保利世博天悦营销中心欢迎您-楼盘详情•最新价格-户型图-容积率-保利世博天悦售楼处电话(保利世博天悦)网站

嘉峪关楼市发布 2026-02-07 16:03:13
用手机看
扫描到手机,新闻随时看

扫一扫,用手机看文章
更加方便分享给朋友

保利世博天悦售楼处电话:400-8894-638

最新消息: 保利世博天悦售楼处电话:400-8894-638

一线滨江顶豪保利世博天悦火热认购中!推出76席臻藏房源,其中建面约240-251㎡4-5房主力总价3000-5000万,项目已经准现房呈现,二期预计明年4月交房。

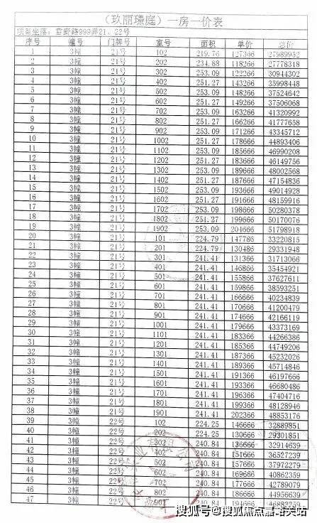
一房一价表如下:

保利世博天悦售楼处电话:400-8894-638

在3000万+,乃至上亿的赛道,世博天悦被顶豪人群高度青睐。

从日前公布的2025年上海高端项目最贵单价 和最贵总价T OP10榜单中,我们得以一窥端倪!

数据来源近两年开盘项目的一房一价表

我们先说最贵单价TOP10:

在这份排名中,最高与最低的跨度超过10万/㎡!

5 个项目的最贵单价超过20万/m² ;

3 个项目的最贵单价超过26万/m² ,其中:

一线滨江世博板块的保利世博天悦 (26.6万/m²)拔得头筹,成为2025年上海豪宅市场的 新晋王!

整体来看,在全球经济波动加剧的背景下,上海顶豪定价权正在向纽约、伦敦看齐,重塑全球资产价值坐标系!

而且,从这样的价格分布中不难发觉, 滨江豪宅正在改写传统上海顶豪的叙事规则!

保利世博天悦更是强势跻身第一梯队,甚至领先身位,带领上海乃至一线城市的顶尖资产向全球资产高地发起冲击!

世博天悦实拍图

为什么保利世博天悦能有这样的底气?

原因很简单,沪上最有钱的一批群体已经用真金白银坚定表明了自己的立场!

项目首开一周年热销 200亿全上海能卖这么高货值的豪宅屈指可数!

也是上海 罕见 均价17万/m²以上,单盘能卖到200亿的项目,大幅跑赢同期市面上绝大多数豪宅项目

再将时间轴往前移,从2023年至今上海豪宅单价超 20万/m² 的成交量排行中, 保利世博天悦 甚至力压 新天地、外滩、陆家嘴、苏河湾、徐汇滨江 等一众热门板块新盘, 问鼎上海豪宅之巅!

别墅产品未统计;网签有滞后,仅供参考

越贵越抢手,这就是保利世博天悦的底气所在!

这是上海顶豪市场的一次“戴维斯双击 ”,是保利世博天悦的登顶时刻,自此之后 一线滨江王者加冕,顶豪话语权交接 ,这就是上海楼市当前正在发生的改变...

还有一件非常重要,但很多人都还没注意到的事情,正在悄然发生

来看一组上海豪宅的真实网签统计数据:

别墅产品未统计;数据来源于上海房地产,网签数据有滞后

2024年至今,上海新房 总价超4000万 的房源成交量TOP10豪宅中

排在第1位的是黄浦滨江的外滩壹号院- 324

排在第2位的是外滩板块的金陵华庭- 157

排在第3位是新天地的上海壹号院- 132

入市刚满一年的保利世博天悦排在第4位-108套

但这并不是TA的全部实力,据悉,保利世博天悦整盘 总价4000万的房源超过220套 (还有部分未推售)

世博天悦实拍图

这就意味着,随着项目的持续发力,保利世博天悦在中国、在上海的地位只会越来越高,会有越来越多的高净值人群偏爱这里

毫无疑问,完全体的保利世博天悦将是 上海未来烫金的至奢圈层!

