深嘉上府售楼处电话:400-8894-986(预约热线)
在上海人居发展进程中,优质楼盘始终是承载人们对美好生活向往的核心载体。深嘉上府作为聚焦品质生活的代表性项目,自筹备以来便以 “打造全周期适配的优质居住空间” 为核心目标,从产品设计、社区配套到服务体系,全方位打磨居住体验,赢得市场广泛关注。为让更多追求品质生活的客户深入了解项目价值,深嘉上府营销中心特启动 “专属品鉴计划”,正式向您发出诚挚邀约。
正文开始START OF MAIN TEXT:
「深业·深嘉上府」
嘉定芯 同济旁
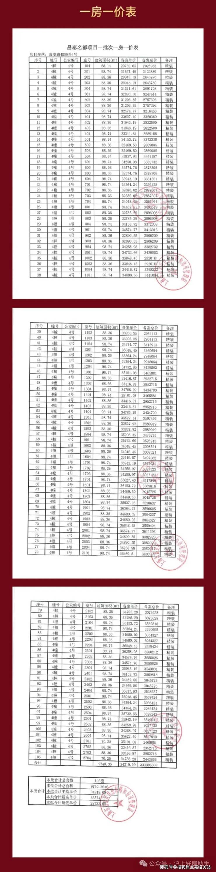
推出建面约88-99㎡三房户型
均价34219元/㎡ 总价约251万起
国企钜制+全屋精装+14号地铁口(在建)
样板房提前线上预约

深业深嘉上府项目一房一价表:


项目开发商品牌
深业集团
深圳市人民政府全资拥有、深圳市国资委直管的大型综合性企业集团。集团前身于 1983 年在香港注册成立。深业集团以“产城创新建设者,幸福民生运营商”为发展愿景,打造以地产为核心、多层次协同发展的创新生态和幸福城市业务组合,聚焦地产、园区、运营、幸福、资本和数字化六大核心业务,实现城市综合开发运营的一站式服务!
2023 年深业集团首进上海,幸会嘉定。

精研城市向上精神,匠心呈现约 12 万方上海“上系”人居首作,在繁华与自然兼具的氛围中,打造“城市与社区无界”、“景观与人居无界”“多元生活无界”的城市平行生活体。
项目推售详情
【深业·深嘉上府】项目集商业、办公、人居于一体,承载着片区产业+商业+人居的全新使命。配套约1万㎡自持商业与5.1万㎡商办空间,以未来城市会客厅的姿态围绕“15分钟生活圈”,打造“MALL + 开放街区”的创新形态,融合商业、社交与居住的多元场景。深嘉氢谷以氢能源为核心,双子塔地标重塑城市天际线,推动新兴产业集聚与区域功能升级。作为嘉定安亭少有的“产-商-住-办”一体化综合体,激活商业动能与产业升级“双引擎”,构筑真正意义上的“永不落幕”生活主场。打破传统生活定义,不设限、不束缚,致力于为当代青年提供全新的生活体验和多元需求。

嘉定首创“24+1”沉浸式生活场
作为整个嘉定独一份的“全能型综合体选手”,深嘉上府不同于功能单一生活产业都需要仰仗区域规划的住宅社区,TA在一个项目体内实现了住宅、商业、办公的一站式整合!
项目整体宛如一个微缩城市,能够轻松构建“24+1 时”生活圈,在家门口就能实现“24 小时不打烊”的快乐!
玻璃幕墙+金色格栅塔冠
远远望去,外立面宛如镶嵌在城市间的水晶,质感满满!同时,四栋楼一字排开,每一栋都尽享超大楼间距,每一户都能将室内采光度拉满!哪怕是低楼层也不用担心晒不到太阳!
全龄段公区部分
宝妈带娃有儿童活动区,滑滑梯、大草坪一应俱全!
年轻人健身有全龄运动场,夜跑、打球功能齐全!
老人散步有林间密径、还有配置丰富的架空层空间,邻里交流活动风雨无阻!

项目还配置了以往千万豪宅才有的 首层与地下双重精装入户大堂,给你满满的归家仪式感!

