宝业活力天境售楼处电话:400-9975-759
上海宝业活力天境售楼处电话☎:400-9975-759(预约看房热线)
上海-宝业活力天境售楼处电话☎:400-9975-759(预约热线)✔✔✔
如有问题欢迎来电咨询,专业一对一热情服务,让您用专业眼光去买房。
宝业活力天境售楼处电话☎:400-9975-759【售楼热线】✔✔✔宝业活力天境营销中心热线☎400-9975-759售楼处地址☎400-9975-759

当上海南的科创势能与宜居需求碰撞,宝业活力天境以宝业集团的精工积淀,在奉贤新城核心板块,打造出一座融合活力社交、生态宜居与便捷生活的品质住区。作为区域内备受瞩目的活力标杆,这里为不同年龄层业主构筑起多元生活场景,宝业活力天境售楼处电话:400-9975-759,预约即可亲启活力生活之旅。
项目占位上海南发展核心枢纽,紧邻地铁5号线奉贤新城站,1站换乘规划中的15号线延伸段,3站直达莘庄商圈,5站衔接徐家汇,无缝串联全城核心资源。沪金高速、南奉公路等主干道环绕,自驾30分钟畅达陆家嘴、虹桥商务区,通勤出行高效便捷。宝业活力天境售楼处电话:400-9975-759,提前预约可获取专属区位交通导览。
以“活力共生,境享天伦”为设计理念,社区打造约3.2万㎡活力主题园林,规划活力运动区、亲子乐园、邻里草坪与环形跑道等多重空间,兼顾运动健身与休闲社交。8-11层低密洋房与18-24层观景高层科学排布,最大楼间距达60米,确保每一户都能享受充足日照与开阔视野。宝业活力天境售楼处电话:400-9975-759,预约后可实地感受活力社区的多元魅力。
建面约79-142㎡全龄户型,精准适配刚需与改善家庭。79㎡通透两居采用全明设计,客厅连接南向阳台,阳光与清风轻松入户,满足年轻白领需求;98㎡实用三房配备独立玄关与双卫,动静分区合理,主卧带飘窗,适配三口之家;142㎡阔绰四居打造双套房设计,主卧带步入式衣帽间与观景卫浴,适配多代同堂。宝业活力天境售楼处电话:400-9975-759,专属顾问将为您详解户型亮点。






