作为上海品质人居代表,招商林屿湖畔以 “全周期优质居住空间” 为核心,从产品、配套到服务全方位打磨,实景展示区与样板间已开放,诚邀上海购房者亲赴品鉴!

上海外环的 城市自然 作品真的来了!招商林屿湖畔,一个多方位领先全市的新房项目。
我们先概括总结一下项目优点
• 位于外环外 唯一的CA Z板 块核心区 ,大型商业、顶级教育、高端医疗、丰富生...步行范围内享受的 资源集中度堪比前滩 ;
• 远香湖CAZ板块内 最后一块宅地 ,一旦入市就是区域内房龄最新、产品力最强的项 目,一手掌握整个片区的定价权;
• 外环外仅有的建面约112㎡起 纯粹高端改善型社区 ,双/三阳台、类一梯一户、超级收 纳, 卷到头的户型设计 ;
• 约87米艺术门庭、约13.7米双层归家大堂, 迭代到最新的产品力 ;
...
从地段、配套、社区用料、立面/公区审美、户型设计、宜居度甚至是投资属性,招商林屿湖畔都称得上是遥遥领先。

本图仅对周边教育资源进行介绍 预售房屋不划分学区,最终学区划分以相关政府文件为准
8月30日,项目盛大首开! 仅用34分钟,劲销9.2亿,首批次去化率100%,触发积分!
9月29日,招商・林屿湖畔二批次再续热销传奇!62套房源开盘仅30分钟便宣告热罄,印证项目硬核实力!

在二开二罄的高燃热度之上,招商・林屿湖畔即将迎来更受期待的高光时刻——三批次建面约160-165㎡湖岸叠墅新品,千呼万唤始出来!

作为项目真正直面湖景的叠墅产品,这不仅是一次房源加推,更是一场关于“下一代墅居”的全新启示,将重新定义湖居生活的价值逻辑。稀缺湖岸资源与低密叠墅形态的结合,注定成为嘉定改善市场的下一个焦点!
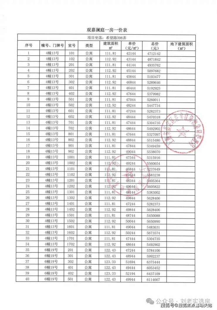
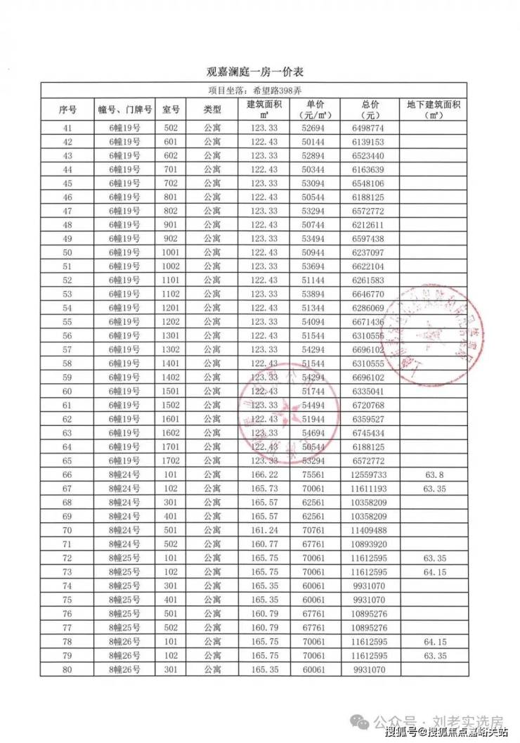
本批次一房一价表如下:





天生塔尖!
嘉定新城核心 一线“湖景+河景”
远香湖4.0迭代湖畔奢居产品
招商·林屿湖畔
三批次建面约120㎡-165㎡湖居奢宅
今日开盘
示范区&样板间实景如下:

六大嘉定首见设计
打造远香湖CAZ封面大作!
说实话, 招商林屿湖畔凭借着远香湖CAZ的占位,就能热销。
因为这里是整个嘉定的中心,是无数嘉定人心中的朝圣之地,这里的资源集中度之强,即使是上游的南翔都望尘莫及。
而作为区域内最后一个住宅项目、也是位置最好的一线湖景房,招商林屿湖畔一旦入市,必然是嘉定人心里的TOP1,决定着整个嘉定未来二手房价格的上限。

