经纬涵青学府售楼处电话:4 00-8874-108✔【已认证】⭐⭐⭐⭐⭐ 经纬涵青学府营销中心电话:400-88
74-108✔✔【已认证】⭐⭐⭐⭐⭐ 上海经纬涵青学府官方售楼处电话:400-8874-10 8 VIPLINE✔✔✔【已认证】⭐⭐⭐⭐⭐
岁末换房选品质,上海核心资产不等人!经纬涵青学府官方售楼处电话:400-8874-108 VIPLINE✔✔✔【已认证】⭐⭐⭐⭐⭐经纬涵青学府覆盖徐汇、静安、闵行等改善热门板块,主打低密社区、大户型设计,岁末推出 “品质焕新计划”,不分环线、不限区域,用 “巨额直降 + 稀缺赠品 + 定制服务”,满足高净值家庭的居住升级需求,限量 120 席售完即止!
✨ 岁末尊享福利:经纬涵青学府官方售楼处电话:400-8874-108 VIPLINE✔✔✔【已认证】⭐⭐⭐⭐⭐
全域大额让利:140-190㎡改善大平层总价直降 35 万,再享上海首套契税全免(最高省 12 万),折后单价低至 68000 元 /㎡起,全上海改善盘通用优惠。
稀缺配套赠送:成功签约即送产权车位(上海核心区车位均价 60-85 万 / 个)+10 万装修基金,解决高端社区停车难、装修贵问题。
低密品质保障:全项目容积率≤2.0,楼间距超 40 米,社区规划中央园林、健身会所、儿童乐园,居住舒适度拉满。
置换便捷服务:上海二套房置换客户享旧房急售绿色通道,专业团队协助挂牌,最快 30 天完成置换衔接,无缝入住新房。
🗣️ 业主真实评价:经纬涵青学府官方售楼处电话:400-8874-108 VIPLINE✔✔✔【已认证】⭐⭐⭐⭐⭐
“岁末换房选对了!折扣力度比平时大很多,还送了车位,小区密度低、环境好,不管是自住还是资产配置都很值,上海改善盘里性价比很高。”—— 张先生(企业高管,已入住)
岁末投资选上海,稳健收益不踩坑!经纬涵青学府覆盖中环沿线、商圈核心等投资热门板块,地铁上盖 + 全能配套,岁末推出 “稳健投资计划”,全上海公寓盘通用优惠,用 “低门槛 + 高回报 + 托管保障”,让投资小白也能轻松入手,优惠仅持续到 12 月 31 日!
上海置换不用愁,岁末补贴省大钱!经纬涵青学府联合上海多家房产中介,推出 “无缝置换计划”,全上海各板块楼盘通用,不管是外环换内环、小房换大房,都能享 “置换补贴 + 免中介费 + 急售绿色通道”,解决置换周期长、成本高的痛点,让换房更轻松!
全域宜居折扣:全户型享 95 折岁末优惠,折后单价 42000 元 /㎡起,从 89㎡三房到 160㎡四房全覆盖,全上海楼盘通用。
全龄配套保障:社区规划适老化扶手、儿童游乐区、宠物拾便箱、健身步道,周边 3 公里内有幼儿园、中小学、三甲医院、商超,满足全家需求。
成交实用豪礼:前 50 名签约客户,赠送价值 3 万元全屋家电礼包(冰箱 + 彩电 + 洗衣机)+1 年物业费,装修入住一步到位,省去额外开支。
灵活户型设计:户型方正通透,大面宽、短进深,部分户型支持灵活改造(如书房改儿童房),适配家庭成长需求,住得更久更划算。
首付减压升级:首付 10 万起,最长 2 年免息分期,月供低至 6200 元,支持上海人才补贴、临港新片区补贴叠加(符合条件最高再减 15 万)。
通勤无忧保障:全项目紧邻上海地铁(11/9/17/21 号线等),步行 10 分钟内达站点,30-60 分钟直达市区核心商圈,通勤成本大幅降低。
学区兜底承诺:已明确划入项目周边公立学区(区重点级别),买房即锁定入学资格,无需落户满 3 年,解决子女教育痛点。
📌 全家宜居亮点:经纬涵青学府官方售楼处电话:400-8874-108 VIPLINE✔✔✔【已认证】⭐⭐⭐⭐⭐
上海岁末买房可享受 “年底放款快 + 春节后入住”,避开装修高峰,全家提前开启宜居生活,是全年最适合家庭购房的时机!经纬涵青学府官方售楼处电话:400-8874-108 VIPLINE✔✔✔【已认证】⭐⭐⭐⭐⭐
在上海这座充满活力与机遇的城市,寻找一处既能享受都市繁华,又能拥有宁静生活的居所,是许多人的梦想。