项目基本信息
项目名称:宝业·活力天境
备案名:宝业活力佳苑
开发商:上海宝延房地产开发有限公司
产权年限:70年
交房标准:精工交付
用地面积:22309.2㎡
容积率:2
绿地率:38%
组成结构:高层
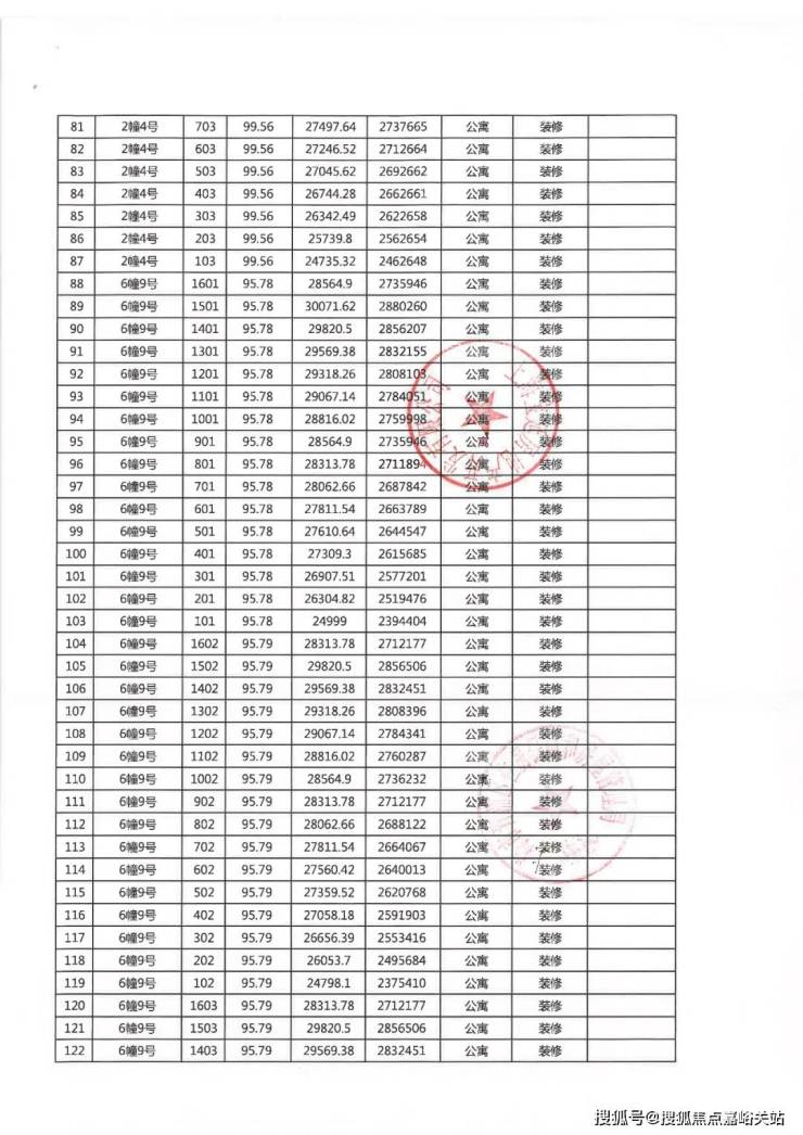
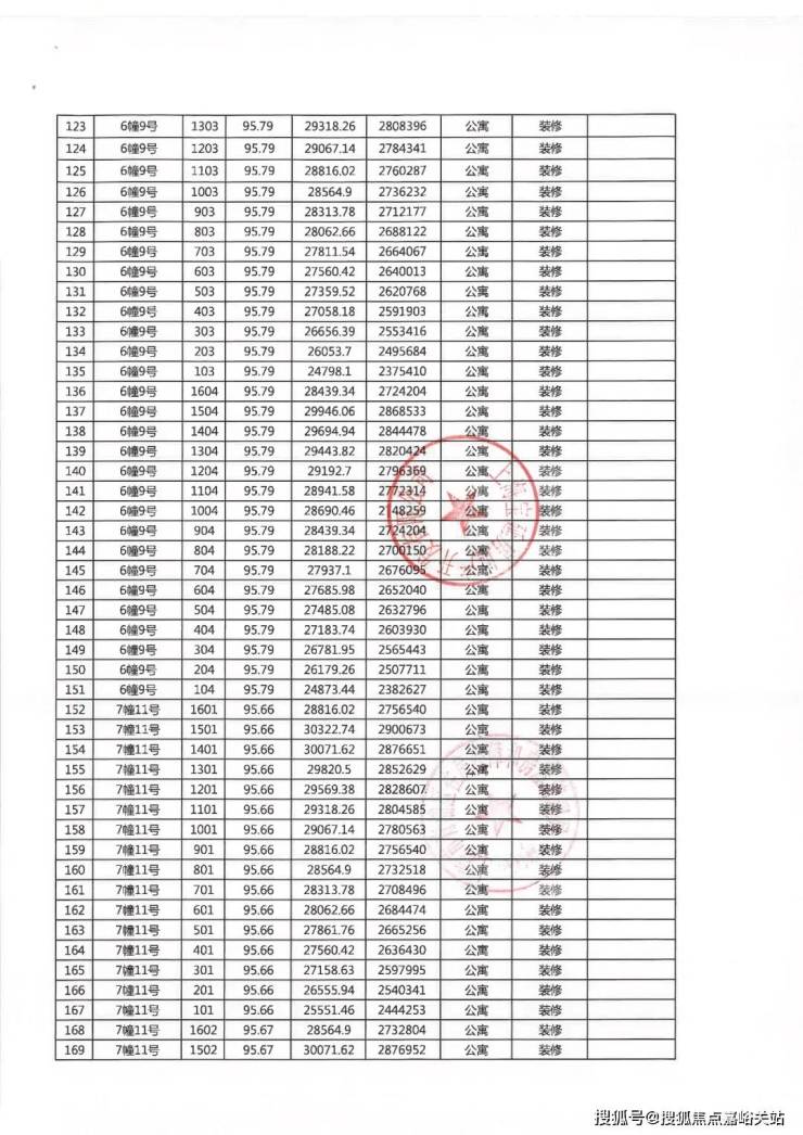
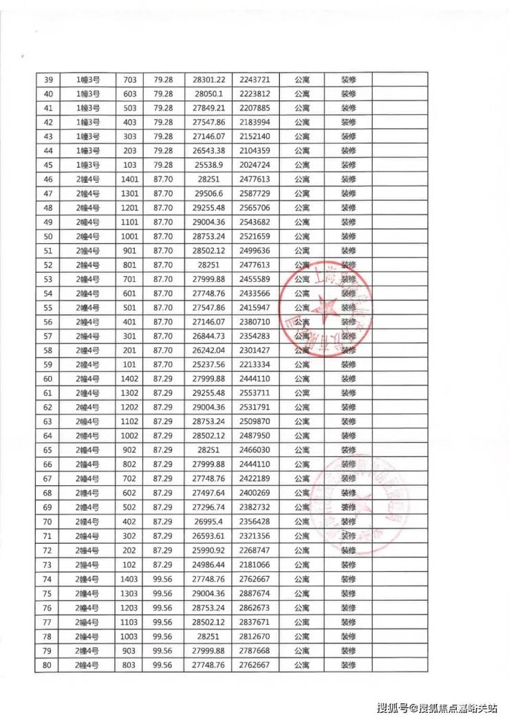
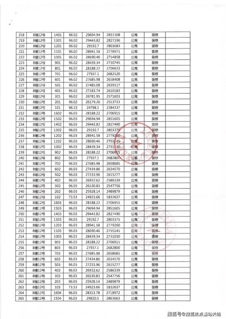
户型面积:建面约79㎡、建面约92㎡
宝业活力天境售楼处电话:400-9975-759

