力波中心售楼处电话:4 00-8874-108✔【已认证】⭐⭐⭐⭐⭐ 力波中心营销中心电话:400-88 74-108✔✔【已认证】⭐⭐⭐⭐⭐
上海力波中心官方售楼处电话:400-8874-10 8 VIPLINE✔✔✔【已认证】⭐⭐⭐⭐⭐
——力波中心——
力波中心售楼处电话:400-88 74-108✔【最新预约】⭐⭐⭐⭐⭐
力波中心营销中心电话:400-8874-10 8✔✔【最新认证】⭐⭐⭐⭐⭐
上海力波中心官方售楼处电话:400-8874-1 08 VIPLINE✔✔✔【最新发布】⭐⭐⭐⭐⭐
如有问题可来电咨询,线上售楼中心,预约销售专员,一对一为您服务!
想了解力波中心更多信息?拨打售楼处营销中心热线:400-8874-108 (中介勿扰)【24小时热线】




今天主要介绍的商办可售产品都是1000~2000平通燃气小独栋。
之前我们曾经详细介绍了总价只要3000多万就能买到的大零号湾国盛健康云城C65研发小独栋,单价仅1字打头的海联智谷104地块产业小独栋,中环边城开梅陇里一楼二楼自带商业属性的5000万出头可重餐饮的商办独栋,那么本篇我们来介绍一下闵行区梅陇板块另一个商办综合体项目——总规划建筑面积约30万㎡的力波中心。

【项目概况】
力波中心位于上海徐家汇西南方向约7、8公里处的闵行梅陇板块,靠近南方商城,所在位置原本是上海力波啤酒厂,距离1号线的莲花路站约1000米,规划中的22号线龙里路站600米。从项目出发,可直接上中环高架,虹梅高架,沪闵高架,嘉闵高架,车行至上海南站仅需9分钟,到虹桥高铁机场约25分钟,到浦东机场约40分钟。
力波中心由深圳城投集团打造,总建筑面积约30万㎡,集21栋企业总部独栋(43651.97㎡),2栋5A甲级办公(约7.3万㎡),3栋只租不售的高端白领公寓(约4.3万㎡),以及约1.1万㎡的BLOCK街区,2.5万㎡的MINI MALL商业配套组成。在项目的西面,保留了由力波啤酒厂老厂房改造而来的文化创意产业园,而项目东面,则是约3万㎡的力波公园绿地。
目前在售的是21栋企业总部通燃气花园小独栋,单栋面积1624~3080㎡,目前已经出售了一半左右,尚有12栋待售;
除了在售小独栋,还有到东塔西塔两栋高标准的甲级办公可出租,标准层约1000~2500㎡,单套172~507㎡,业主方可提供定制装修,24小时独立空调可自行控制,也是备受需要加班的企业欢迎。

【租售面积详情】
独栋均价:5.3~5.8万/㎡(9000万起)
独栋面积:约1600~3500㎡
独栋总高:地上4层,地下2层
净 层 高:大堂9米,地下一层5.8米
标准层层高:4.5米
标准层面积:280~600㎡
地下室面积:300~760㎡
产证4本:1层和地下1层一本,2~4楼每层一本
优势价值:
1、独栋海派外立面设计,尊享独栋冠名权,中环千万级流量
2、通燃气,预留了油烟管道餐饮配套,可做企业会所
3、电梯直达屋顶生态花园,绿色生态办公配以阳光露台
4、标准层独立产证(一栋4本产证)
5、大堂挑高9米,地下室5.8米高空间感十足
6、地下室配双采光井,下沉庭院,可充分利用

标办租金:3.5~4元/㎡·天
租赁面积:174~2500㎡
东塔面积:约46000㎡(出租
西塔面积:约27000㎡(出售)
物业费:25元/㎡
车位费:600~1200元/月
空调配套:24小时VRV独立控制
层高:大堂约11米,标准层约4.2~4.5米
交付标准:标准交付或定制装修可谈
其他优势:每层有3套自带上下水点位
地铁交通:1号线莲花路站约1000米
商务配套:人才公寓,行政公寓,商业街美食餐饮,120人公共路演厅,早晚高峰接驳车至地铁1号线莲花路站
【实景图】














