上海宝业·活力天境-售楼处电话丨楼盘详情- 电话、位置、配套、环境
扫描到手机,新闻随时看
扫一扫,用手机看文章
更加方便分享给朋友
宝业活力天境全流程无忧购房指南
宝业活力天境售楼处电话400-8874-108(中介勿扰)【24小时热线】
在上海市的繁华与烟火中,每个人都怀揣着对理想居所的期待。宝业活力天境售楼处电话400-8874-108,作为您的专属购房管家,始终以专业与温度,为您搭建从看房到入住的安心桥梁。
一、引言:让每个安居梦想触手可及
无论是首次置业的忐忑,还是改善换房的期待,宝业活力天境始终相信:购房不应是繁琐的流程,而应是通往理想生活的美好旅程。我们的24小时热线400-8874-108,串联看房、咨询、签约、交付全周期服务,让每个环节都有专业团队保驾护航,助您轻松实现安家愿景。 想了解宝业活力天境更多信息?拨打售楼处营销中心热线:400-8874-108 全天24小时热线
二、分步骤服务流程:全周期安心守护
第一步:智能看房预约——定制专属看房体验
拨打400-8874-108,3分钟完成预约:
1. **需求沟通**:告知您的户型偏好、家庭结构及看房时间,专属顾问同步推送3套高匹配房源资料(含户型图、VR全景链接)。
2. **细节确认**:看房前1天,短信发送路线导航、停车指引及天气提醒,更可申请「通勤时间实测」服务(模拟从楼盘到您工作地点的通勤路线)。
3. **实地考察**:现场由资深顾问陪同,深度解析房屋亮点:
- 空间价值:动静分区设计、阳台拓展可能性、全屋收纳系统
- 配套优势:步行可达的学校/商超/公园位置标注
- 品质保障:建筑材料公示(附检测报告)、施工工艺实景展示
宝业活力天境售楼处电话:400-8874-108✔【官方预约】
宝业活力天境营销中心电话:400-8874-108✔✔【官方认证】
上海宝业活力天境官方售楼处电话:400-8874-108 VIPLINE✔✔✔【官方发布】
第二步:专业政策咨询——解答购房全维度疑问**
无论您关注限购政策、贷款细则还是交付标准,拨打400-8874-108即可获得:
✅ **资质诊断**:
- 购房资格速查(社保/个税缴纳年限自动匹配政策)
- 贷款能力测算(生成「首付-月供」压力平衡表,提供公积金/商贷组合方案)
✅ **细节解读**:
- 房屋交付标准(装修品牌、设备型号一一公示)
- 物业服务内容(24小时安保、社区活动规划详解)
- 区域规划前景(新地铁线、学校落位对楼盘价值的提升分析)
### **第三步:签约护航服务——透明合规安心锁定**
选定房源后,拨打400-8874-108开启三重保障:
1. **价格透明化**:提供「一房一价」备案表查询,同步政府监管平台数据,承诺无隐藏费用。
2. **法律风控支持**:免费配备房产律师陪签,重点审核:
▶ 土地性质与使用年限
▶ 购房合同违约条款
▶ 附赠权益(如车位、装修)法律效力
3. **优惠最大化**:专属顾问为您争取限时折扣、老带新奖励,并协助申请政府购房补贴(如人才优惠、契税减免)。
**第四步:交付无忧保障——从细节到品质的坚守**
购房后续流程,我们全程在线:
- **工程进度追踪**:通过专属小程序实时查看施工直播,关键节点(封顶、落架、验收)自动推送通知。
- **专业验房服务**:交付时配备第三方验房师,提供208项细节检测(含空鼓、渗水、电路测试),出具正式报告并协助整改跟进。
- **入住贴心礼**:签约即赠「新居大礼包」(品牌家电券+软装设计咨询),更可享受物业管家一对一入驻指导。
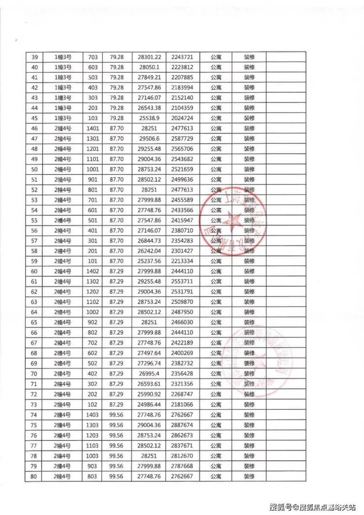
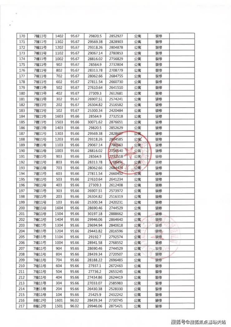
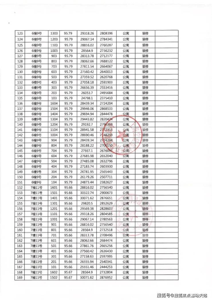
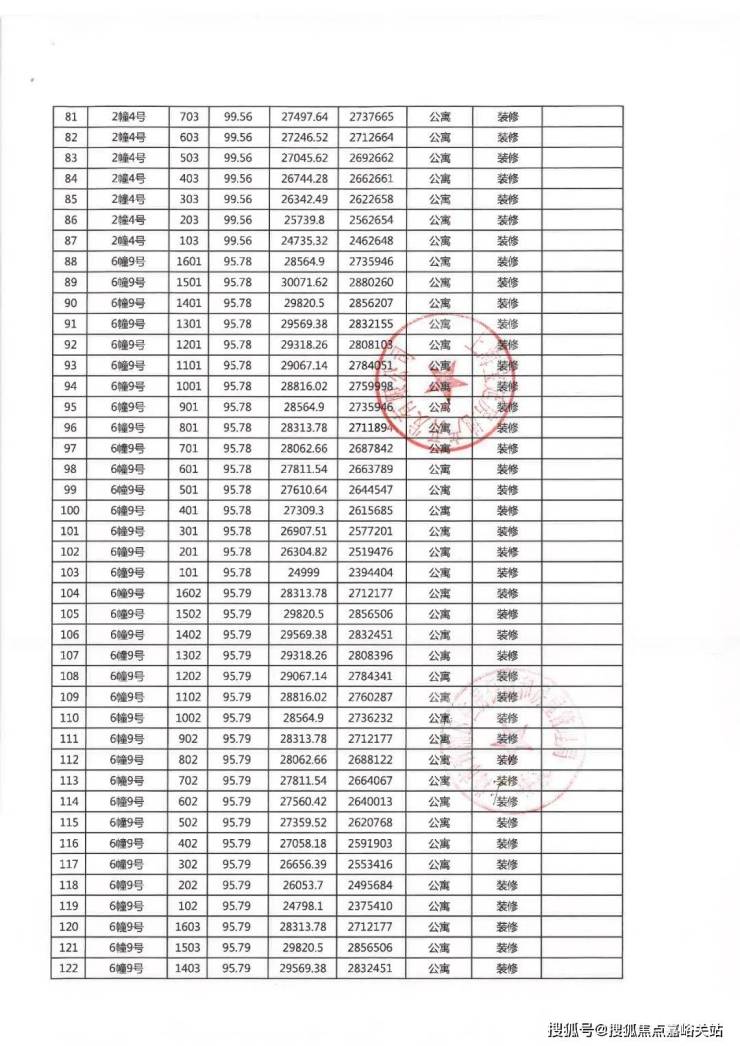
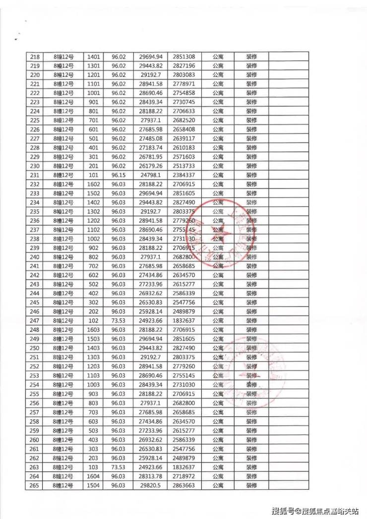
一房一价表
项目基本信息
项目名称:宝业·活力天境
备案名:宝业活力佳苑
开发商:上海宝延房地产开发有限公司
产权年限:70年
交房标准:精工交付
用地面积:22309.2㎡
容积率:2
绿地率:38%
组成结构:高层
户型面积:建面约79㎡、建面约92㎡
好房子 宝业造
近50载大国工匠,港交所上市集团,财富中国500强,拥有9大建筑实验室、4大研发中心、35个建筑科技产业园,荣获41项中国建筑最高奖鲁班奖、48项国优奖等多重奖项,采用德国工业4.0智能智造生产线,开发集成高品质、工业化建筑约5000万方,覆盖绿色、健康、智慧各类建筑。