也正因如此,招商当时才会愿意以约30%封顶溢价率,拿下这块宅地。
而这样一块天生塔尖的地块,招商更以远超市面标准的投入,于产品设计、选材营造等环节倾注心力,打造了一个匹配CAZ核芯地位的品质标杆。
整个项目有几个外环新房特有的优势,跟大家分享下:
嘉定首见 自然嵌入式全维游艇会所内的国标壁球馆&沃特罗伦主题健身房
招商林屿湖畔拥有约1200㎡立体下沉式会所。
与此同时,项目充分利用架空层释放出的宝贵空间,打造出一个功能聚合、品质非凡 的 约1700㎡架空层空间 。
这个体量,超越了目前市场上大多数千万级的豪宅,在整个外环外更是少见。
其次,整个会所对标星级酒店艺术品位,设计了私宴厅、瑜伽室、棋牌室、 区域首创国标壁球馆、 飞瀑园景健身房、 嵌入式景观书吧 等空间。
其中,健身房所用都是沃特罗伦高端健身器材。

沃特罗伦健身器材示意图,具体以公示为准
从实用性、审美力、艺术感等各个方面, 深度还原度假酒店的质感。




过程版效果图
而架空层最高建筑层高约7.2米,共计约1700㎡。
一方面,超高架空层的存在,不仅在物理意义上将部分楼栋的社区生活平面整体托举,隔绝了地面层的喧嚣与干扰。还让 低区的业主也能充分的享受阳光和视野 。

同时,打造了休闲下沉卡座、水吧台、休闲会客区、联动室外水池,打造酒店式度假居住体验。

嘉定首见 超87m石材&铝板归家艺术门庭、阳光地库
项目 以奢华酒店式场景为设计理念,打造约87米艺术门庭。由于土地的限制,即使是市区的顶豪,也难有如此规格的归家仪式。
这不仅是业主身份的象征,更是城市的靓丽天际线。
总高约13.7米双层归家大堂、独立车马院以向心视觉设计 , 营造震撼的视觉冲击力与尊贵仪式感,显著提升归家动线的品质与社区形象,成为彰显楼盘档次的核心亮点。
同时,还有引入自然天光的 阳光地库、下坡道及地下玄关,这是招商千万级顶豪的同款,是整个外环外最高颜值和规格的车库。


嘉定首见,全曲线铝板建筑立面 。
用料上,顶豪同款的 铝板+石材。无需多言,这就是目前上海立面中更好、更昂贵的用料。
审美上, 飞檐设计+阔景画框。最高 约0.35的超大窗墙比,超越上海常规住宅标准。

招商林屿湖畔售楼处电话:400-8894-986🎀🎀
嘉定首见 隐秀峡谷立体庭院、悬挑飞瀑、度假戏水池
在社区内部景观上,招商也进行了大胆创新,别具一格的 酒店度假超级公区,让人非常心动!
• 立体浮岛:通过地上地下丰富动线串联下沉庭院、局部风雨连廊、戏水池、行车橱窗、垂直森系景观、嵌入式会所功能, 创造一座立体视觉奇观的“漂浮的绿洲”。招商林屿湖畔售楼处电话:400-8894-986🎀🎀
• 下沉峡谷:约420㎡丰富层次立体下沉庭院,区域首现悬浮水池,搭配4.3米飞瀑,塑造沉浸式度假感受。
这些,都是徐汇滨江约19.5万/㎡的顶级豪宅同款。

招商林屿湖畔售楼处电话:400-8894-986🎀🎀
• 游园动线:以洄游式曲折路径与风雨连廊设计,营造多重游园动线,为庭院景观赋予不同互动体验
• 人景相融:甄选世界珍贵树木,实现四季沉浸式景观更迭

招商林屿湖畔售楼处电话:400-8894-986🎀🎀
老实讲,这 样的社区 景观和会所、架空层配置,远超远香湖CAZ过往供应的新房,湖居4.0迭新奢宅,实至名归! 建面约112㎡起纯粹改善大宅

