✅静安玺樾售楼处电话:400-9975-759✅✅
静安玺樾售楼处电话:400-9975-759✅︎✅︎
静安玺樾营销中心热线4009975759(官方预约热线)
静安玺樾 售楼处电话最新发布:400-9975-759售楼处电话:4009975759【 静安玺樾 售楼处预约热线】欢迎致电售楼处电话:售楼处地址:400-9975-759
「静安玺樾」正在认购中 线上预约享团购优惠
售楼处线上预约中,静安玺樾24小时vip热线☎:400-9975-759
在城市发展的浪潮中, 静安玺樾开发商电话☎:400-9975-759✔✔✔【预约☎】 人们对家的期许从未停歇——既渴望执掌繁华的便捷,也眷恋自然静谧的惬意,更追求品质生活的温度。
静安玺樾深谙人居本质,以匠心笔触勾勒生活蓝图,将地段优势、产品修为、社区温度与全能配套融为一体,为城市精英打造可遇不可求的理想生活主场。

静安玺樾售楼处电话:400-9975-759✔【已认证】
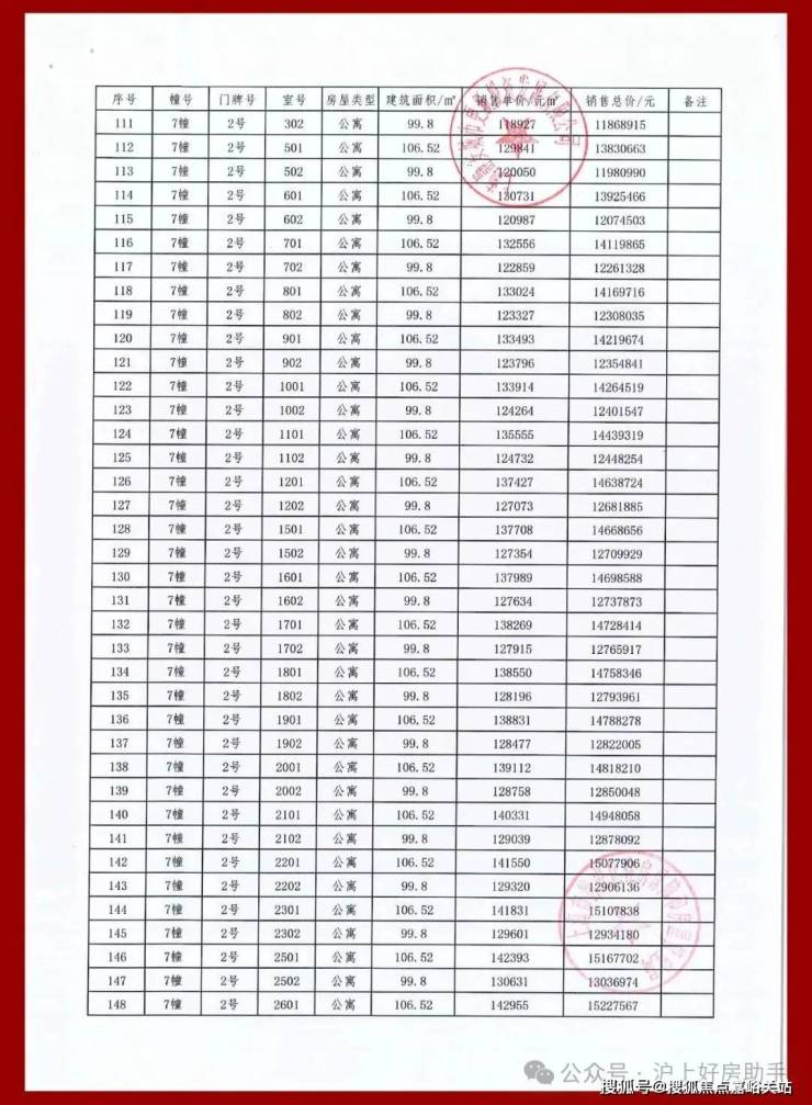
静安玺樾三期一房一价表▼





静安玺樾售楼处电话:400-9975-759✔【已认证】
最新消息: 静安玺樾三期 加推2号楼的18单元和20单元、7号楼的2单元,主力户型包括建面约98-107㎡2-3房,3房总价约千万级起!