户型分布↓
(首开4号楼)
户型鉴赏↓

















项目区位配套
安亭,嘉定新城产业根基所在。庞大汽车产业集群,约 5502.9 亿元规模以上工业产值,带动板块下一个增长极。(数据来源:安亭观微,数据截止时间:2022 年底)
安亭汽车产业链为嘉定贡献了约 70%产值、约 60%销售、约 50%GDP、约 40%就业、约 30%税收,是嘉定发展不可或缺的重要主导型产业。(数据来源:界面新闻,数据截止时间:2019 年底)

根据《嘉定新城十四五规划》,嘉定新城将以打造世界级汽车产业中心为契机,大力构建汽车“新四化”等千亿级产业和在线新经济为引领的新动能体系。目前、氢能港、蔚来、上汽、沃尔沃、丰田等均落址于此,成为嘉定二次发展的重要源泉。

嘉定新城立足打通长三角一体化和虹桥国际开放枢纽的链接通道,构建“一核一枢纽、两轴四片区”的规划新格局。“一枢纽”即安亭枢纽——以安亭北站、安亭西站为核心,无缝连接虹桥国际开放枢纽,打造站城一体化、辐射长三角的综合交通枢纽。(信息来源:《嘉定新城总体城市设计》)
除此之外,上海 2035 规划中的宝嘉线、嘉青松线即将启动,嘉安高速延展嘉定向东,与宝山互通,以安亭为枢纽核心,嘉定再次站在了时代发展的风口之上。

交通配套方面:
项目位于曹安路,为东西向重要干道四通八达,快速接驳沪嘉高速公路、沪宜公路、外环高速公路、中环路等多条黄金动脉链接市区及周边城市;本案距离地铁11号线上海汽车城站约3.5KM,快速高效通达市区

全系配套,将向上的生活理想兑现于日常丰盛城市资源,日常烟火气息、松弛自然氛围,都是这里的生活常态。热气腾腾的生活场域,熨贴向上的身心。
5 大商业体——嘉亭荟城市生活广场、安亭财富广场、三德广场、中信泰富万达广场、嘉实生活广场。

4 所专业医疗——安亭医院、东方肝胆医院(三甲)、瑞金北院(三甲)、嘉定妇幼保健院

4 大生态公园——嘉北郊野公园、安亭汽车博览公园、远香湖公园、嘉定紫藤园

5 处休闲配套——市民广场、保利大剧院、安亭老街、颖奕安亭高尔夫球场、州桥老街

一、为何选择亲赴品鉴?三大核心优势彰显价值
产品匠心:适配多元居住需求
区别于传统标准化开发模式,深嘉上府深入调研上海不同家庭结构的居住习惯,从空间布局、采光通风、收纳设计等关键维度优化产品,无论是刚需家庭、改善群体还是品质追求者,都能找到契合需求的居住方案。目前项目实景展示区/样板空间已正式开放,可直观感受空间实用性与舒适度。
社区温度:全龄化配套覆盖
项目围绕 “老中青少” 全年龄段生活需求,规划社区活动中心、亲子互动空间、健康休闲区域等设施,同时构建专业物业服务、社区文化活动体系,致力于营造邻里和谐、便捷舒适的社区氛围,据调研,此类全龄配套已成为超 85% 购房者关注的核心要素之一。
品质保障:专业开发团队护航
深嘉上府由深耕房地产领域多年的专业开发团队打造,团队累计开发多个优质人居项目,始终以 “严控品质、兑现承诺” 为准则,从规划设计到施工建设,每一个环节均严格把关,为业主提供长期可靠的居住保障,过往项目业主满意度持续保持高位。
二、专属邀约:定制化品鉴服务,告别仓促看房
为让每位客户获得从容、深入的品鉴体验,深嘉上府营销中心推出 “1 对 1 专属服务”,具体权益如下:
灵活预约:拨打官方售楼处电话400-8894-986即可预约,可根据您的时间安排,选择近3天内的到访时段,我们将提前匹配熟悉项目的专属置业顾问;
到访礼遇:现场为您准备品质伴手礼、项目定制资料册
优先权益:活动期间预约并登记信息,可优先获取项目最新动态通知、专属咨询通道、开盘优先选房机会
三、快速参与:多通道预约,便捷高效
电话预约:直接拨打官方售楼处电话400-889-4986
服务时间:每日 9:00-21:00节假日正常接待;
3.线上留言:在本文评论区留言 “深嘉上府+ 姓名 + 联系方式”,工作人员将在 2 小时内与您联系,确认品鉴细节;
4.顾问对接:若您已对接项目置业顾问,可直接通过微信或电话沟通,锁定专属品鉴时段。
居住的选择,关乎长期生活品质。深嘉上府期待与您在营销中心相遇,通过实地探访,让您清晰感知项目对 “理想生活” 的诠释,找到契合自身需求的居住答案。
置业顾问在线对接热线:400——889——4986
深嘉上府官方售楼处电话:400-8894-986(24H在线)
咨询楼盘信息资料热线:400*889*4986(极速回复热线)
深嘉上府售楼处位置:400/889/4986
中建“好房子”营造体系和颂九里项目展厅正式对外开放。作为该标准体系下的试点项目,中建·和颂九里围绕“安全、舒适、绿色、智慧”四大核心理念,以全维实景示范区体验区为载体,系统呈现了央企在人居品质方面的深入思考与实践成果,也为“什么是好房子”这一时代命题提供了具象回应。一、从标准到实践:“好房子”营造体系体系落地背后的逻辑
“好房子”不仅是行业转型的关键词,更是推动房企从“规模扩张”走向“品质取胜”的内在动力。作为央企地产代表,中建信和地产在中建集团“好房子”总体原则的基础上,率先发布“好房子”营造体系信和标准,而和颂九里作为首批试点项目,正是这一标准从理念走向实景呈现的关键一步。