招商林屿湖畔售楼处电话:400-8894-986🎀🎀
高度统一的居住氛围!
招商林屿湖畔是嘉定乃至整个外环外,除了纯别墅小区外,目前仅有的一个最小建面约112㎡起的项目。
首先,这意味着项目未来的社区居住氛围,将以纯粹改善为主。
说白了,只有这样的社区,才能给业主更好的居住体验,才能给孩子更好的居住环境,才能给家里老人更宜居的居住氛围。招商林屿湖畔售楼处电话:400-8894-986🎀🎀
与以小户型为主,主力吸引刚需客户的项目相比,这是社区定位上的不同,也是未来居住氛围上的不同。
其次,我们来看产品。招商林屿湖畔售楼处电话:400-8894-986🎀🎀
项目本批次将推出建面约120㎡-165㎡3-4房,目前创意展示空间已经开放,可预约参观。

招商林屿湖畔售楼处电话:400-8894-986🎀🎀
建面约122㎡的3房产品,有几大亮点。
第一,类一梯一户的设计。
这种 “隐形扩容” 设计,不仅重构家庭生活秩序,更解锁了N种生活场景的可能性。

招商林屿湖畔售楼处电话:400-8894-986🎀🎀
建面约122㎡创意展示间实景,具体以实际交付为准
第二,全屋交付收纳量达8.2m³,约等于205个20寸行李箱的收纳空间。
整个套内除了电梯厅外,还有大量的收纳空间。
例如进门的这个独立储藏空间:

招商林屿湖畔售楼处电话:400-8894-986🎀🎀
建面约122㎡创意展示间实景,具体以实际交付为准
还有餐边柜空间、大量的飘窗空间、厨房的柜子等等。

招商林屿湖畔售楼处电话:400-8894-986🎀🎀
建面约122㎡创意展示间实景,具体以实际交付为准

招商林屿湖畔售楼处电话:400-8894-986🎀🎀
建面约122㎡创意展示间实景,具体以实际交付为准

招商林屿湖畔售楼处电话:400-8894-986🎀🎀
建面约122㎡创意展示间实景,具体以实际交付为准
第三,约3.1米层高+边套户型4飘窗+建面约122㎡做3房,极致的尺度感。
建面约122㎡的3房本身就拥有超强的空间尺度感,再加上小高层的高得房率+多飘窗的设计,整个空间的尺度感相当惊人。 招商林屿湖畔售楼处电话:400-8894-986🎀🎀
比如这个客餐厅:

招商林屿湖畔售楼处电话:400-8894-986🎀🎀

招商林屿湖畔售楼处电话:400-8894-986🎀🎀
建面约122㎡创意展示间实景,具体以实际交付为准
这个尺度感一般也只有在约140㎡以上的大平层中能看到。
主卧豪华套房的设计+约270°的巨型飘窗,这个尺度感和实用性真的很强。

招商林屿湖畔售楼处电话:400-8894-986🎀🎀

招商林屿湖畔售楼处电话:400-8894-986🎀🎀
建面约122㎡创意展示间实景,具体以实际交付为准
另外,由于双阳台的设计,北房间不仅能放下一张床,还有大量可以放下书桌、衣柜的空间,实用性超强。

招商林屿湖畔售楼处电话:400-8894-986🎀🎀
建面约122㎡创意展示间实景,具体以实际交付为准
这个户型真的是目前上海迭代到最新款的产品,真的可以想象这样一个产品对于周边本地改善客户的吸引力有多强,在未来的二手房市场会非常吃香。 招商林屿湖畔售楼处电话:400-8894-986🎀🎀

招商林屿湖畔售楼处电话:400-8894-986🎀🎀
建面约145㎡4房产品,目前嘉定新城的终极改善产品。
约3.15米的层高,恢弘大气;
独立电梯厅+半敞阳台+自由式飘窗,使用率(非得房率)约87-91%;
四开间南向面宽,大面积落地玻璃,边套更是打造了270°转角飘窗;
豪华主卧套房,双台盆独立卫浴保证了居住的私密性;
三阳台保证了各个卧室超强的尺度感和实用性;