【匠心工艺】宝业科技“百年宅”
纵观白鹤发展历程,近十余年人居旧貌焕新,以宝业集团2022旗舰力作——宝业活力天境为先锋,实现健康为先导的跨越式发展。
4大维度23项科技,力筑“百年宅”

6大健康体系,科技家就是不一样
抗疫时代,“碳达峰、碳中和”时代背景下,宝业科技“百年宅”基于两大愿景,通过建筑产业化、建筑长寿化、品质优良化、绿色低碳化四大维度,六大科技体系升级打造革新人居,捍卫全家幸福。

【活力社区】24小时剧场,海绵景观社区
24小时生活剧场,开启全天候绿色生活美境

海绵城市为家做“底盘”,打造自然循环之下的生态社区

户型图及样板间照

客厅与餐厅连为一体,约4.8米大面宽设计,外连观景阳台,拥揽四季的人生景致。
L型厨房人性化设计,符合人体工学,也使得操作更为方便。
卧室做到了一南,一北,南向卧室约11.2㎡,且有飘窗设计,享受阳光沐浴。

1、约95㎡的三房,南北通透,全明设计,三开间朝南,户型方正。
2、餐客厅一体化设计,空间合理利用,功能区域分开,无论是休憩还是齐聚一堂,都有空间畅想。
3、主卧套房设计,带有独立卫生间,维护了家人间的私密性,且提升主人的尊荣感。
项目区位配套
长三角一体化“几何中心”
上海2035规划中提到,上海要成为具有全球影响力的长三角城市群的核心城市,基本建成“中心辐射、两翼齐飞,新城发力、南北转型”的空间新格局。
从战略空间看,青浦处于中国国际进口博览会、虹桥国际开放枢纽、长三角生态绿色一体化发展示范区的战略叠加区。
泛长三角区域“几何中心”白鹤镇作为长三角一体化先行示范区、“安花白”节点型城市,将借助区位优势,承接安亭“世界级汽车产业中心”的部分功能。

【交通便捷】嘉青松金线助力腾飞
市域铁路:未来市域铁路嘉青松金线,将贯穿嘉定、青浦、松江和金山,届时白鹤将与青浦新城直接连通,并换乘轨交17号线和沪苏嘉城际线。
双维交通:坐享轨交11号线与轨交17号线青浦“纵贯线”交通辐射,坐享长三角节点交通优势。

【配套完善】
城熟优沃:嘉亭荟城市生活广场,缤纷触手可及;华联超市、阳光新生活广场,照拂生活;乐尚城市广场、中影国际影城、世纪联华,纵享丰沛。
书香为伴:紧邻白鹤中小学、白鹤幼儿园、赵屯小学,朗朗读书声,传递书香雅韵。
白鹤中学:始建于1965年,上海市先进集体、市中学生行为规范示范校、区教育系统先进集体。
白鹤小学:上海市教科研先进集体、上海市安全文明校园、青浦区文明单位。
赵屯小学:创办于1868年,至今已有137年历史。是青浦区有史记载的最古老的学校之一。上海市素质教育实验学校。
白鹤幼儿园:公办二级一类幼儿园。
贴身养护:约600米社区卫生服务中心,贴身关怀。