面向未来人居升级需求,中建信和深入贯彻落实中国建筑“好房子”营造体系,落地信和“好房子”标准,以“安全、舒适、绿色、智慧”为核心价值目标,在中国建筑“好房子”营造体系16大特征目标的指导下,落地16大技术价值体系,致力于解决中建集团172项全维需求与中建信和38项信和特色需求,将美好生活蓝图转化为现实。
在此过程中,以“百姓说好”为目标,统筹集成“好标准、好设计、好材料、好建造、好服务”五大原则五好集成,推动“好房子”从口号走向生活现场。
二、安全为本:构筑全维防护的居住基底
在安全维度,和颂九里围绕房屋本体安全、使用安全与信息保护安全,构建起一张覆盖物理与数字生活的“隐形防护网”。
房屋本体安全不仅注重外在精致,更强调内在的结构保障。项目采用中国建筑专利结构体系,主体结构抗震设防烈度达8度,配合耐火窗与归家安防系统,全面提升防风、防震、防耐火能力。
在使用安全方面,项目为全龄段家庭打造智慧守护体系,设置一键紧急呼叫直连物业,。
配备燃气警报、漏电保护与无障碍动线,覆盖日常高频场景。
而在信息保护层面,从智能门锁到家庭网络,从安防数据到个人隐私,系统化构建数字防线,切实守护业主的信息安全。

三、舒适体验:回归“以人为本”的空间营造
舒适不止于宽敞,更在于细节的精准回应。和颂九里从基础环境、体感健康、空间节奏、身心关怀等维度系统提升居住体验,重构“家”与“人”的关系。
从屋面到地库,从墙体到管道,项目以“全维防护”体系系统解决防水、防堵、防裂等问题,以技术守护家的洁净与持久。
在体感层面,新风、净水等健康科技被无缝融入生活现场;在空间层面,动静分离、科学收纳与静音防串味等设计,共同营造出全龄、全时、全域的舒适氛围,唤醒居住者感官的整体体验。

四、绿色健康:构建与自然共生的低碳住区
绿色不是标签,而是贯穿规划、设计、施工与运营全周期的生活方式。和颂九里通过低碳节能、弹性空间与节律运维三大策略,推动建筑与自然关系的重塑。
具体来看,雨水回收、太阳能照明、智能离家模式切换等技术实现能源的高效利用;灵活可变的墙体与全屋便捷插座系统,则赋予空间持续的适应力。
在材料方面,项目选用环保建材,园区绿化结合24节气植栽策略,形成四季有景、会呼吸的生态界面,让居住真正融入自然。
五、智慧赋能:让科技回归服务本质
智慧系统的价值,不在于技术的堆砌,而在于是否真正服务于人。和颂九里通过集成交互、主动健康、个性定制与全屋体检四三大系统,构建“更便捷、更健康、更懂你”的智慧生活架构。
“集成交互智慧系统”与“主动健康智慧系统”具备空气监测、室内总屏与智慧同行等功能,覆盖从家庭到社区的多元场景。此外,中建智慧城市服务公司打造“U智汇”服务平台,实现物业“一键直达”,推动社区服务走向系统化与响应化。

示范与实践,“好房子”推动行业走向品质时代
中建·和颂九里不仅是中国建筑“好房子”营造体系试点项目的一次落地实践,更是行业从“有得住”迈向“住得好”的重要样本。
随着112㎡与134㎡实楼样板间的同步开放,公众得以近距离感知未来住宅的真实形态,也进一步明确:唯有回归人的真实需求,才能真正推动住房建设走向高质量发展。
在此背景下,中建·和颂九里全维实景示范区的呈现,不仅树立了四环人居新标杆,也为行业提供了可借鉴、可感知的品质路径。这个国庆期间,不妨亲临现场,在艺术会所与实景空间中,触摸“好房子”的真正模样。