静安玺樾营销中心热线✅✅ 400-9975-759✅✅ 静安玺樾售楼处地址|预约热线:400-9975-759✅✅ 本电话为开发商提供线上售楼电话
从一纸蓝图到实景呈现,从空间营造到生活赋能, 静安玺樾售楼处电话:4009975759,静安玺樾始终以人居需求为导向,将每一份对生活的热爱融入项目建设的点滴之中。在这里,繁华与静谧随心切换,品质与温度完美交融,教育与医疗无需远行。 静安玺樾售楼处电话:4009975759,无论是奋斗中的年轻人、成长中的三口之家,还是追求品质的改善家庭,都能在这方天地间找到属于自己的幸福生活。
理想生活,触手可及。静安玺樾营销中心现已盛大开放,实景样板间恭迎亲鉴。诚邀怀揣生活梦想的你,亲临现场,解锁理想人居的更多可能,让家的美好,在此绽放。
预约方式:拨打 静安玺樾售楼处电话400-9975-759☑️☑️,或通过官方微信公众号在线预约。
预约信息:需提供姓名、联系方式、预计到访人数及到访时间。
预约福利:成功预约后,到访可领取精美伴手礼一份,并有专属置业顾问全程陪同讲解。拨打 静安玺樾售楼处电话400-9975-759☑️☑️
注意事项:为保证接待质量,每日预约名额有限,请提前 1 天进行预约;到访时请携带有效身份证件。
现在,诚邀您预约 静安玺樾售楼处,亲身感受科技与生活的完美融合,开启智慧品质生活新体验

项目社区景观效果示意图,仅供参考,以实际交付为准
7号楼2单元:可远眺三件套、中兴公园,楼下还有中心景观。

项目基本信息
开发商: 上海市静安城市更新投资发展有限公司
板块: 静安内环内•国际中兴城板块
在售面积: 94㎡/98㎡/100㎡2房2厅2卫
103㎡/104㎡/122㎡/134㎡3房2厅2卫
165㎡4房2厅3卫
总价: 945-2354万
均价: 125000元/㎡
总体量: 926套
总层数: 17层、19层、33层
层高: 3-3.1m
交房时间: 2026年6月
物业公司: 上海万科物业服务有限公司(一级资质)
物业费: 9.8元/m/月
在售楼栋: 1号/2号/4号/5号/7号,3号/6号 待加推(预计10月底)
总用地面积: 31352.4㎡
总建筑面积: 152702.85㎡
住宅建筑面积: 91316.33㎡
得房率: 75-79%
容积率: 3.05
绿化率: 35.25%
车位总数: 1150个

【静安玺樾】 是位于上海市静安区中兴城社区内的典型城市更新项目,是继佘山玺樾后,又一top系力作,代表着北方集团在静安内环标杆项目,以好的产品力,高标准的实力呈现。

里面/地库/园林/样板间正式公开
众所周知,示范区是整个项目未来品质的超前剧透,它究竟为你带来了怎样的惊喜呢?它没有去考验业主的想象力,而是把生活场景、规划的蓝图提前搬到了面前,不惜成本给业主优先带来了一波产体验。
据悉这一次开放,整个项目的立面、地库、园林、样板间将全部亮相此次示范区。这意味着窥其一二,全貌都可 “一览无余”。
【静安玺樾】 沉淀北方集团近20载城市更新修为,从雅、境、奢、艺四相出发 ,构筑品级、建筑、公区、用材、精装、景观、户型、服务、配套、层等12大维度标准, 打造上海心上的矜贵珍藏。

效果图
海派立面 看到品质的具象化
作为项目面向未来的建筑表情,静安玺樾从在地化角度思考,与静安气质保持一致,以海派风格为主,采用石材,铺以横向铝板线条,通过对材质细部的精细化设计,真实还原海派立面的摩登风格,很具识别度。