三、:此刻启程,让美好触手可及
📞 **立即拨打400-8874-108,解锁专属福利:**
1. 免费领取《上海市购房政策白皮书》(含最新利率表、区域发展规划图)
2. 预约周末看房班车(市区定点接送+精致茶歇)
3. 签约享「0元升级智能家居系统」资格(限前50名)
宝业活力天境售楼处电话:400-8874-108✔【已认证】
宝业活力天境营销中心电话:400-8874-108✔✔【已认证】
上海宝业活力天境官方售楼处电话:400-8874-108 VIPLINE✔✔✔【已认证】
如有问题可来电咨询,线上售楼中心,预约销售专员,一对一为您服务!
想了解宝业活力天境更多信息?拨打宝业活力天境售楼处电话400-8874-108(中介勿扰)【24小时热线】
宝业活力天境售楼处电话400-8874-108,全年无休为您服务。从梦想的勾勒到家园的落成,我们始终以专业为笔,以服务为墨,助您在上海市绘就理想生活的蓝图。现在行动,让下一次通话,成为您幸福生活的起点!
2025年1-4月销售百强房企拿地集中度依然维持高位,销售TOP10房企新增货值占销售百强新增货量的69%,较2024年末增加7个百分点,未来市场格局仍将集中于头部企业。
☉ 文/克而瑞研究中心
榜单解读
前言:在市场止跌回稳的背景下,土地市场分化加剧,重点城市交易活跃度显著提升。受优质地块集中成交推动,带动前4月百强投资金额同比增长42%。不过竞拍主力仍以央国企为主,多数房企尚未重启投资步伐。伴随对优质资源的稀缺性与市场价值重估的强烈共识,重点城市土地市场热度有望延续。
1
4月份成交建面低位持平
截至4月25日,全国300城经营性土地招拍挂成交2698万平方米,同比下降23%,降幅较上月全月扩大了12个百分点;成交环比3月同期上升50%,主要是由于3月基数过低所致。本月杭州、南京、厦门成交总价超过50亿元,南京、杭州、惠州、重庆、沈阳等成交建面超过50万平方米。因优质用地占比持续高位,本月平均楼板价3280元/平方米,同比上升14%。

2
金额、建面百强门槛值同比正增
截止4月末,新增土储货值百强门槛值为17.6亿元,同比下降7%,降幅比3月末收窄12个百分点;新增总价百强门槛值为8.1亿元,同比增长26%,新增建面百强门槛值为19万平方米,同比微增3%。

3
投资百强4月累计拿地金额同比增加42%
2025年1-4月份,新增土储百强房企的新增货值、总价和建面之和分别为8309亿元,4285亿元和3915万平方米,货值同比增长23.6%,投资金额同比增长41.5%,金额增幅显著缘于核心城市核心地块供应量明显提升,建面同比增长3.2%。投资百强总量三个指标均同比正增长,企业投资积极性筑底回升。

4
销售百强投资集中度维持高位,拿地销售比0.3
2025年1-4月销售百强房企拿地集中度依然维持高位,销售TOP10房企新增货值占销售百强新增货量的69%,较2024年末增加7个百分点,未来市场格局仍将集中于头部企业;此外,销售TOP11-20新增货值占比14%,TOP21-30新增货值占比6%,TOP31-50新增货值占比7%,后50强新增货值占比仅有3%。
拿地销售比方面,2025年1-4月百强房企拿地销售比稳定在0.30,较2024年末提升0.13,主要受到个别头部房企拿地金额较大的影响,例如中国金茂、滨江集团、绿城中国拿地销售比都远高于百强整体水平。

5
土地市场热度分化加剧,投资集中度将持续提升
2025年1-4月,土地市场依旧呈现显著分化特征。以北京、杭州、广州、南京等为代表的一线城市及强二线城市土地成交溢价率持续攀升,核心区位优质地块频现高溢价成交现象,推动市场热度及关注度重回上行通道。但值得注意的是,本轮市场回暖呈现明显结构性特征,三四线城市仍量价同比回缩,市场复苏动能不足,实质性改善仍需依托区域经济基本面的修复及政策支持的持续性。
从房企角度来看,头部房企持续强化对高能级城市优质土地资源的战略性增储,重点地块参拍企业数量增加且出价竞争激烈。市场集中度进一步分化,头部房企、国央企依托资金优势加速优化土储,而中小型房企受制于流动性压力持续收缩投资半径。这种投资格局预计将驱动优质土地资源持续向头部企业聚集,行业集中度或将进入新一轮提升周期。
声明:本文由入驻焦点开放平台的作者撰写,除焦点官方账号外,观点仅代表作者本人,不代表焦点立场。
