大名城映湖售楼处电话:4 00-8874-108✔【已认证】⭐⭐⭐⭐⭐ 大名城映湖营销中心电话:400-88
74-108✔✔【已认证】⭐⭐⭐⭐⭐ 上海大名城映湖官方售楼处电话:400-8874-10 8 VIPLINE✔✔✔【已认证】⭐⭐⭐⭐⭐
——大名城映湖——
大名城映湖售楼处电话:400-88 74-108✔【最新预约】⭐⭐⭐⭐⭐
大名城映湖营销中心电话:400-8874-10 8✔✔【最新认证】⭐⭐⭐⭐⭐
上海大名城映湖官方售楼处电话:400-8874-1 08 VIPLINE✔✔✔【最新发布】⭐⭐⭐⭐⭐
如有问题可来电咨询,线上售楼中心,预约销售专员,一对一为您服务!
想了解大名城映湖更多信息?拨打售楼处营销中心热线:400-8874-108 (中介勿扰)【24小时热线】
作为“映系”新作,【大名城·映湖】脉承“名城系“和”紫金系”,更是在居住体验上创新升级,匠心打造美好的生活体验!
项目容积率仅约1.25,却抛弃“高低配”的建筑理念,全部做成7/8层洋房。约24米等高建筑群,为每一户业主提供最均等的低密度空间,而且保证每栋楼的视野和采光,这绝对是板块内罕见!
朱家角属于上海市青浦区内,是典型的江南水乡古镇,2000年原沈巷镇并入朱家角。号称“上海第一大镇”。朱家角有北大街、东井街、西井街、大新街、东市街、胜利街、漕河街、东湖街、西湖街等几条老街。其中北大街在2005年11月被评选为“上海市十大休闲街”之一。
华为研发中心旁,朱家角C位,
大名城映湖 最后7套房
建面约77-123㎡2-4房
均价39592元/㎡
项目1.25容积率、清一色洋房
全龄社交空间、高得房率



约310m天然滨河盛景,与精致典雅的建筑群落交相辉映,实在是茶余饭后遛弯的好去处。
300-500万买新房
还有哪里的话题性能多过青浦新城?
我在这个时间点推荐它,实在是因为这里重磅规划源源不断。
首先,华为公司投资100亿元打造青浦研发中心,开展终端芯片、无线网络和物联网等领域的研发,基地目前已经开工,预计导入3-4万名科技研发人才,这也将占华为全球员工的约8.3%。

华为园区效果图
事实上,目前大城市的价值原点都在向科技中心转移。比如东莞,华为松山湖厂区带动了松山湖板块革新,使得区域价值得以大幅度提升,这说明高科技企业的聚集拉动了板块势能。
上海也是如此,从先前定位世界经济、金融、航运、贸易四大中心转变为“上海2035”所提出的四大中心+科创中心 。
因为仅仅是金融和贸易,不能支撑一个地方经济的长足发展,科创产业往往能爆发出更大的潜力。
所以买房跟着科创走,跟着华为走,一定没有错。
其次,若要购物、亲子休闲,向东不远处有近百万方商业,约45万方万达茂、东渡蛙城、吾悦广场、怀盛399等一路连缀。
事实上,这里就是目前西上海首屈一指的商圈。

附近商业实景图
医疗方面,更惊喜不断:
红房子医院完工。

红房子医院效果图
上海儿童医院、青浦与复旦大学合作打造的“医学园区和国际医疗中心”也纷纷落户。
上海300-500万的新房,你有见过如此丰富、高规格的配套吗?
其实还有像长三角一体化、崧泽高架在建,将来能开车便捷通勤虹桥等,我就不一一举例了。
就是想告诉大家:现在买房,时机已成熟。你不用太担心房子出租或是出售问题,因为有一大批高端人才在往这里聚集。
让每一户业主享受均等的低密度空间
大名城映系的理念,值得点赞
回过头来看项目。
先告诉大家一个残酷的事实,青浦新城近期非常火!
宝业活力天地、佳兆业金茂未来城、中环境秋月都触发了积分,前者已售罄,后两者大概率也会清盘。首创在淀山湖大道站的大城也已落幕。
换句话讲,这片区域短时间没多少新房可选了。
所以,大名城映湖,是目前青浦新城再好不过的上车选择。
在看到沙盘的第一眼,我就问销售,周边项目都是洋房+叠墅这种利润更高的组合,为什么大名城映湖明明容积率很低,只有1.25,却偏偏做成全洋房。

项目效果图
「大名城 映湖」离17号线地铁的淀山湖大道站不算太远,百度地图测距约2300米。

地铁站旁有着青浦新城最大的万达广场——青浦万达茂,还有在建中的东渡蛙城。
住宅区与这些商业保持了恰当的关系,出则繁华,入则宁静,真不是说说而已。

医疗配套也不错,比如青浦中医院,在建的复旦医学院附属妇产医院等。
朱家角的魅力真是公认的,民族标杆企业华为基地在朱家角开工了,总投资超100亿元......未来,安谋中国、清华启迪科技城、国家能源集团等知名企业也都将入驻板块。

华为基地概念规划鸟瞰图

华为基地内景效果图
精英人口的导入,必定会带动区域住宅板块的热度。这么多大佬打call,大名城·映湖值得期待!

