明园森林都市售楼处电话:4 00-8874-108✔【已认证】⭐⭐⭐⭐⭐ 明园森林都市营销中心电话:400-88
74-108✔✔【已认证】⭐⭐⭐⭐⭐ 上海明园森林都市官方售楼处电话:400-8874-10 8 VIPLINE✔✔✔【已认证】⭐⭐⭐⭐⭐
——明园森林都市——
明园森林都市售楼处电话:400-88 74-108✔【最新预约】⭐⭐⭐⭐⭐
明园森林都市营销中心电话:400-8874-10 8✔✔【最新认证】⭐⭐⭐⭐⭐
上海明园森林都市官方售楼处电话:400-8874-1 08 VIPLINE✔✔✔【最新发布】⭐⭐⭐⭐⭐
如有问题可来电咨询,线上售楼中心,预约销售专员,一对一为您服务!
想了解明园森林都市更多信息?拨打售楼处营销中心热线:400-8874-108 (中介勿扰)【24小时热线】
静安区 内中环 正大宁
上海核心区域 潜力兑现地段
1号线汶水路地铁站700米
「明园森林都市·叠翠苑」
少量建面约260-280㎡大平层
均价10.5万/㎡,精装现房交付




户型图:


样板间实景图




项目外立面由铝板与卡拉麦里金石材组合打造,既有金属的质感,又有石材的厚重,历久弥新。

社区景观方面,聘请美国TOPO建筑环境设计,把“水景”玩出了层次:入口处的跳泉广场,中部的湿地花园,还有400米的林荫慢跑道,春天梧桐叶筛下阳光,秋天银杏铺成地毯,每一步都是“把公园搬回家”的体验。

归家的仪式感,藏在细节里。
每栋楼的入户大堂,6.8米的挑高空间,玉石地面泛着温润的光;
人脸可视对讲系统,既安全又保留了“有人等候”的温度;
360°无死角的监控,让业主从进门的那一刻就放下所有戒备——这里的安全感,不是“监控无死角”的冰冷,而是“被妥帖照顾”的安心。

装修细节上,选用国际一线品牌。
乔治·费歇尔的全屋地暖,大金的中央空调,从新风系统到净水装置,连垃圾处理器都藏着“不想让生活被琐事打扰”的体贴;
德国Miele的厨具五件套,嘉格纳冰箱、当代水龙头、汉斯格雅淋浴……生活品质在线。

地段配套上,项目位于中环内核心。
近南北高架却不临喧嚣,既享受着“15分钟城市圈”的便利(步行到1号线汶水路站仅800米),又坐拥大宁“千亿级产业+150万方商业+全龄教育医疗”的成熟配套。

项目西侧就是南北高架,汶水路路口直接上高架;直线1公里内,1号线汶水路站就在步行范围内。
项目周边从生活配套到高端商场到大型商超,应有尽有。无论是周边的烟火气,还是大宁的高端购物中心,全部囊括。
150万方的成熟商圈,大宁久光的高端商场、大宁国际的烟火气、协信星光的品牌折扣、大宁音乐广场的文艺小店……不用跨区,下楼就能满足所有生活需求。

产业硬核,隔壁的市北高新园区,藏着上海大数据产业的“半壁江山”——全市近1/3的大数据核心企业都在这儿,金融、医疗、教育、交通……未来这里的产业能量还在爆发,住在叠翠苑,不仅是住“家”,更是住“潜力股”。
教育医疗主打安心。大宁国际幼儿园、大宁国际小学、风华初级中学,名校环伺;三甲医院、康复专科就在周边,黄金8分钟的健康圈,让“看病难”变成“看病近”——对注重家庭的高净值人群来说,这大概是最踏实的“安全感”。

明园森林都市售楼处电话:4 00-8874-108✔【已认证】⭐⭐⭐⭐⭐
明园森林都市营销中心电话:400-88 74-108✔✔【已认证】⭐⭐⭐⭐⭐
上海明园森林都市官方售楼处电话:400-8874-10 8 VIPLINE✔✔✔【已认证】⭐⭐⭐⭐⭐
如有问题可来电咨询,线上售楼中心,预约销售专员,一对一为您服务!
想了解明园森林都市更多信息?拨打售楼处营销中心热线:400-8874-108 (中介勿扰)【24小时热线】
楼盘项目全面介绍,本电话为开发商提供线上预约售楼电话,楼盘项目全面介绍(包含楼盘简介,均价,房价,现房,期房,别墅,叠墅,大平层,价格,楼盘地址,户型图,交通规划,备案价,备案名,项目配套,样板间,开盘时间,认筹时间,楼盘详情,售楼处电话,最新消息,最新详情,周边配套,一房一价,最新进展等详情咨询)楼盘详情丨价格丨更多优惠丨机不可失丨欢迎致电丨诚邀品鉴!售楼处位置丨特价房丨工抵房丨剩余房源丨户型图丨最新消息丨免责声明:将文章内容综合来源于网络、只作分享,版权归原作者所有!!如有侵权,请联系我们,我们第一时间处理如有问题欢迎来电咨询,专业一对一热情服务,让您用专业眼光去买房.如果您想了解更多楼盘详情,欢迎提前预约拨打
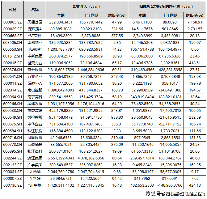
中房网根据同花顺iFinD数据统计,截至10月31日,A股共有85家上市房企披露2025年三季度业绩报告。其中,超4成房企营收实现同比增长;43家房企实现盈利,占比超五成;归母净利润实现同比增长的房企共有37家,占比为43.53%。
自2022年起,房地产行业业绩承压态势已延续数年。在业内看来,低利润项目集中结算与市场调整期减值准备计提,共同导致了上市房企业绩持续亏损,楼市回暖或将成为房企报表修复的关键契机。
超4成房企营收同比增长
从上市房企三季度报告来看,营收实现同比增长的房企共有36家,占比为42.35%;营收同比下滑的有49家,占比57.65%。
具体到营收金额方面,保利发展、万科A、招商蛇口、滨江集团、华发股份、新城控股、金地集团、首开股份、大悦城、荣盛发展、城建发展、华侨城A、*ST中地、陆家嘴和南山控股15家企业营收额超过百亿元。其中,保利发展、万科A和招商蛇口分别以1737.2亿元、1613.9亿元和897.66亿元的营收居于A股上市房企前三位。