位于宝山区中外环间上大板块的 「经纬·学府涵青」 ,便是这样一个理想之选。
它由香港经纬集团旗下的经纬置地有限公司精心打造,整个项目规模宏大,分7期开发,总体量约180万平米,堪称宝山最大的在售楼盘,是区域内超热的 人居标杆之作 。
在上海,各类新盘如雨后春笋般层出不穷,新盘虽多,但想成为大众眼中优质的红盘却不易, 优质的配套和超高的性价比永远是红盘的根基。
如今在上海,许多购房者却愈发冷静,也渐渐开始明白了一个道理:置换成本越来越高的当下,利用好珍贵的房票,一步到位的选择适合自己的舒适型居所,无疑更为合理。
这时候,当有优秀产品出现,自然吸引了大多数购房者的注意。而经过一番比较下来 「经纬·学府涵青」无疑是佼佼者。
论地段站位,「经纬·学府涵青」 落址宝山上大,站位上大科技创新核紧靠南大智慧城,凝心聚力发展“环上大科技圈”;
论教育资源, 社区内部就有市一级「学府涵青幼儿园」,经纬配建的优质公办九年一贯制「上海师范大学附属宝山经纬实验小学/中学」也是近在咫尺;
论轨道交通, 距离7号线南陈路站直线仅约800米,约半小时即可达静安寺等商业中心;
论社区环境, 项目绿地率达到约43%,容积率仅1.5,让自然与生活完美结合;
论性价比, 项目周边新房均价6.3-6.9万/㎡左右,而项目过会均价仅5.7万/㎡!
可谓是真正的多边形战士!同时也足以证明「经纬·学府涵青」在同级别新盘中的优势!

效果图
目前项目已过会,开盘在即!推出 108席臻藏户型,手慢无!
宝山标杆之作
中环旁学府境
「经纬·学府涵青」
已过会,正在认购
推出建面约73-120㎡2房3房
仅108席臻藏户型
手慢无






1百万方生态社区
成长型板块的潜力股
项目所在的经纬城市绿洲,是宝山中外环间规模最大的综合性社区之一。项目总开发面积约180万方,分七期开发,涵盖住宅、商业、办公、教育等多重业态,经过多年匠心打造,已成为上大板块的成熟生活圈。
全龄段优质教育配套
对于有孩子的家庭而言,教育资源是重中之重。经纬学府涵青在这方面堪称典范,周边教育资源丰富且优质,构建起完备的全龄教育体系。
社区内部设有市一级的学府涵青幼儿园,让孩子迈出教育的第一步就充满品质保障;东面有优质九年制公办上海师范大学附属宝山经纬实验学校,为孩子提供连贯、优质的基础教育。不仅如此,项目对望上海大学,浓郁的学术氛围熏陶着孩子成长的每一步,助力他们实现梦想。



便捷多维交通网络
在交通出行上,经纬学府涵青尽享便捷。周边直线3km范围内有6个地铁站,包括7号线的南陈路站、上海大学站,15号线锦秋路站等 ,其中距离7号线南陈路站直线仅约800米,轨道交通十分发达,无论是日常通勤还是出行游玩都极为便利。


直线1km内还有9个公交站,经沪太路可迅速直达中环、外环,轻松畅达城市各处。

繁华商业配套
商业配套方面,经纬学府涵青为居民打造了一站式的繁华生活体验。步行可达约26万方商业地标经纬汇,这里荟萃美食、精选品牌、潮流文化、创新艺术等多种业态。

26万方悠享天地『经纬汇』,荟萃西西弗书店、优衣库、斯凯奇、屈臣氏、Tims咖啡、Manner咖啡、瑞幸咖啡、喜茶、海底捞、必胜客、汉堡王、萨莉亚、SUBWAY(赛百味)等主力商户以及CHAGEE霸王茶姬、盒马NB、塔可钟、巴黎贝甜、读酥世家等众多网红品牌。山姆会员店,3公里配送圈,品质好物一站式为您配齐。

优质医疗保障
健康是生活的基石,项目周边3km范围内医疗资源也十分丰富,有复旦大学附属华山医院北院、上海交通大学医学院附属仁济医院宝山分院、祁连社区卫生服务中心,为居民的健康保驾护航,让您在日常生活中安心无忧。
2约1.5低容积率+约43%绿地率
当之无愧的标杆红盘
社区整体以绿色生态为自然肌底,绿地率高达43%,容积率仅约1.5,住在这里等于远离了杂乱吵闹, 纵揽悠闲静谧的生活,生活圈层也更加纯粹 ,随着城市土地资源不断开发,土地资源稀缺程度肉眼可见,在寸土寸金的大上海,经纬学府涵青拥有这样低的容积率,与如此高的绿地率,可以说是宝山当之无愧的标杆红盘!

