静安里售楼处电话:4 00-8874-108✔【已认证】⭐⭐⭐⭐⭐ 静安里营销中心电话:400-88 74-108✔✔【已认证】⭐⭐⭐⭐⭐
上海静安里官方售楼处电话:400-8874-10 8 VIPLINE✔✔✔【已认证】⭐⭐⭐⭐⭐
——静安里——
静安里售楼处电话:400-88 74-108✔【最新预约】⭐⭐⭐⭐⭐
静安里营销中心电话:400-8874-10 8✔✔【最新认证】⭐⭐⭐⭐⭐
上海静安里官方售楼处电话:400-8874-1 08 VIPLINE✔✔✔【最新发布】⭐⭐⭐⭐⭐
如有问题可来电咨询,线上售楼中心,预约销售专员,一对一为您服务!
想了解静安里更多信息?拨打售楼处营销中心热线:400-8874-108 (中介勿扰)【24小时热线】




静安苏河湾板块
华发&招商 静安北站项目
「静安里」
首开28套建面约260-300㎡风貌别墅
总价约 4000万起
纯别墅社区
目前“样板间”已开放

上海静安里,位于百年历史街道武进路旁,以历史原真性融入现代手法规划222席低密风貌大宅,保留南市北里的格局,在成片的风貌之间,诠释出入之间迷人的摩登生活诗篇。

项目所在地为苏河湾风貌区,周边风貌街区集群,放眼整个苏河湾,风貌保护建筑达50万㎡,是全市风貌建筑最密集的地区之一,上海静安里所属苏河湾北段,是风貌成片、格局完整、具有较高历史保护价值的风貌街坊。

作为当下上海中心难得的成片整体更新的风貌片区,更串联起周边石库门里弄、街坊等文化地标,打造集历史保护、城市更新于一体的超级IP,为上海提供"风貌片区更新"的新样本。

最新消息:静安里实景样板间已开放!纯风貌别墅社区,总共222席,建筑面积在185-370㎡之间,首开28套260-300㎡户型,均价21万/㎡,已经去化20套,二批次即将加推!


项目实景





样板间实景















户型图


苏河风貌·海派会客厅
上海下一个“新天地”登场
在上海的城市肌理中,有些街道如同年轮般记载着岁月的痕迹
武进路 就是这样特殊的存在!
它的长度不过千米,却串起了上海从开埠到国际化大都市的完整历史链条
行走其间,仿佛翻阅一部立体的城市传记,每一栋建筑都是一个章节,每一条弄堂都是一段注脚

德隆烟厂以首创“烟卡”营销模式闻名,彰显近代民族企业创新精神;
泰山大剧院则作为沪上越剧文化发源地,承载着鲁迅、郁达夫等文人的艺术记忆

设计过程效果示意图仅供参考,具体以政府审批及实际交付为准
还有之前提到的 唐宅 ,作为中华民国首任总理、外交官唐绍仪的故居,TA是老上海百年前的优雅巅峰,是当时建造设计的最高水准

唐绍仪故居实景
如果说一条武进路,可以漫步穿梭于半部上海史,那唐宅就是这册长卷的题跋和序言
最好的保护不是封存时间,而是让岁月继续生长
为了让唐宅继续生长,静安里修旧如旧,将对建筑原貌的尊重化为克制,将更多经历花在了你看不见的地方

唐宅部分修缮前后对比
为了保留一砖一缝里,流淌着百年的风云变化,采用了尽可能少干预的修复手法
所以这里的墙面红砖是斑驳的、是凹凸不平的,都岁月留下的自然痕迹

内部采用了钢结构加固,采用了深约24米的锚杆静压桩,这样的大动作,在近20年的国内保护修缮项目中都很罕见

在经年修缮之后,今年6月21日,上海静安里·唐宅以“ 苏河风貌·海派会客厅 ”之名焕新启幕,每一位走进唐宅海派会客厅的观众,都能感知上海文化遗产的温度与厚度
静安里已然成为串联苏州河百年文脉的“中枢”,老上海的绝代风华在这里持续生长
老实讲,这样的文化、历史天赋,已经足以羡煞一众市区风貌项目,但这还不是静安里的全貌
将视角拉远, 静安里的周边是全市风貌建筑最密集区域之一的苏河风貌区