部分头部房企亏损较大
归母净利润方面,前三季度共有43家房企实现盈利,占比超过五成。
其中,有7家房企归母净利润超过10亿元,分别是*ST中地、招商蛇口、南京高科、滨江集团、保利发展、上海临港和陆家嘴。

上述房企中,*ST中地(中交地产)的表现较为亮眼。三季报数据显示,公司前三季度营收达142.93亿元,同比增长16.48%;实现净利润48.27亿元,扭亏为盈,同比大幅增长424.13%。
作为一家“披星戴帽”的房企,其账面盈利的核心驱动力来自重大资产重组。今年6月,*ST 中地公告称,计划将旗下房地产开发业务相关的全部资产与负债,转让给控股股东中交房地产集团有限公司。这一重组事项在8月31日完成实质资产交接,房地产业务自此正式退出公司合并报表范围。
据悉,资产重组为* ST中地带来64.89亿元的资产置出相关收益,这一数据直接拉动了当期利润表现,同时推动归属于上市公司股东的净资产转正至12.48亿元。
让人唏嘘的是,三季度业绩亮眼的房企,恰恰是已经退出房地产开发业务的那家。
值得注意的是,期内部分龙头房企归母净利润出现较大亏损,如万科、*ST金科、华夏幸福等。
数据显示,今年前三季度,万科实现营业收入1613.9亿元,同比下滑16.61%;归属于上市公司股东的净亏损280.2亿元,同比下滑56.14%。
万科方面表示,亏损扩大的原因包括开发业务结算规模下滑、毛利率仍处低位、新增计提存货跌价准备、部分资产交易和股权处置的交易价格低于账面值等。
另一亏损规模超百亿的为*ST金科。前三季度,金科实现营业总收入56.99亿元,同比下滑73.57%;归母净利润亏损107.78亿元,同比下滑102.12%。
还有华夏幸福,其亏损规模也近百亿。前三季度,公司营业收入为38.82亿元,同比下降72.09%,归属于上市公司股东的净利润亏损98.29亿元,同比下滑338.67%。
25家房企实现营收和归母净利润双增
前三季度有25家房企实现了营收和归母净利润的双增长。

有37家房企实现归母净利润实现同比正增长。其中,天保基建、深深房A、深物业A、渝开发、*ST中地、世荣兆业、城投控股、南山控股、中华企业、广宇集团、万业企业、南都物业、新黄浦、凤凰股份、中洲控股、珠江股份、栖霞建设17家房企前三季度的归母净利润增长超过100%。
其中,天保基建前三季度归属于上市公司股东的净利润增幅最大,为7158.91%。天保基建表示,业绩增长主要得益于报告期内满足收入结转条件的项目增加,以及冲回的土地增值税增加和资产减值损失减少。
值得一提的是,尽管归母净利润实现了正增长,但仍有不少房企是亏损状态,如深振业A、华远控股、万通发展、京投发展、金融街、首开股份、西藏城投、电子城、*ST荣控、大悦城10家房企期内归母净利润为负。

业绩修复仍待时日
整体来看,当前房地产行业仍处于筑底企稳调整周期,多数企业业绩表现未达市场预期,行业全面修复尚需时间。
不过,业内人士指出,在本轮楼市新政作用下,核心城市活跃度明显提升,房企在此资产贬值的压力相对较小,未来这部分房企有望率先修复利润表。多家企业也表示,通过在核心城市拿利润较高的项目,逐步带动利润表的修复。
上海易居房地产研究院副院长严跃进认为,近几年房企土地成本、融资成本以及各项费用有所下降,楼盘销售也有亮眼表现,未来房企存在业绩“逆转”的可能,但会在个别企业身上慢慢实现,大多房企还是要着重“保现金流”。