张江金茂府售楼处电话:4 00-8874-108✔【已认证】⭐⭐⭐⭐⭐ 张江金茂府营销中心电话:400-88
74-108✔✔【已认证】⭐⭐⭐⭐⭐ 上海张江金茂府官方售楼处电话:400-8874-10 8 VIPLINE✔✔✔【已认证】⭐⭐⭐⭐⭐
——张江金茂府——
张江金茂府售楼处电话:400-88 74-108✔【最新预约】⭐⭐⭐⭐⭐
张江金茂府营销中心电话:400-8874-10 8✔✔【最新认证】⭐⭐⭐⭐⭐
上海张江金茂府官方售楼处电话:400-8874-1 08 VIPLINE✔✔✔【最新发布】⭐⭐⭐⭐⭐
如有问题可来电咨询,线上售楼中心,预约销售专员,一对一为您服务!
想了解张江金茂府更多信息?拨打售楼处营销中心热线:400-8874-108 (中介勿扰)【24小时热线】
近期,金茂“风”席卷上海滩!
润雲金茂府,五次开盘日光
江湾金茂府,三开三捷
金茂棠前,推房五个批次,售罄


......
一出手就霸屏,一公开就火热,一开盘就热销,这就是金茂系的傲人实力!
去年6月28日, 张江金茂府首次开盘,创下13.2亿元热销佳绩, 为新政过后的上海新房市场锦上添花!(数据来源:案场系统)
当众多同行和竞品纷纷靠打折、分销苦苦支撑,张江金茂府出人意料地成为: 浦东同总价同单价的项目中,唯一一个没有开分销,首开去化率却最高的楼盘。

张江金茂府开盘现场
要知道,现在很多大牌房企项目首开也都得靠分销了,张江金茂府不用分销就取得这样优秀的成绩,业绩含金量极高。
在这充满不确定性的行情下,专打高端局的金茂团队,又一次靠强大操盘赢得市场。 9月27日,张江金茂府二批次盛大开盘,再度创下热销奇迹,劲销9成!
不出意外! 张江金茂府三批次洋房&叠墅再次热销,再现浦东“金茂府现象”。 尤其是叠加别墅,首次亮相就受到市场热捧,仅10个臻稀席位,开盘当日即售罄。
随后,四期叠墅再次被抢购一空,
毫不夸张的说, 张江金茂府主力总价600万级科技洋房,1300万级科技叠墅,是进阶改善不可错过的上车良机!

张江金茂府示范区实景图
市场下行,项目销售遇到了一定的冲击,但究其主因,还是地段偏远(实际位于浦东周康板块,距张江核心区域约10公里)、配套不完善等问题,导致购房者信心不足。
但项目通过优化产品配置(如科技系统升级、会所配套完善)、调整定价策略(折扣优惠、具体因户型而定)以及精准定位改善型需求,逐渐获得市场认可,销售明显回暖。
最新消息,项目五期开盘热卖中!
推售建面约94-100-135m²洋房
过会均价69019元/m²,总价569万起
建面约198m²下叠户型图:
建面约216m²下叠户型图:
建面约198中叠户型图:
建面约180m²上叠户型图:
地块回顾及规划
去年末,上海国际旅游度假区横沔开发建设管理有限公司摘得浦东新区上海国际旅游度假区西片区横沔城镇单元(02PD-0002-01)08-02地块(“城中村”改造项目—康桥镇横沔老街地块)。
该地块同时也是横沔玖境住宅项目二期地块,出让面积约6.06公顷,容积率约1.6,建筑面积约9.7万平方米,为普通商品房用地, 规划住宅套数下限960套据了解,该地块的指导价为6.8万/㎡!。
作为「横沔玖境」二期,地块就位于一期的西面,地处张江和迪士尼的交汇处,同时也位于国际旅游度假区西片区,距离迪士尼的直线距离只有约2公里。

张江金茂府系金茂“府”系3.0系迭代升级之作 ,将打造 “科技双核”、“社区五美”、“两配套两服务” 十一大维度入手,树立浦东科技人居的新标杆。

科技双核: 利用科技硬核,金茂府3.0继续 深度进阶12大科技系统与五衡科技等技术核心, 以对生活的深入洞察,打造更适合中国人的健康智慧社区。
硬核节能,将低碳理念全面贯穿到生命周期内,通过高性能外墙保温系统、可再生能源利用等硬核技术,与常规建筑相比整体设计节能约一半。