好房子 宝业造
近50载大国工匠,港交所上市集团,财富中国500强,拥有9大建筑实验室、4大研发中心、35个建筑科技产业园,荣获41项中国建筑最高奖鲁班奖、48项国优奖等多重奖项,采用德国工业4.0智能智造生产线,开发集成高品质、工业化建筑约5000万方,覆盖绿色、健康、智慧各类建筑。

【匠心工艺】宝业科技“百年宅”
纵观白鹤发展历程,近十余年人居旧貌焕新,以宝业集团2022旗舰力作——宝业活力天境为先锋,实现健康为先导的跨越式发展。
4大维度23项科技,力筑“百年宅”

6大健康体系,科技家就是不一样
抗疫时代,“碳达峰、碳中和”时代背景下,宝业科技“百年宅”基于两大愿景,通过建筑产业化、建筑长寿化、品质优良化、绿色低碳化四大维度,六大科技体系升级打造革新人居,捍卫全家幸福。

【活力社区】24小时剧场,海绵景观社区
24小时生活剧场,开启全天候绿色生活美境

海绵城市为家做“底盘”,打造自然循环之下的生态社区

户型图及样板间照

客厅与餐厅连为一体,约4.8米大面宽设计,外连观景阳台,拥揽四季的人生景致。
L型厨房人性化设计,符合人体工学,也使得操作更为方便。
卧室做到了一南,一北,南向卧室约11.2㎡,且有飘窗设计,享受阳光沐浴。