尤其是对比目前上海很多小社区豪宅只有100+套甚至更少的4000万+房源,未来在二手市场保利世博天悦将掌握绝对的 统治力话语权

这已经超脱出了一般豪宅的范畴,成为类似纽约One57 或伦敦海德公园1号 的 全球资产价值坐标,成为高净值人群的汇集的超级圈层!

世博天悦

3#楼火热认购中

站位更高端、产品更硬核

仅76席臻藏房源

建面约240-251m²4-5房

主力总价4000-5000万

更有建面约500㎡“隐藏户型”

项目已经准现房呈现

二期预计明年4月交房

OPUS ONE 500

“超亿俱乐部”王者降临

前面讲了2025年上海高端项目的最贵单价TOP10,接下来我们继续来看 最贵总价TOP10:

数据来源近两年开盘项目的一房一价表

总价上亿 的大宅总共有 4 个,分别是:

·新天地板块的上海壹号院 (约2.49亿元)

·一线滨江的陆家嘴太古源 (约1.8亿元)

·外滩板块的金陵华庭 (近1.7亿元)

·徐汇滨江的绿城潮鸣东方 (近1.54亿)

说实话,能进入上海“ 超亿俱乐部 ”的项目,无一不是上海顶级地段的顶级产品,TA们不仅代表着沪上居住空间的巅峰,更将会成为全球资产配置的战略选择

这其中的价值逻辑已超越房地产本身,成为观察中国经济韧性、高净值人群财富动向的核心窗口

作为全球资产价值坐标的保利世博天悦自然也不会缺席!

项目即将加推的3#楼爆出“ 一亿一宅 ”的“隐藏户型”,王者降临上海“超亿俱乐部”

建筑面积约500m²一线滨江巨幕平墅

上海塔尖圈层俯瞰世界的专属坐席

目前OPUS ONE 500 还处于保密阶段,小胖君给大家带来一手爆料:

·约35米L形巨幕观景台,双面瞰江带来前所未有的景观视野

示意效果图,过程稿仅供参考

相当于将 纽约432 Park 的顶层视野平移到了黄浦江, 这样的大国景观台,未来不会再有!

业主在家里一抬头便是以江景 和都市 为主题的巨幅油画!

从清晨到日暮,无论是晨雾中的江轮剪影 ,还是夜幕下的两岸华灯 , 每一扇窗都是一幅名画,每一平方米都是城市的注脚

保利世博天悦售楼处电话:400-8894-638 夜晚江景实拍

·4+1房&双豪华套房规制

OPUS ONE 500的双豪华套房尺度惊人,粗略预计面积均接近了 55

独立内玄关、阳台、起居厅、步入式衣帽间、双台盆浴缸卫生间 一应俱全,既考虑了空间感又保持了独立性,创造出了一个高度聚合又能彼此独立的家庭化空间, 尊贵私密空间在这里具象化!

·5个阳台,重新定义高端生活场景

客厅西侧的景观阳台 、双豪华套房南侧的生活阳台 (2个) 、北侧瞰江的空中花园露台 和书房阳台 ,在OPUS ONE 500, 保利将江景、花园、星空和社交,统统装进生活半径

这些都只是OPUS ONE 500冰山一角 ,还有诸如2梯1户 超大专属电梯厅 、超大尺度的宴会厅 等等,这里的每一处空间设计都让人眼前一亮!

示意效果图,过程稿仅供参考

毫不夸张地说,这座由 LSD葛亚曦 操刀打造的“空中行宫”带来的震撼,非真正亲临现场不能领略其绝代风采!

一个不是复制粘贴,而是从产品和格调上都量身定制的塔尖圈层专属席位 !

当然,除了OPUS ONE 500之外,保利世博天悦这次还推出了 240-251m²4-5房 ,户型设计同样一流

·建面约240㎡边套 ,采用L型转角落地窗,打造了 270°环幕瞰江视野 ,无论身处客厅、餐厅,都能以不同角度眺望黄浦江的波光粼粼

保利世博天悦售楼处电话:400-8894-638

240m²边套样板房实拍

·建面约251㎡中间套 , 整体瞰江面高达约14米 ,独有双层挑高露台,未来业主可以将其打造成为私家空中花园,在繁华都市中独享静谧自然

251m²中间套样板房实拍

保利世博天悦售楼处电话:400-8894-638

声明:本文由入驻焦点开放平台的作者撰写,除焦点官方账号外,观点仅代表作者本人,不代表焦点立场。