众所周知,买房的本质就是选择一种生活方式。
张江金茂府不仅是科技住宅, 更是双面环水的洋房+叠墅的滨水地块 ,所带来的居住体验,是普通高层社区所不能比拟的。
住进张江金茂府社区中,能以更低的生活成本,享受到更高的居住舒适度。

张江金茂府效果示意图
张江金茂府除了继承金茂府纯正科技住宅血统外,配备有建面约1800㎡会所和隐奢归家动线。
①高颜值+高质感,产品力极强!
整体外立面以 浅色香槟铝板线条、深色香槟铝板窗套搭配暖灰色真石漆 ,配色更具活力。

张江金茂府实拍图
叠墅立面设计上, 使用270°的幕墙与铝板 呈现时代公建化高颜气质,超高成本的中式铝板披檐及基座与横向石材干挂传递东方审美。
②两条隐奢归家动线,仪式感拉满!
地下动线: 打造 品质、颜值双升级的地下车库 ,将闲适的生活体验与高品质的追求融合一体。
地上动线: 雅奢 酒店式的入户大堂 +隐逸摩登都会的园林意境,层层递进,归家之路上,度假感扑面而来,是风景,亦是生活。
园林景观呈现得更加完整,参考江南民居 “四水归堂” 合围而成的庭院,勾勒出一幅动人的中国传统山水画卷。

张江金茂府会所实景图
③配备同级罕见建面约1800㎡会所!
张江金茂府深谙高净值人群生活、休闲、社交等需求,将高端质感与多功能实用场域相结合,描摹6STAR体系,打造高定星质会所。
这里是圈层进阶的社交场,更是分享志趣和品味的绝佳之处,涵盖商务会晤、私密洽谈、泳池畅游、瑜伽健身、品茗休闲、儿童天地等多元功能。

张江金茂府示范区实景图
项目以 星级标准打造恒温双泳池。
特别贴心为低年龄段业主设计了独立儿童泳池,与主泳池分开,让小朋友享受畅游乐趣的同时确保安全。

张江金茂府会所实景图
会所内健身区的功能包括有氧区、器械区、瑜伽区,设备同步五星级酒店健身器材配置,满足业主们未来的各种健身需求。
值得一提的是,项目为喜欢舒缓运动的人士设计了兰心瑜伽室,在这里静下心来,收获内心的充实与安宁。


张江金茂府会所实景图
除了之外,未来还能在 中央洽谈区 进行邻里交流,举手投足间尽显优雅品味,这样的空间设计既有排面,也很实用,相当于业主的第二客厅。
会所内配置高定红酒雪茄室、棋牌室 ,约上三两好友,在此闲聊畅谈,或者有商务沟通,工作交流都可以预约使用。
这不仅能带来丰富的精神生活享受,更是身份的象征。


张江金茂府会所实景图
会所还拥有 下沉水景庭院 ,与周围建筑融为一体,以静水、原石、浮桥、古树、自然微地形为精神媒介,将自然与松弛感带给社区。

张江金茂府会所实景图
生活配套
交通方面: 三轨交汇,国际化交通格局:11号线康新公路站(直线距离约2.5km)、21号线申江南路站在建(直线距离约1km)以及机场联络线张江站在建(直线距离约2km)!价值更高!出行更加便利!

示意图
同时依托于度假区高架贯穿南北,还可便捷通达整个上海!
商业方面: 项目规划约20万方滨水商业体,结合人文、艺术、历史街区,融入酒店、餐饮、艺术、娱乐等多元业态为一体,与新一代消费中心融合共生,为上海地标文化增添注脚。
此外,项目近邻迪士尼小镇(约1.2km)、比斯特购物村(约1.2km)、costco浦东店(约2.7km)、长泰广场(约7km);可快速抵达万科复地活力城商圈、前滩太古里、陆家嘴八佰伴商圈等。
教育方面: 上海民办华曜浦东实验学校【原浦东华二】(直距项目约1.2KM)、上海光华学院剑桥国际中心(直距项目约2KM)、上海尙德实验学校(直距项目约4KM)、上海英国学校(直距项目约5.4KM);
温馨提示:预售新房不做学区规划承诺,以相关部门公示信息为准。相关规划均来源于政府公示,不应作为交付承诺。