招商林屿湖畔售楼处电话:400-8894-986🎀🎀
建面约160㎡上叠 | 约145%使用率的立体生活范本
上叠户型预计使用率最高约145%,拥有约8.5m横厅双阳台双露台、南北通透主卧套房。 (非得房率,最终房屋得房率以实测报告为准)招商林屿湖畔售楼处电话:400-8894-986🎀🎀
“约8.5米宽厅+南向双阳台+双露台”黄金组合,成就使用率约145%(非得房率,最终房屋得房率以实测报告为准)的立体生活空间。
南北双露台(总面积约24㎡)可打造星空剧场或空中花园,主卫开间达约3.3米,以极致尺度重新定义奢居标准。
建面约165㎡ 中叠 | 约18.4米南向面宽的平层体验

招商林屿湖畔售楼处电话:400-8894-986🎀🎀
中叠户型预计使用率最高约95%,罕见5面宽、尊享通透双套房,最大18.4米南向面宽。(非得房率,最终房屋得房率以实测报告为准)
颠覆性约18.4米南向面宽、五开间布局,媲美大平层尺度。
双套房设计(主卧+南向长辈套房)兼顾代际关怀与私密,LDKG横厅连接约9米双面阳台,成为家庭社交核心。
经专业测算,室内采光均匀度高达约98%,通风效能全域最优。

招商林屿湖畔售楼处电话:400-8894-986🎀🎀
建面约165㎡ 下叠 | 使用率约148%的空间革命
下叠户型预计使用率最高约148%,拥有地下室三面采光、LDKG双入户流线、南北通透主卧套房。(非得房率,最终房屋得房率以实测报告为准)招商林屿湖畔售楼处电话:400-8894-986🎀🎀
使用率最高约148%(非得房率,最终房屋得房率以实测报告为准),以“8个飘窗+双南阳台+约5.4米层高地下室”构建强大附加值体系。
创新三面采光井(总覆盖约34㎡)彻底告别地下室昏暗,可化身阳光庭院、家庭画廊。
LDKG一体化+双入户流线(北接电梯厅、南连花园),搭配约6.5米横厅与270°转角飘窗,实现生活与自然的无界交融。 招商林屿湖畔售楼处电话:400-8894-986🎀🎀
外环唯一的CAZ,汇聚一城之资源

招商林屿湖畔售楼处电话:400-8894-986🎀🎀
堪比前滩的配套浓度
象屿远香湖岸位于嘉定新城远香湖CAZ规划红线内,这是五个新城目前仅有的官宣的中央活动区,定位为嘉定新城中的综合功能中心与城市形象集中展示区,集聚国际住区、大型商业集群、摩天地标集群、科创科研企业集群、国际教育文化等功能为一体。 (规划内容来自上海嘉定微信公众号)
如果说陆家嘴-外滩是整个上海的核心资源所在,那整个嘉定新城的核心资源就在远香湖中央活动区。
所以,远香湖中央活动区,就是整个嘉定新城的门面和“城市会客厅”。这是一个“被倾注了嘉定新城所有高端资源”的片区!招商林屿湖畔售楼处电话:400-8894-986🎀🎀
远香湖CAZ,总开发体量约531.4万㎡,规划公共服务建面约27.7万㎡,教育科研设计建面约71.6万㎡,商办体量约284.1万㎡。招商林屿湖畔售楼处电话:400-8894-986🎀🎀
产业方面,作为嘉定新城塔尖地段的远香湖CAZ打造的是 总部经济集群 ,涵盖汽车城、智能传感、瑞金创新中心精准医疗特色产业等招商林屿湖畔售楼处电话:400-8894-986🎀🎀

招商林屿湖畔售楼处电话:400-8894-986🎀🎀
远香湖CAZ效果示意图
公共服务方面,远香湖CAZ简直是城市地标集中营!嘉定图书馆、保利大剧院、五星级凯悦酒店早已名声在外。