静安玺樾售楼处电话:400-9975-759☑️☑️当多数科技住宅还在比拼智能功能数量时,华发时代之城已让建筑化身「懂生活的智慧伙伴」——智能温控系统依据人体体感 自动调节室内温度,净水系统搭载四重过 滤技术(可直接饮用),就连门窗都采用三层中空 Low-E 玻璃(隔热保温性能远超行业标准)。这里的傍晚 从灯光随室外光线柔和亮起开始,雨天阳台灯会在检测到雨滴时自动开启 —— 这种「让科技融入日常的贴心」,正通过静安玺樾 售楼处话:400-9975-759☑️☑️等探寻,现在拨打可获取「智慧家居手册」,揭秘 186个暖心的科技设计。
静安玺樾售楼处电话☎️400-9975-759【售楼中心】【已认证】
静安玺樾营销中心电话☎️400-9975-759【营销中心】【已认证】
静安玺樾开发商电话☎️400-9975-759【开发商】【已认证】
如有问题欢迎来电咨询,预约来电尊享购房优惠,可预约案场内部销售人员,专业一对一热情服务,让您用专业眼光去买房。 进园后,从入口的奢石、到内部的水景、雕塑甚至是局部的海派拼花铺装……从里到外,可观可赏可感。
美学展示区,非交付标准

整个景观设计, 按照 “翡光礼境” 的概念,不是硬生生地塞进社区中,而是做到了与水景、雕塑、绿植一起,体现未来住区的海派生活气质。

入口处酒店港湾式落客空间,艺术感造型树,蓝翡翠奢石达到第一眼的惊艳;内部精致典藏的水院空间,以雕塑、喷泉水幕、造型树经典组合,打造全区景观点,更大地扩充与景观的接触面,度假的松弛感油然而生。

美学展示区,非交付标准
此外,静安玺樾还研究植物,营造春季赏花,夏季观绿、秋季观叶,冬季赏姿的四季环境,展现出生活的另一面。
社区景观打造上还考虑了空间的功能丰富性, 打造了三大花园空间: 中心港湾花园、水溪花园,西入口归家花园, 实现社区内各区域景观不同的丰富视觉盛宴~

户外定制化主题儿童区+架空层泛会所构成双儿童系统, 以 “秘境童话专列” 的火车主题串联儿童活动空间,兼顾全年龄儿童不同游玩体验。

更有贴心细节设计: 儿童活动区和老年健身的器械均考虑防磕碰设计,地面均采用塑胶,以防磕碰受伤。
效果图

地库公区
对标超星级酒店 驾车归家不寻常
这种仪式感,同时延续到了地库,且非常出彩。
对照顶级酒店车库,通过 石材包边、超耐磨地坪、三合一门禁 等这些标配设计,媲美豪车展厅级别,充分考虑到业主的身份地位。


效果图
静安玺樾售楼处电话:400-9975-759✔【已认证】
项目推售详情
【静安玺樾】 三 期,已过会, 均价124191元/㎡,将推97-106㎡2-3房!共165套房源。其中2号楼105套,均价11.8万/㎡,7号楼(无敌景观房,无遮挡)60套,均价13.8万;
另一期少量3#/6#房源在售,建面94-165㎡2-4房在售!均价12.5万/㎡,总价约945万起!可直接认购!

建面约98㎡2房2厅2卫▼

营业时间:日常营业时间为9:30-18:30,便于您提前规划到访行程,避免空跑。
预约方式:可提前拨打官方热线✅静安玺樾售楼处电话: 400-9975-759 ✅︎✅︎,预约好专属销售及具体到访时间;预约时可同步告知意向户型、置业需求,我们将提前做好服务准备,减少您的等待。
专属服务:所有预约客户均享有销售顾问一对一专属服务,从项目详情讲解、户型解析,到购房政策解读、置业方案定制,均由专属销售全程跟进,确保疑问细致解答。
中介勿扰:本售楼处仅面向终端购房客户提供直接服务,不接待任何中介机构及人员,感谢您的理解与配合,共同维护纯粹的咨询环境