苏河风貌区示意图
静安里与一路之隔的弘安里更是苏河风貌区的核心,整个区域总体的低密度街区占地面积超过30万㎡,有近百万方的城市风貌更新区域,相当于 28.3 个新天地 (来源:上海2035规划)
而且,这里不止有风貌住宅群,还有石库门历史商业街区
约10万方的 今潮8弄 (18街坊) ,包含了8条里弄、60幢石库门房子和多幢优秀百年历史建筑

今潮8弄实景图,图源网络
在静安里和弘安里的连接处,“南市北里”的苏河风貌区商业新名片也正在酝酿中

示意图
沿着武进路,静安里将打造一条风貌街区,总体量近1万㎡,未来建成后,这里将是上海城市历史文化遗产集群之大成者
成为足以媲美甚至超越新天地、思南公馆、张园的历史风貌代表,跻身上海新的文化和商业地标


"苏河风貌·海派会客厅"的历史文脉纵深, 让静安里化身海派文化在当代的代言人,立于文化价值的制高点
而苏河风貌区庞大的低密住宅群,不仅仅是简单的财富聚集,而是一个具有共同文化基因的圈层, 这是城市发展和规划带来的先天优势,从时间与空间的双重维度,重新定义“绝版”的珍贵!
体量更大的纯风貌社区
超大附赠空间开启居住想象
目前市面上大多数风貌别墅受限于指标,普遍采用超高层+别墅的高低配组合
大家花了买别墅的钱,却享受不到应有的生活质感
反观静安里,凭借超低容积率的地块天赋, 不仅带来了更纯粹的墅居氛围,还是整个内环别墅体量更大的社区

这样的社区布局带来的优势是显而易见的,静安里可以因地制宜把产品力发挥得淋漓尽致, 带来更大的楼间距、更优的采光和景观打造空间
社区内部尊重原有肌理,静安里妥善留存更新原有不同风格建筑,通过保护修缮、保留改造、更新改建、织补新建四大更新手法,打造了10种建筑立面风格,让各个时代建筑和谐共存

七坊、三十二弄、七大石库门 串联起7大组团,八个不同规制的坊门,散落于组团之间,营造出了归家动线上的连续仪式

六大世界经典花园 融入上海及世界优秀花园样式,汇成海派花园的园区巡礼,以每个独属于上海的百年场所记忆进行时空平移打造海派花园百科全书

静安里还是历史风貌住宅里面少有的有会所的项目 , 约1000㎡的私属会所,为业主提供星级高端服务接待休息区,还配备了健身房、瑜伽室、泳池等,集萃一站式高阶生活服务空间礼遇


聚焦到风貌别墅本身,静安里应用 8大定制级 的产品设计手法,通过定制级手工砖、定制级山花造型、定制级铁艺栏杆、定制级入户壁灯、定制级的风帽雨水斗等部品部件,每一处细节都是匠心打磨的痕迹

还有大家最关心的 户型 和 附赠空间 ,项目沿袭历史建筑格局,提高窗墙比,降低围墙高度,拓展地下空间
静安里基础的户型设计,满足全卧室朝南,而且空间改造的底子好,可变性多

至于附赠空间,据看过样板间的购房者表示: 附赠率比一般风貌项目高而且全,露台、庭院和多层地下室
可以说,静安里在地块天赋基础上,将居住的实用性、舒适度拉满,以超越时代的远见,重新定义了风貌别墅的生活范式
苏河湾+北外滩
双重利好辐射下的绝佳地段
上海的源头、上海真正的顶层区域、未来承载上海参与全球竞争的核心动力,可以用四个字概括: 一江一河
对于这种不可复制不可再生稀缺资源的占有,永远会是上海住宅资产配置的至高信条
而苏河湾正是处于一江一河的交汇处,保证业主能在世界都心享全球封面级生活 !