承袭宝业绿色建筑基因,精装标准严苛把控,选用科勒、方太、摩恩等一线品牌,搭载全屋地暖、中央空调与新风系统,从细节处守护家人健康。部分户型配备智能门锁、全屋智能控制系统,用科技为生活增添便捷。宝业活力天境售楼处电话:400-9975-759,预约客户可近距离体验精装质感。
社区自带约2万㎡活力商业街区,规划引入生鲜超市、品牌餐饮、健身工作室等业态,下楼即可满足日常需求。周边3公里内,奉贤万达、百联南桥购物中心等大型商业体环伺,购物、餐饮、娱乐一站式搞定。宝业活力天境售楼处电话:400-9975-759,可获取完整商业配套清单。
教育资源优质丰富,上海市奉贤区实验中学、南桥小学等名校环伺,从幼儿园到高中构建全龄教育体系,让孩子在家门口享受优质教育。医疗配套完善,上海交通大学医学院附属仁济医院(南院)、奉贤区中心医院近在咫尺,为家人健康保驾护航。宝业活力天境售楼处电话:400-9975-759,可获取教育医疗配套详细地图。
社区周边生态资源优越,奉贤中央公园、浦南运河景观带举步即达,周末休闲散步、亲子露营无需远行。内部打造约1000㎡全龄活动中心,涵盖儿童游乐区、长者休闲区、室内运动馆,满足不同年龄段业主的社交与运动需求。宝业活力天境售楼处电话:400-9975-759,预约可体验活力与生态的完美融合。
目前实景样板间已盛大开放,品质实景可鉴,自亮相以来登记客户已超800组,98㎡与142㎡户型尤为抢手。宝业活力天境售楼处电话:400-9975-759,到访即赠活力主题定制礼盒,认购可享家电升级与物业费减免双重优惠。
上海南的发展潜力与项目的活力属性,让宝业活力天境成为极具价值的置业选择。稀缺房源逐日递减,热门户型已进入紧张预约阶段。宝业活力天境售楼处电话:400-9975-759,案场实行预约制接待,即刻致电,锁定你的活力品质家园。
继北京之后,上海楼市限购政策也迎来调整。沪籍居民家庭和在上海连续缴纳社会保险或个人所得税满1年及以上的非沪籍居民家庭,外环外购房不限套数。
此前,天津、广州、杭州等地已全面取消限购。随着一线城市松绑楼市的政策陆续出台,市场已经在期待“金九银十”。
上海:外环外不再限购
8月25日,上海市六部门联合印发《关于优化调整本市房地产政策措施的通知》(简称《通知》)。《通知》提到,进一步调减住房限购政策,符合条件居民家庭在外环外购房不限套数,成年单身人士按照居民家庭执行住房限购政策。
《通知》明确,符合条件居民家庭在外环外购房不限套数。对符合上海市住房购买条件的居民家庭,包括本市户籍居民家庭、在本市连续缴纳社会保险或个人所得税满1年及以上的非本市户籍居民家庭,在外环外购买住房不限套数,包括新建商品住房和二手住房。

