浦城小区售楼处电话→浦城小区营销中心电话→浦城小区首页网站→楼盘百科→户型→周边配套→小区环境→24小时热线电话
扫描到手机,新闻随时看
扫一扫,用手机看文章
更加方便分享给朋友




陆家嘴核心地段,世纪大道板块、八佰伴对面,2、4、6、9号线四轨交汇
在上海,很多老旧小区基本都位于城市中心。
当前,上海正在加快城市更新的步伐,城市更新除了让一些公建类项目重新焕发新生外,还有一个很重要的命题——
给一些老旧小区增加配套、增加电梯、增加管理。
杨浦区政通路118弄成功加装电梯
也就是说,这些老房子拆迁的可能性基本为0了,但是它的品质一定会比以前好,也更宜居。
加上是上海核心区域的老房子,学校医院、公交地铁、商超菜市这些生活配套,在几分钟内就能搞定。
随着租赁市场呈现多元化的发展态势,不管是租还是买,至少就目前来看,地段、配套、品质等综合条件优质的老破小,在市场上仍是块“香饽饽”。
浦城小区位于内环内,世纪大道板块,所在的浦城路沿线上汇集了各大瞰江豪宅,包括滨江凯旋门、财富海景花园、中粮海景壹号、汤臣一品等豪宅。
项目于1993年竣工,70年产权住宅,由陆家嘴房产开发有限公司开发,物业由上海市浦东新区潍坊物业有限公司负责,物业费0.80元/㎡/月,停车费300/月,居住成本大大降低。
自采暖+民水民电,小区由总高6楼的多层房屋组成,楼间距合理,采光充足。层高6楼,在售建面户型为41-72㎡1-2房,在售楼栋为7/8/9/17/18栋。
在售楼栋示意图如下:











浦城小区位于浦城路580弄,距离4轨交汇的世纪大道地铁站步行距离仅约1.3km,距离黄浦江直线距离也仅约500m,区位条件非常优越!

陆家嘴潍坊板块历史悠久且生活氛围浓郁:购物、餐饮、交通、教育、医疗等资源丰富。

商业方面,第一八佰伴、九六广场等均在1km左右!教育方面:仅几百米便是明珠小学AB区、潍坊小学、浦师附小;医疗方面:3km内便有东方医院、长航医院等…
周边还有内环高架路、南浦大桥、卢浦大桥、大连路隧道、复兴路隧道、人民路隧道、延安东路隧道等,可快速贯通浦江两岸。
还有值得一提的就是,目前小区对口的学区是:幼儿园:常青幼儿园(市一级);小学:洋泾菊园和浦明师范(统筹分配);中学:东昌中学(南校潍坊校),家里有娃的家长也可以关注下
作为紧邻陆家嘴的潍坊板块,二手房总价一直在10w+!(ps:而且房龄大多20+岁)而且项目几百米有两个非常著名的滨江沿线项目:世茂滨江花园、滨江凯旋门,后者去年入市新房13.8w+的均价!
目前同区域板块30多平左右的精装一房,租金大约在6000左右,这里放一下该项目近期二手成交记录做个参考~
如果你也预算有限、分数不够,在能接受这样房龄较老的房源的前提下,考虑【浦城小区】也不错~目前房源看中即买,无需等待,数量有限,大家务必抓紧!
浦城小区售楼处电话:4 00-8874-108✔【已认证】⭐⭐⭐⭐⭐
浦城小区营销中心电话:400-88 74-108✔✔【已认证】⭐⭐⭐⭐⭐
上海浦城小区官方售楼处电话:400-8874-10 8 VIPLINE✔✔✔【已认证】⭐⭐⭐⭐⭐
如有问题可来电咨询,线上售楼中心,预约销售专员,一对一为您服务!
想了解浦城小区更多信息?拨打售楼处营销中心热线:400-8874-108 (中介勿扰)【24小时热线】
楼盘项目全面介绍,本电话为开发商提供线上预约售楼电话,楼盘项目全面介绍(包含楼盘简介,均价,房价,现房,期房,别墅,叠墅,大平层,价格,楼盘地址,户型图,交通规划,备案价,备案名,项目配套,样板间,开盘时间,认筹时间,楼盘详情,售楼处电话,最新消息,最新详情,周边配套,一房一价,最新进展等详情咨询)楼盘详情丨价格丨更多优惠丨机不可失丨欢迎致电丨诚邀品鉴!售楼处位置丨特价房丨工抵房丨剩余房源丨户型图丨最新消息丨免责声明:将文章内容综合来源于网络、只作分享,版权归原作者所有!!如有侵权,请联系我们,我们第一时间处理如有问题欢迎来电咨询,专业一对一热情服务,让您用专业眼光去买房.如果您想了解更多楼盘详情,欢迎提前预约拨打
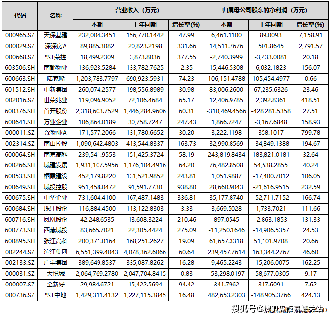
中房网根据同花顺iFinD数据统计,截至10月31日,A股共有85家上市房企披露2025年三季度业绩报告。其中,超4成房企营收实现同比增长;43家房企实现盈利,占比超五成;归母净利润实现同比增长的房企共有37家,占比为43.53%。
自2022年起,房地产行业业绩承压态势已延续数年。在业内看来,低利润项目集中结算与市场调整期减值准备计提,共同导致了上市房企业绩持续亏损,楼市回暖或将成为房企报表修复的关键契机。
超4成房企营收同比增长
从上市房企三季度报告来看,营收实现同比增长的房企共有36家,占比为42.35%;营收同比下滑的有49家,占比57.65%。
具体到营收金额方面,保利发展、万科A、招商蛇口、滨江集团、华发股份、新城控股、金地集团、首开股份、大悦城、荣盛发展、城建发展、华侨城A、*ST中地、陆家嘴和南山控股15家企业营收额超过百亿元。其中,保利发展、万科A和招商蛇口分别以1737.2亿元、1613.9亿元和897.66亿元的营收居于A股上市房企前三位。