力波中心售楼处电话:4 00-8874-108✔【已认证】⭐⭐⭐⭐⭐
力波中心营销中心电话:400-88 74-108✔✔【已认证】⭐⭐⭐⭐⭐
上海力波中心官方售楼处电话:400-8874-10 8 VIPLINE✔✔✔【已认证】⭐⭐⭐⭐⭐
如有问题可来电咨询,线上售楼中心,预约销售专员,一对一为您服务!
想了解力波中心更多信息?拨打售楼处营销中心热线:400-8874-108 (中介勿扰)【24小时热线】
楼盘项目全面介绍,本电话为开发商提供线上预约售楼电话,楼盘项目全面介绍(包含楼盘简介,均价,房价,现房,期房,别墅,叠墅,大平层,价格,楼盘地址,户型图,交通规划,备案价,备案名,项目配套,样板间,开盘时间,认筹时间,楼盘详情,售楼处电话,最新消息,最新详情,周边配套,一房一价,最新进展等详情咨询)楼盘详情丨价格丨更多优惠丨机不可失丨欢迎致电丨诚邀品鉴!售楼处位置丨特价房丨工抵房丨剩余房源丨户型图丨最新消息丨免责声明:将文章内容综合来源于网络、只作分享,版权归原作者所有!!如有侵权,请联系我们,我们第一时间处理如有问题欢迎来电咨询,专业一对一热情服务,让您用专业眼光去买房.如果您想了解更多楼盘详情,欢迎提前预约拨打
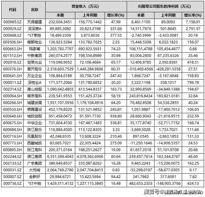
中房网根据同花顺iFinD数据统计,截至10月31日,A股共有85家上市房企披露2025年三季度业绩报告。其中,超4成房企营收实现同比增长;43家房企实现盈利,占比超五成;归母净利润实现同比增长的房企共有37家,占比为43.53%。
自2022年起,房地产行业业绩承压态势已延续数年。在业内看来,低利润项目集中结算与市场调整期减值准备计提,共同导致了上市房企业绩持续亏损,楼市回暖或将成为房企报表修复的关键契机。
超4成房企营收同比增长
从上市房企三季度报告来看,营收实现同比增长的房企共有36家,占比为42.35%;营收同比下滑的有49家,占比57.65%。
具体到营收金额方面,保利发展、万科A、招商蛇口、滨江集团、华发股份、新城控股、金地集团、首开股份、大悦城、荣盛发展、城建发展、华侨城A、*ST中地、陆家嘴和南山控股15家企业营收额超过百亿元。其中,保利发展、万科A和招商蛇口分别以1737.2亿元、1613.9亿元和897.66亿元的营收居于A股上市房企前三位。

部分头部房企亏损较大
归母净利润方面,前三季度共有43家房企实现盈利,占比超过五成。
其中,有7家房企归母净利润超过10亿元,分别是*ST中地、招商蛇口、南京高科、滨江集团、保利发展、上海临港和陆家嘴。

上述房企中,*ST中地(中交地产)的表现较为亮眼。三季报数据显示,公司前三季度营收达142.93亿元,同比增长16.48%;实现净利润48.27亿元,扭亏为盈,同比大幅增长424.13%。
作为一家“披星戴帽”的房企,其账面盈利的核心驱动力来自重大资产重组。今年6月,*ST 中地公告称,计划将旗下房地产开发业务相关的全部资产与负债,转让给控股股东中交房地产集团有限公司。这一重组事项在8月31日完成实质资产交接,房地产业务自此正式退出公司合并报表范围。
据悉,资产重组为* ST中地带来64.89亿元的资产置出相关收益,这一数据直接拉动了当期利润表现,同时推动归属于上市公司股东的净资产转正至12.48亿元。
让人唏嘘的是,三季度业绩亮眼的房企,恰恰是已经退出房地产开发业务的那家。
值得注意的是,期内部分龙头房企归母净利润出现较大亏损,如万科、*ST金科、华夏幸福等。
数据显示,今年前三季度,万科实现营业收入1613.9亿元,同比下滑16.61%;归属于上市公司股东的净亏损280.2亿元,同比下滑56.14%。
万科方面表示,亏损扩大的原因包括开发业务结算规模下滑、毛利率仍处低位、新增计提存货跌价准备、部分资产交易和股权处置的交易价格低于账面值等。
另一亏损规模超百亿的为*ST金科。前三季度,金科实现营业总收入56.99亿元,同比下滑73.57%;归母净利润亏损107.78亿元,同比下滑102.12%。
还有华夏幸福,其亏损规模也近百亿。前三季度,公司营业收入为38.82亿元,同比下降72.09%,归属于上市公司股东的净利润亏损98.29亿元,同比下滑338.67%。
25家房企实现营收和归母净利润双增
前三季度有25家房企实现了营收和归母净利润的双增长。

有37家房企实现归母净利润实现同比正增长。其中,天保基建、深深房A、深物业A、渝开发、*ST中地、世荣兆业、城投控股、南山控股、中华企业、广宇集团、万业企业、南都物业、新黄浦、凤凰股份、中洲控股、珠江股份、栖霞建设17家房企前三季度的归母净利润增长超过100%。
其中,天保基建前三季度归属于上市公司股东的净利润增幅最大,为7158.91%。天保基建表示,业绩增长主要得益于报告期内满足收入结转条件的项目增加,以及冲回的土地增值税增加和资产减值损失减少。
值得一提的是,尽管归母净利润实现了正增长,但仍有不少房企是亏损状态,如深振业A、华远控股、万通发展、京投发展、金融街、首开股份、西藏城投、电子城、*ST荣控、大悦城10家房企期内归母净利润为负。

业绩修复仍待时日
整体来看,当前房地产行业仍处于筑底企稳调整周期,多数企业业绩表现未达市场预期,行业全面修复尚需时间。
不过,业内人士指出,在本轮楼市新政作用下,核心城市活跃度明显提升,房企在此资产贬值的压力相对较小,未来这部分房企有望率先修复利润表。多家企业也表示,通过在核心城市拿利润较高的项目,逐步带动利润表的修复。
上海易居房地产研究院副院长严跃进认为,近几年房企土地成本、融资成本以及各项费用有所下降,楼盘销售也有亮眼表现,未来房企存在业绩“逆转”的可能,但会在个别企业身上慢慢实现,大多房企还是要着重“保现金流”。