招商林屿湖畔售楼处电话:400-8894-986🎀🎀
同时,未来这里还将建设文化环、未来塔、活力谷等城市新地标建筑! (规划内容来自上海嘉定微信公众号)
· 文化环:除了现有嘉定图书馆、保利大剧院、江南书院、尚画美术馆外,围绕着远香湖未来还将打造立体儿童乐园、航模活动中心、嘉昆太路演中心等一系列高能级文化设施。招商林屿湖畔售楼处电话:400-8894-986🎀🎀
· 未来塔:位于CAZ的正中央,建成约300m,将成为嘉定甚至是上海西北第一高楼,是真正的C位地标(规划中)
· 活力谷:集商业和办公于一体的休闲创意街区。
招商林屿湖畔售楼处电话:400-8894-986🎀🎀

招商林屿湖畔售楼处电话:400-8894-986🎀🎀
示意图,仅供参考
教育方面,这里有全龄段精英教育资源!
幼儿园方面,有公立学校远香湖幼儿园和高端私立中国中福会幼儿园。
中小学方面,上海知名的公办学校:上海市实验学校嘉定新城分校、上海交通大学附届嘉定实验学校、上海市嘉定区新城实验学校。招商林屿湖畔售楼处电话:400-8894-986🎀🎀
都是九年一贯制的学校,也都是嘉定最好的顶级教育资源。
(注:相关教育设施仅为介绍周边教育资源,并不承诺为划片学区)

招商林屿湖畔售楼处电话:400-8894-986🎀🎀
上海市实验学校嘉定新城分校实景图综上所述,
作为远香湖CAZ规划红线内最后一块住宅用地,招商林屿湖畔错过不再。
未来业主将于城市地标为邻,享受到的必然是与国际接轨的潮流生活!
当然,即使着眼于现在,项目的生活配套也足够丰盛!
商业方面,项目周边大体量商业体环伺,包括西云楼、宝龙广场、万达广场、大融城、理想之地配套商业(在建)、吉宝绿地缤纷城等近40万方商业。招商林屿湖畔售楼处电话:400-8894-986🎀🎀
略远些还有嘉定目前的商业地标约33万方的印象城Mega。

招商林屿湖畔售楼处电话:400-8894-986🎀🎀
周边商业实景图,仅供参考
医疗方面,周边有三甲医院瑞金医院北院、嘉定区妇幼保健院、嘉定中心医院、上海嘉定中医医院嘉定新院等优质医疗资源,护航家人健康。招商林屿湖畔售楼处电话:400-8894-986🎀🎀

招商林屿湖畔售楼处电话:400-8894-986🎀🎀
瑞金医院北院实景图,仅供参考
总结一下,从配套能级、步行范围内的资源浓郁、宜居程度、产品的规格等维度,招商林屿湖畔的表现都十分出众。
所以,不管您是不是要买在嘉定,我都推荐您去看一下这个项目。
十年终藏这座湖! 招商·林屿湖畔
三批次建面约120㎡-165㎡湖居奢宅
今日开盘
对项目感兴趣的伙伴
欢迎预约看房
招商林屿湖畔售楼处电话:400-8894-986🎀🎀
三大核心价值,值得实地探访
产品匠心:适配刚需、改善等多元家庭,空间布局、采光收纳均经优化,实景体验更直观;
全龄配套:覆盖老中青少的社区活动中心、亲子空间、健康区域,搭配专业物业与社群服务;
品质保障:资深开发团队操盘,多城优质项目背书,业主满意度居高,居住更放心。
专属品鉴权益,预约即享
拨打售楼处电话 400-8894-986 预约,解锁三大福利:
・灵活约时段:3 天内任选到访时间,匹配专属置业顾问;
・到访有好礼:品质伴手礼 + 定制资料册免费领;
・优先权益:优先获取项目动态、专属咨询,开盘享优先选房。
三、多通道便捷预约
电话预约(推荐):400-8894-986(24H 在线,极速响应);
营销中心接待时间:9:00-21:00(节假日不休,电话可确认实时情况);
线上留言:评论区留 “招商林屿湖畔 + 姓名 + 联系方式”,2 小时内专人对接;
顾问对接:已联系置业顾问可直接锁定时段,或致电 400-8894-986 协助对接。
居住选择关乎长远生活品质,招商林屿湖畔邀您实地解锁理想生活!户型、周边配套等更多详情,随时拨打售楼处电话 400-8894-986 咨询(24H 置业顾问在线对接)。

