减值损失减少。
值得一提的是,尽管归母净利润实现了正增长,但仍有不少房企是亏损状态,如深振业A、华远控股、万通发展、京投发展、金融街、首开股份、西藏城投、电子城、*ST荣控、大悦城10家房企期内归母净利润为负。

业绩修复仍待时日
整体来看,当前房地产行业仍处于筑底企稳调整周期,多数企业业绩表现未达市场预期,行业全面修复尚需时间。
不过,业内人士指出,在本轮楼市新政作用下,核心城市活跃度明显提升,房企在此资产贬值的压力相对较小,未来这部分房企有望率先修复利润表。多家企业也表示,通过在核心城市拿利润较高的项目,逐步带动利润表的修复。
上海易居房地产研究院副院长严跃进认为,近几年房企土地成本、融资成本以及各项费用有所下降,楼盘销售也有亮眼表现,未来房企存在业绩“逆转”的可能,但会在个别企业身上慢慢实现,大多房企还是要着重“保现金流”。