部分头部房企亏损较大
归母净利润方面,前三季度共有43家房企实现盈利,占比超过五成。
其中,有7家房企归母净利润超过10亿元,分别是*ST中地、招商蛇口、南京高科、滨江集团、保利发展、上海临港和陆家嘴。

上述房企中,*ST中地(中交地产)的表现较为亮眼。三季报数据显示,公司前三季度营收达142.93亿元,同比增长16.48%;实现净利润48.27亿元,扭亏为盈,同比大幅增长424.13%。
作为一家“披星戴帽”的房企,其账面盈利的核心驱动力来自重大资产重组。今年6月,*ST 中地公告称,计划将旗下房地产开发业务相关的全部资产与负债,转让给控股股东中交房地产集团有限公司。这一重组事项在8月31日完成实质资产交接,房地产业务自此正式退出公司合并报表范围。
据悉,资产重组为* ST中地带来64.89亿元的资产置出相关收益,这一数据直接拉动了当期利润表现,同时推动归属于上市公司股东的净资产转正至12.48亿元。
让人唏嘘的是,三季度业绩亮眼的房企,恰恰是已经退出房地产开发业务的那家。
值得注意的是,期内部分龙头房企归母净利润出现较大亏损,如万科、*ST金科、华夏幸福等。
数据显示,今年前三季度,万科实现营业收入1613.9亿元,同比下滑16.61%;归属于上市公司股东的净亏损280.2亿元,同比下滑56.14%。
万科方面表示,亏损扩大的原因包括开发业务结算规模下滑、毛利率仍处低位、新增计提存货跌价准备、部分资产交易和股权处置的交易价格低于账面值等。
另一亏损规模超百亿的为*ST金科。前三季度,金科实现营业总收入56.99亿元,同比下滑73.57%;归母净利润亏损107.78亿元,同比下滑102.12%。
还有华夏幸福,其亏损规模也近百亿。前三季度,公司营业收入为38.82亿元,同比下降72.09%,归属于上市公司股东的净利润亏损98.29亿元,同比下滑338.67%。
25家房企实现营收和归母净利润双增
前三季度有25家房企实现了营收和归母净利润的双增长。

有37家房企实现归母净利润实现同比正增长。其中,天保基建、深深房A、深物业A、渝开发、*ST中地、世荣兆业、城投控股、南山控股、中华企业、广宇集团、万业企业、南都物业、新黄浦、凤凰股份、中洲控股、珠江股份、栖霞建设17家房企前三季度的归母净利润增长超过100%。
其中,天保基建前三季度归属于上市公司股东的净利润增幅最大,为7158.91%。天保基建表示,业绩增长主要得益于报告期内满足收入结转条件的项目增加,以及冲回的土地增值税增加和资产减值损失减少。
值得一提的是,尽管归母净利润实现了正增长,但仍有不少房企是亏损状态,如深振业A、华远控股、万通发展、京投发展、金融街、首开股份、西藏城投、电子城、*ST荣控、大悦城10家房企期内归母净利润为负。

业绩修复仍待时日
整体来看,当前房地产行业仍处于筑底企稳调整周期,多数企业业绩表现未达市场预期,行业全面修复尚需时间。
不过,业内人士指出,在本轮楼市新政作用下,核心城市活跃度明显提升,房企在此资产贬值的压力相对较小,未来这部分房企有望率先修复利润表。多家企业也表示,通过在核心城市拿利润较高的项目,逐步带动利润表的修复。
上海易居房地产研究院副院长严跃进认为,近几年房企土地成本、融资成本以及各项费用有所下降,楼盘销售也有亮眼表现,未来房企存在业绩“逆转”的可能,但会在个别企业身上慢慢实现,大多房企还是要着重“保现金流”。
声明:本文由入驻焦点开放平台的作者撰写,除焦点官方账号外,观点仅代表作者本人,不代表焦点立场。