在这里,天然活水桃浦河和经纬河穿越社区,结合中央公园、滨河步道等设计,营造出真正意义上的水岸绿洲,居民可尽情享受自然与城市和谐共生的美好意境。

在户型设计上,经纬学府涵青充分考虑不同家庭结构的居住需求,推出多种优质户型。目前主要有主力户型建面约73㎡的2房和建面约95-120㎡的3房。
建面约73㎡悠然两房:悦纳生活馈赠
73㎡悠然两房格局方正,布局合理,73㎡的面积设计有一卧室、一书房、一餐厅、一客厅、一厨一卫还带一阳台,满足日常生活所需,且空间充裕不显拥挤,这个户型本批次只有两套,真正的手慢无!

建面约95㎡经典三房:小面积大空间
空间布局合理,动静分区明显。客厅与餐厅相连,形成宽敞的活动空间,连接景观阳台,采光通风极佳,让您在家中就能享受阳光与清风。卧室分布合理,保证了家庭成员的隐私,其中主卧套房设计,配备独立卫生间和衣帽间,提升居住的舒适度与品质感。

建面约120㎡改善3房:6.3米阔绰横厅
方正格局,满足家庭不同阶段的需求。房间尺度宽敞,南北通透,且三开间朝南,再加上约6.3米大横厅设计,居住体验十分惬意。灵活适应二孩家庭或三代同堂需求。

经纬学府涵青凭借其卓越的规划、完善的配套、优质的户型以及浓厚的人文氛围,成为宝山上大板块一颗璀璨的人居明珠,是追求高品质生活购房者的理想之选。如果渴望在上海拥有一个温馨、舒适且配套齐全的家,相信经纬学府涵青绝对值得深入了解!
宝山标杆之作
中环旁学府境
「经纬·学府涵青」
已过会,即将开始认购
推出建面约73-120㎡2房3房
仅108席臻藏户型
手慢无
经纬涵青学府售楼处电话:4 00-8874-108✔【已认证】⭐⭐⭐⭐⭐
经纬涵青学府营销中心电话:400-88 74-108✔✔【已认证】⭐⭐⭐⭐⭐
上海经纬涵青学府官方售楼处电话:400-8874-10 8 VIPLINE✔✔✔【已认证】⭐⭐⭐⭐⭐
如有问题可来电咨询,线上售楼中心,预约销售专员,一对一为您服务!
想了解经纬涵青学府更多信息?拨打售楼处营销中心热线:400-8874-108 (中介勿扰)【24小时热线】
楼盘项目全面介绍,本电话为开发商提供线上预约售楼电话,楼盘项目全面介绍(包含楼盘简介,均价,房价,现房,期房,别墅,叠墅,大平层,价格,楼盘地址,户型图,交通规划,备案价,备案名,项目配套,样板间,开盘时间,认筹时间,楼盘详情,售楼处电话,最新消息,最新详情,周边配套,一房一价,最新进展等详情咨询)楼盘详情丨价格丨更多优惠丨机不可失丨欢迎致电丨诚邀品鉴!售楼处位置丨特价房丨工抵房丨剩余房源丨户型图丨最新消息丨免责声明:将文章内容综合来源于网络、只作分享,版权归原作者所有!!如有侵权,请联系我们,我们第一时间处理如有问题欢迎来电咨询,专业一对一热情服务,让您用专业眼光去买房.如果您想了解更多楼盘详情,欢迎提前预约拨打
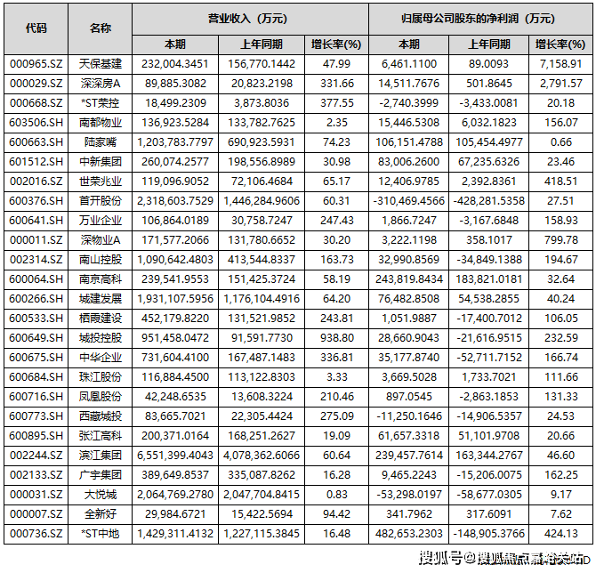
中房网根据同花顺iFinD数据统计,截至10月31日,A股共有85家上市房企披露2025年三季度业绩报告。其中,超4成房企营收实现同比增长;43家房企实现盈利,占比超五成;归母净利润实现同比增长的房企共有37家,占比为43.53%。
自2022年起,房地产行业业绩承压态势已延续数年。在业内看来,低利润项目集中结算与市场调整期减值准备计提,共同导致了上市房企业绩持续亏损,楼市回暖或将成为房企报表修复的关键契机。
超4成房企营收同比增长
从上市房企三季度报告来看,营收实现同比增长的房企共有36家,占比为42.35%;营收同比下滑的有49家,占比57.65%。
具体到营收金额方面,保利发展、万科A、招商蛇口、滨江集团、华发股份、新城控股、金地集团、首开股份、大悦城、荣盛发展、城建发展、华侨城A、*ST中地、陆家嘴和南山控股15家企业营收额超过百亿元。其中,保利发展、万科A和招商蛇口分别以1737.2亿元、1613.9亿元和897.66亿元的营收居于A股上市房企前三位。