上海民办华曜浦东实验学校实景图
医疗方面: SIMC上海国际医学中心,距离项目直线距离约4KM,为新加坡IHH集团旗下百汇医疗集团按照国际联合委员会以国际化医疗视野、现代化服务和标准化医学管理的大型综合性医院。

SIMC上海国际医学中心实景图
生态休闲: 约6平方公里原生水乡,涵养国际诗意栖居,500米范围内,益大本草园、康桥生态园。3公里范围内,上海薰衣草公园、迪士尼星愿湖、周浦花海等丰盈生态。

张江金茂府售楼处电话:4 00-8874-108✔【已认证】⭐⭐⭐⭐⭐
张江金茂府营销中心电话:400-88 74-108✔✔【已认证】⭐⭐⭐⭐⭐
上海张江金茂府官方售楼处电话:400-8874-10 8 VIPLINE✔✔✔【已认证】⭐⭐⭐⭐⭐
如有问题可来电咨询,线上售楼中心,预约销售专员,一对一为您服务!
想了解张江金茂府更多信息?拨打售楼处营销中心热线:400-8874-108 (中介勿扰)【24小时热线】
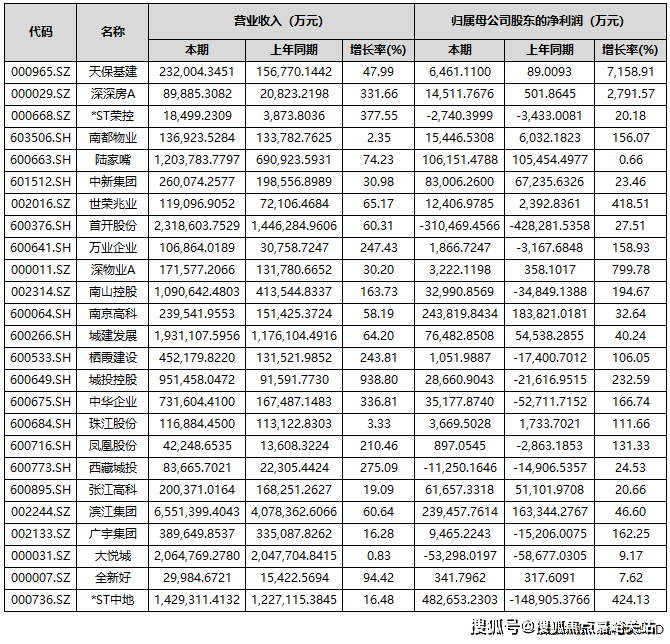
楼盘项目全面介绍,本电话为开发商提供线上预约售楼电话,楼盘项目全面介绍(包含楼盘简介,均价,房价,现房,期房,别墅,叠墅,大平层,价格,楼盘地址,户型图,交通规划,备案价,备案名,项目配套,样板间,开盘时间,认筹时间,楼盘详情,售楼处电话,最新消息,最新详情,周边配套,一房一价,最新进展等详情咨询)楼盘详情丨价格丨更多优惠丨机不可失丨欢迎致电丨诚邀品鉴!售楼处位置丨特价房丨工抵房丨剩余房源丨户型图丨最新消息丨免责声明:将文章内容综合来源于网络、只作分享,版权归原作者所有!!如有侵权,请联系我们,我们第一时间处理如有问题欢迎来电咨询,专业一对一热情服务,让您用专业眼光去买房.如果您想了解更多楼盘详情,欢迎提前预约拨打 中房网根据同花顺iFinD数据统计,截至10月31日,A股共有85家上市房企披露2025年三季度业绩报告。其中,超4成房企营收实现同比增长;43家房企实现盈利,占比超五成;归母净利润实现同比增长的房企共有37家,占比为43.53%。
自2022年起,房地产行业业绩承压态势已延续数年。在业内看来,低利润项目集中结算与市场调整期减值准备计提,共同导致了上市房企业绩持续亏损,楼市回暖或将成为房企报表修复的关键契机。
超4成房企营收同比增长
从上市房企三季度报告来看,营收实现同比增长的房企共有36家,占比为42.35%;营收同比下滑的有49家,占比57.65%。
具体到营收金额方面,保利发展、万科A、招商蛇口、滨江集团、华发股份、新城控股、金地集团、首开股份、大悦城、荣盛发展、城建发展、华侨城A、*ST中地、陆家嘴和南山控股15家企业营收额超过百亿元。其中,保利发展、万科A和招商蛇口分别以1737.2亿元、1613.9亿元和897.66亿元的营收居于A股上市房企前三位。

