虹盛里(售楼处) 首页 - 虹盛里销售中心热线 - 环境 - 户型价格 - 地址 - 楼盘详情 - 配套 - 售楼处电话 - 交房时间 - 配套 - 电话 - 交房时间
扫描到手机,新闻随时看
扫一扫,用手机看文章
更加方便分享给朋友



今年一年,虹口地价接连跳涨。6批次虹口出让的地块,溢价率高达46%,楼板价12.65万/㎡,按照行业内的预估,这块地未来售价可达19-20万!

再看新房,上海中环旁在售楼盘,价格已普遍站上新高。但到人民广场的距离却更远了!例如位于上海南部、浦东三林板块的项目,距人民广场直线距离约10公里,价格却要12万+/㎡,还有位于上海西面的北新泾项目、上海东面的北蔡项目等等。

数据源于网络
这样的市场意味着三点:
1、精明的开发商们无限看好虹口的未来,它无疑是浦西七区中更具潜力和价值的存在。
2、全市新房价格大涨价之下,虹口接下来的新房门槛,起步价大约要2000万级了。
3、作为中环内项目,如此靠近市中心的【虹盛里】,在经历过产品焕新之后,价格却非常惊喜!
更为难能可贵的是,现房确定性:所见即所得的置业“定心丸”
期房的漫长等待、成本叠加与品质未知,让购房者倍感焦虑。而【虹盛里】一期、二期已交房,购房者可实地探访社区实景,亲身感受建筑质感与居住氛围,彻底告别“纸上谈兵”。
2021年11月9日,城投集团旗下的城投控股与虹口区人民政府共同签订了万安路地块国有建设用地使用权出让协议。以总价人民币44.2亿元获得使用权。

虹口区江湾镇街道HK0031A-14、HK0031-12、HK0012A-08号地块(旧改项目)。


「城投万安路项目」共分为两期,包含七个小地块!

城投的方案将7个独立的地块和滨水空间相结合,通过对商业、绿化、广场界面的有机穿插、整合,使原来相对碎片化的地块,织补成为一个与景观河道交相辉映、有节奏的公共长廊,和谐统筹滨水区公共空间与新建建筑,提升走马塘滨水区域的整体环境品质。
同时,为确保周边居民能享受更好的公共配套,城投控股在设计中对周边道路市容全要素品质进行了提升,包括街道美化、架空线入地、河道绿化改造等。在街区重构中,结合架空层、街道开放界面、社区围合空间,打造共享互动的社区交流场所,营造有温度、和谐的邻里氛围,延续江湾居民的烟火气息。
若干年后这一带不管是生活环境、街区质感还是住宅品质都会迎来翻天覆地的变化。7幅地块的总地上计容面积超过8.3万平方米,包含了住宅套数超过620套,户型面积不大,产品类型却包罗万象,包含高层公寓、6层8层的洋房产品以及2-3层的合院及联排别墅,沿着走马塘一字排开,独有韵味。
项目一直都很低调,为大家挖来了一些项目效果图,提醒大家:以下只是过程设计方案里的效果图,仅供参考!

从图上来看外立面应该是铝板+大面积玻璃组成的,建筑顶部采用了市面上少见的弧形塔冠装饰,视觉效果比较丰富。


部分地块的一层带有架空层,规划有一些儿童活动设施、会客交流、健身设施等功能,可以满足不同年龄段业主不出小区即可活动、社交。

一期备案名:江岸嘉苑,由于项目是组合产品,物业费6.6-10.5元不等。
二期备案名:江境雅苑,由于项目也是组合产品,物业费7.4-12.2元不等。



A地块的容积率最低,只有1.35,共有71套房源,由13套别墅和58套洋房组成,联排面积为196平,有独立的入户花园和地下附赠空间。洋房面积约97-198㎡。
虹盛里周边没有高楼的压抑感,更多的是与自然无缝连接,让生活回归自然,期待值MAX!此外,“硬核产品力”更是稳赢起跑线!
上海楼市已步入高质量发展新阶段,品质改善的置业需求也被激活释放。大面积优质产品无疑是当下新房市场中的“香饽饽”。
建面约83-184㎡瞰景高层,约98-199㎡海派洋房、约197㎡江南联排,虹盛里带来3种不同的物业形态,给置业者提供了多种未来生活方式的畅想,也能够给片区改善客群带来“新期待”。
虹盛里售楼处电话:4 00-8874-108✔【已认证】⭐⭐⭐⭐⭐
虹盛里营销中心电话:400-88 74-108✔✔【已认证】⭐⭐⭐⭐⭐
上海虹盛里官方售楼处电话:400-8874-10 8 VIPLINE✔✔✔【已认证】⭐⭐⭐⭐⭐
如有问题可来电咨询,线上售楼中心,预约销售专员,一对一为您服务!
想了解虹盛里更多信息?拨打售楼处营销中心热线:400-8874-108 (中介勿扰)【24小时热线】
楼盘项目全面介绍,本电话为开发商提供线上预约售楼电话,楼盘项目全面介绍(包含楼盘简介,均价,房价,现房,期房,别墅,叠墅,大平层,价格,楼盘地址,户型图,交通规划,备案价,备案名,项目配套,样板间,开盘时间,认筹时间,楼盘详情,售楼处电话,最新消息,最新详情,周边配套,一房一价,最新进展等详情咨询)楼盘详情丨价格丨更多优惠丨机不可失丨欢迎致电丨诚邀品鉴!售楼处位置丨特价房丨工抵房丨剩余房源丨户型图丨最新消息丨免责声明:将文章内容综合来源于网络、只作分享,版权归原作者所有!!如有侵权,请联系我们,我们第一时间处理如有问题欢迎来电咨询,专业一对一热情服务,让您用专业眼光去买房.如果您想了解更多楼盘详情,欢迎提前预约拨打
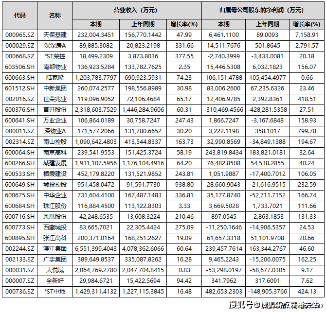
中房网根据同花顺iFinD数据统计,截至10月31日,A股共有85家上市房企披露2025年三季度业绩报告。其中,超4成房企营收实现同比增长;43家房企实现盈利,占比超五成;归母净利润实现同比增长的房企共有37家,占比为43.53%。
自2022年起,房地产行业业绩承压态势已延续数年。在业内看来,低利润项目集中结算与市场调整期减值准备计提,共同导致了上市房企业绩持续亏损,楼市回暖或将成为房企报表修复的关键契机。
超4成房企营收同比增长
从上市房企三季度报告来看,营收实现同比增长的房企共有36家,占比为42.35%;营收同比下滑的有49家,占比57.65%。
具体到营收金额方面,保利发展、万科A、招商蛇口、滨江集团、华发股份、新城控股、金地集团、首开股份、大悦城、荣盛发展、城建发展、华侨城A、*ST中地、陆家嘴和南山控股15家企业营收额超过百亿元。其中,保利发展、万科A和招商蛇口分别以1737.2亿元、1613.9亿元和897.66亿元的营收居于A股上市房企前三位。

