龙湖御湖境 (售楼处) 官方首页 - 龙湖御湖境销售中心 - 环境 - 户型价格 - 地址 - 楼盘详情 - 配套 - 电话 - 交房时间 - 配套 - 电话 - 交房时间
扫描到手机,新闻随时看
扫一扫,用手机看文章
更加方便分享给朋友


近日,奉贤现象级红盘——龙湖·御湖境再次引发市场关注!

两开两捷,轰动奉贤楼市!首开十亿登顶奉贤,二开热销5亿续写热销传奇,造就 8月上海全市成交套数TOP3,8月外环外成交套数TOP1,荣居五大新城销量TOP1,持续霸榜奉贤成交套数面积金额三冠王,万众瞩目的沪上红盘!这印证了龙湖御湖境强大市场号召力及硬核产品力。

这般奇绩,源于龙湖超级的产品力+超前的兑现力,也是征服塔尖的本质与价值。
项目名称:龙湖·御湖境
项目位置:奉贤新城
总套数:364户
产品:小高层&洋房
户型:建面约107㎡、123㎡、140㎡、175㎡
得房率:78%-82%
交付标准:精装&毛坯
均价:45200元/㎡
售价:430万起
梯户比:一梯两户
容积率:2.2
绿化率:35%
车位配比:1:1.3
开发公司:龙湖集团&建华地产
交付日期:2026年12月
01.产品规划
御湖境,地处奉贤芯绝版宅地,占据南奉公路+金海公路黄金十字中轴,距奉贤天街直线仅约 300 米,地铁 5 号线奉贤新城站、奉贤中学、奉贤中心医院等高能级配套如众星捧月环绕。该项目占地23460㎡,总建面51611.16㎡,容积率2.2,绿化率30%,规划330户品质住宅。

02.建筑设计
奉贤御湖境以“馆藏”为概念,重写顶级豪宅会所的表达规则。长约54米、高约8米的「殿堂级门扉」,两侧铺陈“奢石之王”蓝翡翠,磅礴气场扑面而来。举首仰望,约300㎡璀璨星空顶模拟出浩瀚银河的深邃意境。正面是由1286块浅米色瓷筒融合在地非遗“锔瓷”技艺打造的艺术瓷墙。

来到致敬金贝尔美术馆打造的「天穹光廊」,地面由蓝翡翠+汉白玉+温德姆灰3种奢石精细切割拼花而成,长廊尽头景墙精选龙纹绿奢石,中轴对称的庄严格局,仿佛漫步博物馆。

现代极简建筑,米白石材与深灰金属线条相得益彰,窗墙比0.45,部分楼栋更享270°全景视野,颜值与视野双重享受。
项目对标顶奢酒店礼序,项目前瞻性地打造「奉贤首座中央车站」,将社区地库与地下会所的接待序厅无缝衔接,车行道+人行道区隔设计,归家不受风雨影响,指尖轻抚源自非洲的卡里冰玉奢石,将每日必经之路升华为沉浸式美学体验。
深藏于建筑怀抱之中的下沉式「琉璃光院」,是历经数十版方案淬炼出的灵魂之作。御湖境标志性汉白玉玄月族徽,与高10米的蓝水晶奢石光幕,共同演绎“日月同辉”的震撼场景。庭院深处50年乌桕树王矗立。