区位图
苏河湾不仅有苏州河的慢生活,更在此之上叠加了浓郁艺术气息,这就让板块气质、价值得到升华,完全区隔于一些老牌板块和现在的新贵区域
没顶画廊、suhe haus苏河皓司、苏富比空间、UCCA Edge尤伦斯当代艺术中心等艺术机构纷纷落户苏河湾,已成为潮人时尚打卡胜地

区域内目前已集聚了阿斯利康全球研发中国中心、淡水河谷、花王、恩智浦等23家跨国公司地区总部

苏河湾实景
“十四五”以来,苏河湾累计实现税收 350亿元 ,连续3年实现两位数增长;去年一季度实现税收34.98亿元,同比增长 12.8% ,增速超过了南京西路功能区
苏河湾正成为上海一个新的“聚宝盆”,未来五年,更是将肩负世界级滨水商务区和世界级“城市会客厅”的重担
再来说说北外滩:
规划能级超群:北外滩开发体量超840万方 (陆家嘴核心2倍) ,480米新地标领衔5栋300米+、13栋200米+摩天建筑群,打造浦西全新制高点

北外滩实景图
产业势能强劲:聚集 2100+ 金融企业 (资产管理规模超8万亿,全市第一) 、4500+航运企业 (掌控全球1/3航运交易) 、2500+贸易企业,构建国际航运与贸易中心 (数据来源:上海市规划局)
兑现速度空前:国华金融中心、友邦金融中心已投入使用;上海华贸中心预计2026年竣工;480米北外滩中心等地标群预计2030年建成
随着规划加速落地,北外滩将引领 “一江一河” 发展新纪元,可以直接坐享区域价值辐射
静安里既浸润着苏河湾的人文底色,又享受着北外滩CAZ资源配置的辐射力,处在这两大世纪规划的交汇处,未来的地段价值不可限量
总结
回到最初的问题,静安里给出了自己的回答!
上海风貌别墅的终极竞争,早已超越形态与价格的维度,而是对城市文脉的忠诚度、对土地价值的敬畏心、对产品创新的破局力
静安里以“百年迭代”的视野,将 文化、圈层、社区、产品、地段 五重优势熔铸为一,不仅成为内环资产配置的黄金窗口,更定义了“何谓恒贵资产”——既能穿越周期,又能定义时代!
静安里售楼处电话:4 00-8874-108✔【已认证】⭐⭐⭐⭐⭐
静安里营销中心电话:400-88 74-108✔✔【已认证】⭐⭐⭐⭐⭐
上海静安里官方售楼处电话:400-8874-10 8 VIPLINE✔✔✔【已认证】⭐⭐⭐⭐⭐
如有问题可来电咨询,线上售楼中心,预约销售专员,一对一为您服务!
想了解静安里更多信息?拨打售楼处营销中心热线:400-8874-108 (中介勿扰)【24小时热线】
楼盘项目全面介绍,本电话为开发商提供线上预约售楼电话,楼盘项目全面介绍(包含楼盘简介,均价,房价,现房,期房,别墅,叠墅,大平层,价格,楼盘地址,户型图,交通规划,备案价,备案名,项目配套,样板间,开盘时间,认筹时间,楼盘详情,售楼处电话,最新消息,最新详情,周边配套,一房一价,最新进展等详情咨询)楼盘详情丨价格丨更多优惠丨机不可失丨欢迎致电丨诚邀品鉴!售楼处位置丨特价房丨工抵房丨剩余房源丨户型图丨最新消息丨免责声明:将文章内容综合来源于网络、只作分享,版权归原作者所有!!如有侵权,请联系我们,我们第一时间处理如有问题欢迎来电咨询,专业一对一热情服务,让您用专业眼光去买房.如果您想了解更多楼盘详情,欢迎提前预约拨打
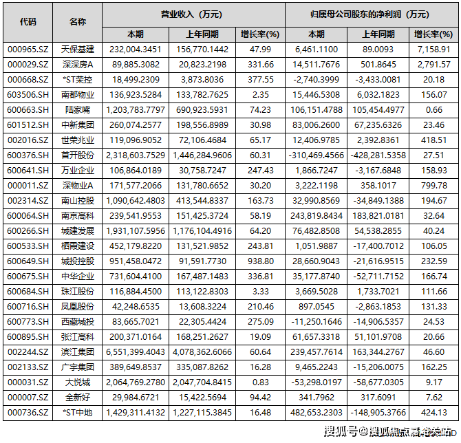
中房网根据同花顺iFinD数据统计,截至10月31日,A股共有85家上市房企披露2025年三季度业绩报告。其中,超4成房企营收实现同比增长;43家房企实现盈利,占比超五成;归母净利润实现同比增长的房企共有37家,占比为43.53%。
自2022年起,房地产行业业绩承压态势已延续数年。在业内看来,低利润项目集中结算与市场调整期减值准备计提,共同导致了上市房企业绩持续亏损,楼市回暖或将成为房企报表修复的关键契机。
超4成房企营收同比增长
从上市房企三季度报告来看,营收实现同比增长的房企共有36家,占比为42.35%;营收同比下滑的有49家,占比57.65%。
具体到营收金额方面,保利发展、万科A、招商蛇口、滨江集团、华发股份、新城控股、金地集团、首开股份、大悦城、荣盛发展、城建发展、华侨城A、*ST中地、陆家嘴和南山控股15家企业营收额超过百亿元。其中,保利发展、万科A和招商蛇口分别以1737.2亿元、1613.9亿元和897.66亿元的营收居于A股上市房企前三位。