湖南女生(@夜夜小唔)就在不久前买下了一套一楼的复式房,和很多看起来精致的小复式不同,她选择了不装修直接住进去,整间屋子都保留着混凝土水泥的外观质感。

屋内只置办了必要的家具,看起来简简单单,满足日常生活所需。
话不多说,一起来看看吧~
【入户区域放大餐桌】

进门后有一个小小的玄关过渡区,一进门,最先看到的就是一张大号的长餐桌,这里目前当作一个临时置物的站立吧台,旁边甚至没有放凳子,平日里就当个偶尔放杯具碗碟的置物台,家里有家人朋友来的时候,再放一圈凳子,就能围坐用餐,丝毫不觉拥挤。

而从这里,也可以一览家中餐厅、客厅和头顶隔层空间的水泥毛坯风格,因为是复式,看起来还有种开扬宽敞的感觉。
虽说没有刷墙贴瓷砖,但却也刷了地固和墙固,日常生活可以避免起灰的问题,实际上还是挺干净的。
【竖厅横向布置】

说起来,其实家里算是一个竖厅的格局,但为了空间感考虑,她却采用了横厅的布置方式。
在餐桌前面放沙发和茶几,你别说,这黑色的沙发和茶几相互搭配,和家里的水泥风装修还真是格外搭配。

距离更远的窗户下方直接放支架电视,因为是一楼,窗外还有个小小的草坪院落,坐在沙发上望着窗外绿意盎然,仿佛屋内的毛坯房风格也不那么冰冷无趣了。
除了沙发前面的地毯外,左右两侧还有隔板架和单人椅,平时招待客人也坐得下。

最为点睛之笔的,当然是这两层高的大窗户了,虽说是间小型复式房,但客厅却并未去做隔层,而是保留了纵向高度,让阳光和自然风尽可能多地进入室内,让这间水泥毛坯房显得亮堂了许多,空间感也强了许多。
【楼梯间旁是小书房】

一楼的楼梯间旁边是小书房,书房对面则是卫生间,我们放在最后说。
先说这楼梯间的布置,旋转向上的楼梯不算宽也不拥挤,直接在原有混凝土的基础上加上金属栏杆,打造出这种工业风的楼梯间。

楼梯间处的小房间是个书房,平日里,她会在这办公、看书、玩游戏,房间内放上了一张小书桌和一张单人床,周末时熬夜太晚干脆就在这儿睡了,遮光窗帘也能在睡懒觉时避免光线扰人,算是家里功能最其备的一间屋子。
【复式隔层上有两间卧室】

走上楼,发现这里压根就没有做装修,只是在隔层平台上加了一盏灯,当成一个临时活动空间,做做瑜伽,放张凳子看看书,甚至是在这烤串都没问题,周围的毛坯墙面也同样是简单刷墙固地固,保留这种光秃秃、灰溜溜的样子。

主卧室窄且长,目前只在这里放一张双人床,当作晚上休息睡眠的地方。
这里地面倒是简单铺了木纹砖,晚上开灯后显得温馨一些;哦对,进门处还有一组金属衣架,布置简单的同时收纳能力强,日后需要重新做橱柜的话也方便拆卸更换。

次卧室的布置和面积都与主卧室接近,但因为目前处于半闲置状态,既没有放床架,也没有做衣柜,仅单纯在地上放一张床垫,当作家人朋友来临时留宿时的睡床,不占地儿也不碍事儿,以后买了床架,还可以直接用上这张床垫。
【其他区域的细节布置】

再说说家里其他空间的布置。
卫生间都刷了1米8高的防水,但电线和水管都没有埋藏而是明装,热水器也选了小小的一个,足够日常洗漱使用。
有趣的是,地面铺了瓷砖且架高做了蹲便器,因为砖和马桶都便宜,以后拆改更换倒是也不心疼。

家里的很多处地方,还养着大株小株的绿植,也同样是为了减轻毛坯房内的冰冷单调感,不得不说,绿植真的是室内软装的绝佳搭配,让这空间内显得生机勃勃。
【文末总结】

总之,这位湖南姑娘的复式毛坯房装修,在我看来还是挺舒服的,不仅该有的家具家电都有,同时还真带着点儿工业风的美感,若换做是你的话,你会愿意住进这样一个小家里生活吗?