一汪深邃的「宇宙之心」漩涡水景,灵感源自梵蒂冈博物馆举世闻名的双螺旋楼梯,模仿宇宙星系流转的宏大景象,纳藏天地万物生生不息的力量。
03.会所设计
御湖境斥巨资打造约1500㎡「海派泳池会馆」——泳池会所,涵盖健身、瑜伽、社交、阅读等八大功能空间,如同一座生活的博物馆,为奉贤顶层人物提供全方位奢享!
「奉贤首个无边际恒温泳池」是整个会所的灵魂所在。
泳池设计以“水韵织构”为核心理念,其视觉焦点在于穹顶,连续流畅的曲面拱顶如同被风吹皱的巨大水幕,又似凝固的海浪,与下方波光粼粼的泳池水面形成上下呼应的绝妙韵律,无边泳池又与琉璃光院在视觉上无缝衔接,在乌桕树的冠盖浓荫下恣意游弋,营造出泳池与天地共呼吸的震撼体验。
移步森氧无界全景健身房,顶级健身器械一应俱全。在负氧离子机创造的富氧森林般环境中挥汗如雨,欣赏着全落地窗外琉璃光院的如画景致,身心与视野同频升华,疲惫瞬间消解。
午后时分,邀二三挚友落座行政酒廊。暖阳斜照,在优雅的环境中洽谈要事,或细细品味一杯手冲瑰夏咖啡的精致花果香,或小酌珍藏年份的单一麦芽威士忌,琥珀色的酒液在杯中折射岁月的光芒。
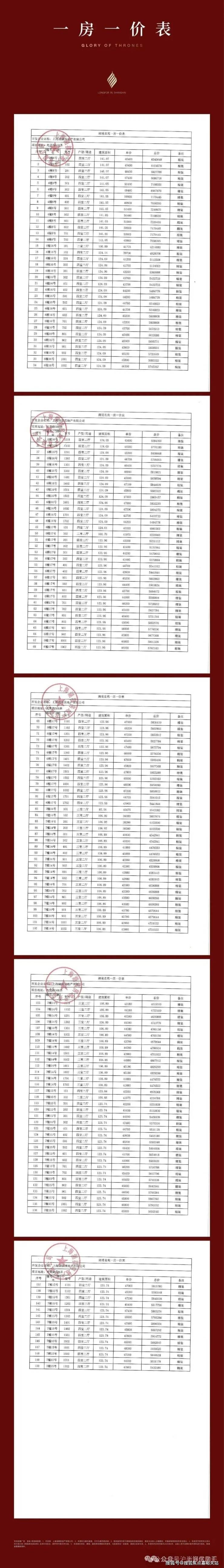
据悉,【龙湖·御湖境】规划2栋7层洋房、5栋14 - 17层小高层 ,共348户 ,居住密度低,舒适度直线拉满。现推出107-123-140-175四种户型,共150套房源,均价54200元/㎡,正在认购中,总价430万起!
龙湖御湖境,精装107㎡大三房,呈现跃级享受的奢华场景,打造PLUS超奢尺度,如约10.8米跃级南向采光,阔享市面120㎡户型的尺度感;约4.75m真横厅,从容聚会、开派对,大有排面,尽情摆阔。越是跃级,越是难求,精装107㎡大三房,只此最后一栋,限量34席!
约 123 ㎡全能四房,致献奉贤塔尖,以全能大四房的形态,重新定义实用主义天花板,约45m²LDKG客餐厨全打通,约6.4m巨幕面宽,一键切换轰趴、闺蜜局、生日宴等模式。奢配博世厨电4件套,烟机、灶具、洗碗机、蒸烤一体机,百年德系经典,经久耐用,妥妥的满分爆款!
城芯 传世孤品175㎡ 大平层,整个奉贤新城 20-25 年供应 4 551 套新房, 1 50 ㎡以上仅 1 50 套,供应占比不足 3% 的,每一席皆稀贵。其一宅一格局,为奉贤大人物量身定制,可谓真正的传世孤品。
交通方面:主出入口与轨交奉贤新城站1号口仅300米步行距离,真正实现“出家门即入站台”的地铁房标准。这里是上海首个三轨交汇的新城片区,分别是5号线、15号线延伸段、南枫线,未来30分钟可直达莘庄、前滩等城市副中心,45分钟贯通虹桥枢纽。
商业方面:项目东西两侧分别与龙湖天街、新世界休闲生活广场无缝衔接,形成“商业双核驱动”格局。其中龙湖天街作为区域旗舰商业体,已引入超200家品牌,从高端餐饮到亲子教育一应俱全。这种“下楼即繁华”的配置,即便放在中环内也属稀缺资源。
教育方面:背靠奉贤顶级学府奉贤中学,奉贤中学附属初中、奉贤中学附属小学、金海幼儿园,幼小初高教育资源环侧
医疗配套:奉贤中心医院、奉贤中医医院、上海交通大学医学院附属新华医院(即将开业)、国际妇幼和平保健院奉贤分院等

龙湖御湖境售楼处电话:4 00-8874-108✔【已认证】⭐⭐⭐⭐⭐
龙湖御湖境营销中心电话:400-88 74-108✔✔【已认证】⭐⭐⭐⭐⭐
上海龙湖御湖境官方售楼处电话:400-8874-10 8 VIPLINE✔✔✔【已认证】⭐⭐⭐⭐⭐
如有问题可来电咨询,线上售楼中心,预约销售专员,一对一为您服务!
想了解龙湖御湖境更多信息?拨打售楼处营销中心热线:400-8874-108 (中介勿扰)【24小时热线】
楼盘项目全面介绍,本电话为开发商提供线上预约售楼电话,楼盘项目全面介绍(包含楼盘简介,均价,房价,现房,期房,别墅,叠墅,大平层,价格,楼盘地址,户型图,交通规划,备案价,备案名,项目配套,样板间,开盘时间,认筹时间,楼盘详情,售楼处电话,最新消息,最新详情,周边配套,一房一价,最新进展等详情咨询)楼盘详情丨价格丨更多优惠丨机不可失丨欢迎致电丨诚邀品鉴!售楼处位置丨特价房丨工抵房丨剩余房源丨户型图丨最新消息丨免责声明:将文章内容综合来源于网络、只作分享,版权归原作者所有!!如有侵权,请联系我们,我们第一时间处理如有问题欢迎来电咨询,专业一对一热情服务,让您用专业眼光去买房.如果您想了解更多楼盘详情,欢迎提前预约拨打
声明:本文由入驻焦点开放平台的作者撰写,除焦点官方账号外,观点仅代表作者本人,不代表焦点立场。