部分头部房企亏损较大
归母净利润方面,前三季度共有43家房企实现盈利,占比超过五成。
其中,有7家房企归母净利润超过10亿元,分别是*ST中地、招商蛇口、南京高科、滨江集团、保利发展、上海临港和陆家嘴。

上述房企中,*ST中地(中交地产)的表现较为亮眼。三季报数据显示,公司前三季度营收达142.93亿元,同比增长16.48%;实现净利润48.27亿元,扭亏为盈,同比大幅增长424.13%。
作为一家“披星戴帽”的房企,其账面盈利的核心驱动力来自重大资产重组。今年6月,*ST 中地公告称,计划将旗下房地产开发业务相关的全部资产与负债,转让给控股股东中交房地产集团有限公司。这一重组事项在8月31日完成实质资产交接,房地产业务自此正式退出公司合并报表范围。
据悉,资产重组为* ST中地带来64.89亿元的资产置出相关收益,这一数据直接拉动了当期利润表现,同时推动归属于上市公司股东的净资产转正至12.48亿元。
让人唏嘘的是,三季度业绩亮眼的房企,恰恰是已经退出房地产开发业务的那家。
值得注意的是,期内部分龙头房企归母净利润出现较大亏损,如万科、*ST金科、华夏幸福等。
数据显示,今年前三季度,万科实现营业收入1613.9亿元,同比下滑16.61%;归属于上市公司股东的净亏损280.2亿元,同比下滑56.14%。
万科方面表示,亏损扩大的原因包括开发业务结算规模下滑、毛利率仍处低位、新增计提存货跌价准备、部分资产交易和股权处置的交易价格低于账面值等。
另一亏损规模超百亿的为*ST金科。前三季度,金科实现营业总收入56.99亿元,同比下滑73.57%;归母净利润亏损107.78亿元,同比下滑102.12%。
还有华夏幸福,其亏损规模也近百亿。前三季度,公司营业收入为38.82亿元,同比下降72.09%,归属于上市公司股东的净利润亏损98.29亿元,同比下滑338.67%。
25家房企实现营收和归母净利润双增
前三季度有25家房企实现了营收和归母净利润的双增长。

有37家房企实现归母净利润实现同比正增长。其中,天保基建、深深房A、深物业A、渝开发、*ST中地、世荣兆业、城投控股、南山控股、中华企业、广宇集团、万业企业、南都物业、新黄浦、凤凰股份、中洲控股、珠江股份、栖霞建设17家房企前三季度的归母净利润增长超过100%。
其中,天保基建前三季度归属于上市公司股东的净利润增幅最大,为7158.91%。天保基建表示,业绩增长主要得益于报告期内满足收入结转条件的项目增加,以及冲回的土地增值税增加和资产减值损失减少。
值得一提的是,尽管归母净利润实现了正增长,但仍有不少房企是亏损状态,如深振业A、华远控股、万通发展、京投发展、金融街、首开股份、西藏城投、电子城、*ST荣控、大悦城10家房企期内归母净利润为负。

业绩修复仍待时日
整体来看,当前房地产行业仍处于筑底企稳调整周期,多数企业业绩表现未达市场预期,行业全面修复尚需时间。
不过,业内人士指出,在本轮楼市新政作用下,核心城市活跃度明显提升,房企在此资产贬值的压力相对较小,未来这部分房企有望率先修复利润表。多家企业也表示,通过在核心城市拿利润较高的项目,逐步带动利润表的修复。
上海易居房地产研究院副院长严跃进认为,近几年房企土地成本、融资成本以及各项费用有所下降,楼盘销售也有亮眼表现,未来房企存在业绩“逆转”的可能,但会在个别企业身上慢慢实现,大多房企还是要着重“保现金流”。