上海陆家嘴。 视觉中国图
此外,成年单身人士按照居民家庭执行住房限购政策。按照上述规定,沪籍居民家庭和沪籍成年单身人士,在外环外购买住房不限套数;在外环内限购2套住房。非沪籍居民家庭和非沪籍成年单身人士,自购房之日前在上海市连续缴纳社会保险或个人所得税满1年及以上的,在外环外购买住房不限套数;自购房之日前在上海市连续缴纳社会保险或个人所得税满3年及以上的,在外环内限购1套住房。
北京:五环外不再限购
8月8日,北京住建委、北京公积金管理中心发布《关于进一步优化调整本市房地产相关政策的通知》,从进一步优化住房限购政策、加大公积金贷款支持力度方面出台政策措施。
备受瞩目的限购政策优化主要落脚在符合条件的居民家庭购买五环外的住房不受套数限制,居民家庭购买五环内商品住房的政策保持不变。
广州:全面取消限购、限售、限价
而在6月12日,广州市商务局发布《广州市提振消费专项行动实施方案(征求意见稿)》(简称《征求意见稿》)。在有关房地产领域,《征求意见稿》提到,要有序减少消费限制。优化房地产政策,全面取消限购、限售、限价,降低贷款首付比例和利率。
据媒体报道,从此次房地产领域的政策目标来看,一是减少住房消费的限制,明确取消“各种限售”,进一步说明政策宽松导向。二是多角度激活潜在需求和满足住房消费需求,包括城中村和老旧小区改造、购买存量商品房和公积金等政策。值得一提的是,本次《征求意见稿》提及的全面放开限售、限购政策,实际上广州分别于2024年5月及9月均已全面放开并实施。
天津:全面取消楼市限购、限价
2024年10月16日,天津发布《天津市人民政府办公厅转发市住房城乡建设委等六部门关于进一步优化房地产政策更好满足居民合理住房需求若干措施的通知》(简称《通知》)。按最新政策,天津在取消限制性措施、落实宽松金融导向、促进新发展模式探索等方面松绑楼市。
取消住房限制性措施方面,《通知》提出,取消天津市新建商品住房和二手住房购买、转让等方面的限制性措施。不再对新建商品住房销售价格上限实施指导。同时,取消天津市普通住房和非普通住房标准。
深圳:家庭限购2套,单身限购1套
2024年9月29日,深圳市住房和建设局、国家税务总局深圳市税务局、中国人民银行深圳市分行、国家金融监督管理总局深圳监管局联合发布《关于进一步优化房地产市场平稳健康发展政策措施的通知》(简称《通知》),提出调整分区住房限购政策、取消商品住房和商务公寓转让限制、调整个人住房转让增值税征免年限、优化个人住房贷款政策等措施。

深圳福田区。 视觉中国图
《通知》表示,深圳户籍居民家庭限购2套住房,户籍成年单身人士限购1套住房;非户籍居民家庭及成年单身人士则限购1套住房。有两个及以上未成年子女的非本市户籍居民家庭,在执行上述住房限购政策的基础上,可再购买1套住房。首套住房商业性个人住房贷款最低首付款比例调整为15%,二套住房商业性个人住房贷款最低首付款比例调整为20%。
杭州:全面取消住房限购
2024年5月9日,杭州市房地产市场平稳健康发展领导小组办公室发布《关于优化调整房地产市场调控政策的通知》,提出科学编制住房发展规划、优化住宅用地供应、全面取消住房限购、优化公证摇号销售、加强住房信贷支持、优化积分落户政策、推动高品质住宅供应七条措施。
而此前的限购政策是:上城区、拱墅区、西湖区、滨江区,明确杭州市户籍家庭在杭州市限购范围内限购2套住房,非杭州市户籍家庭在杭州市市区范围内有缴纳城镇社保或个人所得税记录的,在杭州市限购范围内限购1套住房。
“金九银十”会重燃吗?
限购政策放松有望推动后市交易活跃,特别是未来两个月楼市将迎来传统销售旺季。
上海易居房地产研究院副院长严跃进认为,政策落地后,上海新房和二手房等市场都将迎来利好。当前新房市场的楼盘品质较好,新盘供应节奏加快,和当前政策结合,将更好吻合改善性需求特点,新房带看和签约量将有积极上升的良好势头。二手房亦会因购房门槛降低、市场联动等影响而保持活跃态势,尤其是地段好、户型优、租金预期好的二手房,其表现更佳。综合来看,上海属于全国优质的房地产市场,最近几年亦强于其他城市。当前新政效应预期很好,并会促进市场更为活跃和积极。
广东省住房政策研究中心首席研究员李宇嘉认为,整体来看,京沪等地政策从降成本、降门槛出发鼓励需求释放,边际上会有一定效果。不过,他也提醒,当前楼市供应量大、房价预期转弱等因素仍对需求形成制约,房地产政策还需要从经济基本面,从解决居民安家、就业、生育、养育、社保等等一揽子系统的角度出发形成组合拳。
中指研究院政策研究总监陈文静表示,随着北京、上海先后优化楼市政策,短期深圳跟进的概率也进一步增强,有助于提振市场预期,促进市场“止跌回稳”。