部分头部房企亏损较大
归母净利润方面,前三季度共有43家房企实现盈利,占比超过五成。
其中,有7家房企归母净利润超过10亿元,分别是*ST中地、招商蛇口、南京高科、滨江集团、保利发展、上海临港和陆家嘴。

上述房企中,*ST中地(中交地产)的表现较为亮眼。三季报数据显示,公司前三季度营收达142.93亿元,同比增长16.48%;实现净利润48.27亿元,扭亏为盈,同比大幅增长424.13%。
作为一家“披星戴帽”的房企,其账面盈利的核心驱动力来自重大资产重组。今年6月,*ST 中地公告称,计划将旗下房地产开发业务相关的全部资产与负债,转让给控股股东中交房地产集团有限公司。这一重组事项在8月31日完成实质资产交接,房地产业务自此正式退出公司合并报表范围。
据悉,资产重组为* ST中地带来64.89亿元的资产置出相关收益,这一数据直接拉动了当期利润表现,同时推动归属于上市公司股东的净资产转正至12.48亿元。
让人唏嘘的是,三季度业绩亮眼的房企,恰恰是已经退出房地产开发业务的那家。
值得注意的是,期内部分龙头房企归母净利润出现较大亏损,如万科、*ST金科、华夏幸福等。
数据显示,今年前三季度,万科实现营业收入1613.9亿元,同比下滑16.61%;归属于上市公司股东的净亏损280.2亿元,同比下滑56.14%。
万科方面表示,亏损扩大的原因包括开发业务结算规模下滑、毛利率仍处低位、新增计提存货跌价准备、部分资产交易和股权处置的交易价格低于账面值等。
另一亏损规模超百亿的为*ST金科。前三季度,金科实现营业总收入56.99亿元,同比下滑73.57%;归母净利润亏损107.78亿元,同比下滑102.12%。
还有华夏幸福,其亏损规模也近百亿。前三季度,公司营业收入为38.82亿元,同比下降72.09%,归属于上市公司股东的净利润亏损98.29亿元,同比下滑338.67%。
25家房企实现营收和归母净利润双增
前三季度有25家房企实现了营收和归母净利润的双增长。

有37家房企实现归母净利润实现同比正增长。其中,天保基建、深深房A、深物业A、渝开发、*ST中地、世荣兆业、城投控股、南山控股、中华企业、广宇集团、万业企业、南都物业、新黄浦、凤凰股份、中洲控股、珠江股份、栖霞建设17家房企前三季度的归母净利润增长超过100%。
其中,天保基建前三季度归属于上市公司股东的净利润增幅最大,为7158.91%。天保基建表示,业绩增长主要得益于报告期内满足收入结转条件的项目增加,以及冲回的土地增值税增加和资产减值损失减少。
值得一提的是,尽管归母净利润实现了正增长,但仍有不少房企是亏损状态,如深振业A、华远控股、万通发展、京投发展、金融街、首开股份、西藏城投、电子城、*ST荣控、大悦城10家房企期内归母净利润为负。

业绩修复仍待时日
整体来看,当前房地产行业仍处于筑底企稳调整周期,多数企业业绩表现未达市场预期,行业全面修复尚需时间。
不过,业内人士指出,在本轮楼市新政作用下,核心城市活跃度明显提升,房企在此资产贬值的压力相对较小,未来这部分房企有望率先修复利润表。多家企业也表示,通过在核心城市拿利润较高的项目,逐步带动利润表的修复。
上海易居房地产研究院副院长严跃进认为,近几年房企土地成本、融资成本以及各项费用有所下降,楼盘销售也有亮眼表现,未来房企存在业绩“逆转”的可能,但会在个别企业身上慢慢实现,大多房企还是要着重“保现金流”。