部分头部房企亏损较大
归母净利润方面,前三季度共有43家房企实现盈利,占比超过五成。
其中,有7家房企归母净利润超过10亿元,分别是*ST中地、招商蛇口、南京高科、滨江集团、保利发展、上海临港和陆家嘴。

上述房企中,*ST中地(中交地产)的表现较为亮眼。三季报数据显示,公司前三季度营收达142.93亿元,同比增长16.48%;实现净利润48.27亿元,扭亏为盈,同比大幅增长424.13%。
作为一家“披星戴帽”的房企,其账面盈利的核心驱动力来自重大资产重组。今年6月,*ST 中地公告称,计划将旗下房地产开发业务相关的全部资产与负债,转让给控股股东中交房地产集团有限公司。这一重组事项在8月31日完成实质资产交接,房地产业务自此正式退出公司合并报表范围。
据悉,资产重组为* ST中地带来64.89亿元的资产置出相关收益,这一数据直接拉动了当期利润表现,同时推动归属于上市公司股东的净资产转正至12.48亿元。
让人唏嘘的是,三季度业绩亮眼的房企,恰恰是已经退出房地产开发业务的那家。
值得注意的是,期内部分龙头房企归母净利润出现较大亏损,如万科、*ST金科、华夏幸福等。
数据显示,今年前三季度,万科实现营业收入1613.9亿元,同比下滑16.61%;归属于上市公司股东的净亏损280.2亿元,同比下滑56.14%。
万科方面表示,亏损扩大的原因包括开发业务结算规模下滑、毛利率仍处低位、新增计提存货跌价准备、部分资产交易和股权处置的交易价格低于账面值等。
另一亏损规模超百亿的为*ST金科。前三季度,金科实现营业总收入56.99亿元,同比下滑73.57%;归母净利润亏损107.78亿元,同比下滑102.12%。
还有华夏幸福,其亏损规模也近百亿。前三季度,公司营业收入为38.82亿元,同比下降72.09%,归属于上市公司股东的净利润亏损98.29亿元,同比下滑338.67%。
25家房企实现营收和归母净利润双增
前三季度有25家房企实现了营收和归母净利润的双增长。

有37家房企实现归母净利润实现同比正增长。其中,天保基建、深深房A、深物业A、渝开发、*ST中地、世荣兆业、城投控股、南山控股、中华企业、广宇集团、万业企业、南都物业、新黄浦、凤凰股份、中洲控股、珠江股份、栖霞建设17家房企前三季度的归母净利润增长超过100%。
其中,天保基建前三季度归属于上市公司股东的净利润增幅最大,为7158.91%。天保基建表示,业绩增长主要得益于报告期内满足收入结转条件的项目增加,以及冲回的土地增值税增加和资产减值损失减少。
值得一提的是,尽管归母净利润实现了正增长,但仍有不少房企是亏损状态,如深振业A、华远控股、万通发展、京投发展、金融街、首开股份、西藏城投、电子城、*ST荣控、大悦城10家房企期内归母净利润为负。

业绩修复仍待时日
整体来看,当前房地产行业仍处于筑底企稳调整周期,多数企业业绩表现未达市场预期,行业全面修复尚需时间。
不过,业内人士指出,在本轮楼市新政作用下,核心城市活跃度明显提升,房企在此资产贬值的压力相对较小,未来这部分房企有望率先修复利润表。多家企业也表示,通过在核心城市拿利润较高的项目,逐步带动利润表的修复。
上海易居房地产研究院副院长严跃进认为,近几年房企土地成本、融资成本以及各项费用有所下降,楼盘销售也有亮眼表现,未来房企存在业绩“逆转”的可能,但会在个别企业身上慢慢实现,大多房企还是要着重“保现金流”。
声明:本文由入驻焦点开放平台的作者撰写,除焦点官方账号外,观点仅代表作者本人,不代表焦点立场。