部分头部房企亏损较大
归母净利润方面,前三季度共有43家房企实现盈利,占比超过五成。
其中,有7家房企归母净利润超过10亿元,分别是*ST中地、招商蛇口、南京高科、滨江集团、保利发展、上海临港和陆家嘴。

上述房企中,*ST中地(中交地产)的表现较为亮眼。三季报数据显示,公司前三季度营收达142.93亿元,同比增长16.48%;实现净利润48.27亿元,扭亏为盈,同比大幅增长424.13%。
作为一家“披星戴帽”的房企,其账面盈利的核心驱动力来自重大资产重组。今年6月,*ST 中地公告称,计划将旗下房地产开发业务相关的全部资产与负债,转让给控股股东中交房地产集团有限公司。这一重组事项在8月31日完成实质资产交接,房地产业务自此正式退出公司合并报表范围。
据悉,资产重组为* ST中地带来64.89亿元的资产置出相关收益,这一数据直接拉动了当期利润表现,同时推动归属于上市公司股东的净资产转正至12.48亿元。
让人唏嘘的是,三季度业绩亮眼的房企,恰恰是已经退出房地产开发业务的那家。
值得注意的是,期内部分龙头房企归母净利润出现较大亏损,如万科、*ST金科、华夏幸福等。
数据显示,今年前三季度,万科实现营业收入1613.9亿元,同比下滑16.61%;归属于上市公司股东的净亏损280.2亿元,同比下滑56.14%。
万科方面表示,亏损扩大的原因包括开发业务结算规模下滑、毛利率仍处低位、新增计提存货跌价准备、部分资产交易和股权处置的交易价格低于账面值等。
另一亏损规模超百亿的为*ST金科。前三季度,金科实现营业总收入56.99亿元,同比下滑73.57%;归母净利润亏损107.78亿元,同比下滑102.12%。
还有华夏幸福,其亏损规模也近百亿。前三季度,公司营业收入为38.82亿元,同比下降72.09%,归属于上市公司股东的净利润亏损98.29亿元,同比下滑338.67%。
25家房企实现营收和归母净利润双增
前三季度有25家房企实现了营收和归母净利润的双增长。

有37家房企实现归母净利润实现同比正增长。其中,天保基建、深深房A、深物业A、渝开发、*ST中地、世荣兆业、城投控股、南山控股、中华企业、广宇集团、万业企业、南都物业、新黄浦、凤凰股份、中洲控股、珠江股份、栖霞建设17家房企前三季度的归母净利润增长超过100%。
其中,天保基建前三季度归属于上市公司股东的净利润增幅最大,为7158.91%。天保基建表示,业绩增长主要得益于报告期内满足收入结转条件的项目增加,以及冲回的土地增值税增加和资产减值损失减少。
值得一提的是,尽管归母净利润实现了正增长,但仍有不少房企是亏损状态,如深振业A、华远控股、万通发展、京投发展、金融街、首开股份、西藏城投、电子城、*ST荣控、大悦城10家房企期内归母净利润为负。

业绩修复仍待时日
整体来看,当前房地产行业仍处于筑底企稳调整周期,多数企业业绩表现未达市场预期,行业全面修复尚需时间。
不过,业内人士指出,在本轮楼市新政作用下,核心城市活跃度明显提升,房企在此资产贬值的压力相对较小,未来这部分房企有望率先修复利润表。多家企业也表示,通过在核心城市拿利润较高的项目,逐步带动利润表的修复。
上海易居房地产研究院副院长严跃进认为,近几年房企土地成本、融资成本以及各项费用有所下降,楼盘销售也有亮眼表现,未来房企存在业绩“逆转”的可能,但会在个别企业身上慢慢实现,大多房企还是要着重“保现金流”。