入户花园、景观树阵、阳光草坪搭配休闲平台、羽毛球场、趣味跑道等休闲娱乐空间,还有开敞式会客廊架,随时随地便可营造社交生活的活力场。
更有葱郁的大树下冒险滑梯、趣味互动平台等一体化的全龄活动娱乐设施,全龄化的儿童活动场所,营造无忧无虑的童真世界。

还有6大漫游式林荫港,随处可见樱花、银杏、桂花、香樟、红枫、紫薇以及各种果树等,一年四季美景纷呈,让归家入户成为身心放飞之旅。
更能体现大名城·映湖匠心之处的,还在于其强大而贴心的社区物业,不仅提供贴心服务,还保障社区的安全生活!
项目在安全防卫上做得很到位。像人车分流、车辆自动识别系统、社区大门人脸识别、入户大堂人脸识别、智能门禁系统、电梯梯控系统等都是标配。

低密宜居的社区环境,人性化的物业服务,大名城·映湖的匠心一览无余,365天悦享的无忧生活。
户型图及样板间实拍
【大名城·映湖】本次将入市户型为约97-123㎡3-4房,装修交付。

十分标准的三开间朝南、南北通透、全明户型,布局合理几乎没有面积上的浪费。但是该产品真正惊艳的地方,在于设计上的细节。

层高:市面上的住宅产品,大多为2.9米左右,即便是市区豪宅项目也很少有达到3米以上。
开间:该户型的南向面宽达到了约10米,这样的尺度几乎可以媲美不少叠墅产品的开间。

正三房:北卧室往往会被用作书房,面积略小是主要因素。这款产品,北卧室达到约8㎡,完全可以作为房间使用。不足100㎡,同样可以让三代同堂住的舒舒服服。

该户型各功能区空间尺度更大更舒展。约11米的南向面宽简直阔绰到难以想象。

北卧室通常会用作老人房使用,但是采光和通风又稍显欠缺。而123户型借助边套的优势,老人房双飘窗和转角飘窗的设计,绝对是点睛之笔,不仅能享受到更多的采光,所在的边套位置更能感受到社区迷人的景观。
项目周边配套
轨道交通方面:项目距离东侧的17号线淀山湖大道站约2公里,自驾3分钟左右即可到达,可无缝换乘地铁2号线、10号线。

同时,崧泽高架西延伸段未来也将在青浦落成,并与G15和G1501立交实现全互通。建成之后,高架将极大地缓解青浦至虹桥商务枢纽的交通压力。
商业配套方面:淀山湖大道地铁处,有目前整个青浦的顶级商业核心圈。青浦万达茂总建筑面积约45万方,是目前青浦超大体量的市综合体,此外,项目附近还有约18.5万方东渡蛙城。

教育资源方面:项目南侧就是上海排名前三的私立名校兰生复旦分校,离复旦附中青浦分校、平和双语学校也很近。

医疗资源方面:项目周边有长三角智慧医院、红房子医院等。另外儿童医院、青浦与复旦大学合作打造的“医学园区和国际医疗中心”也将落户淀山湖新城,医疗资源十分充裕。
青浦新城
大名城映湖
推出148套建面约77-123㎡2-4房
均价39592元/㎡
项目1.25容积率、清一色洋房
全龄社交空间、高得房率
具体一房一价表如下:



青浦新城
大名城映湖
推出148套建面约77-123㎡2-4房
均价39592元/㎡
大名城映湖售楼处电话:4 00-8874-108✔【已认证】⭐⭐⭐⭐⭐
大名城映湖营销中心电话:400-88 74-108✔✔【已认证】⭐⭐⭐⭐⭐
上海大名城映湖官方售楼处电话:400-8874-10 8 VIPLINE✔✔✔【已认证】⭐⭐⭐⭐⭐
如有问题可来电咨询,线上售楼中心,预约销售专员,一对一为您服务!
想了解大名城映湖更多信息?拨打售楼处营销中心热线:400-8874-108 (中介勿扰)【24小时热线】
楼盘项目全面介绍,本电话为开发商提供线上预约售楼电话,楼盘项目全面介绍(包含楼盘简介,均价,房价,现房,期房,别墅,叠墅,大平层,价格,楼盘地址,户型图,交通规划,备案价,备案名,项目配套,样板间,开盘时间,认筹时间,楼盘详情,售楼处电话,最新消息,最新详情,周边配套,一房一价,最新进展等详情咨询)楼盘详情丨价格丨更多优惠丨机不可失丨欢迎致电丨诚邀品鉴!售楼处位置丨特价房丨工抵房丨剩余房源丨户型图丨最新消息丨免责声明:将文章内容综合来源于网络、只作分享,版权归原作者所有!!如有侵权,请联系我们,我们第一时间处理如有问题欢迎来电咨询,专业一对一热情服务,让您用专业眼光去买房.如果您想了解更多楼盘详情,欢迎提前预约拨打
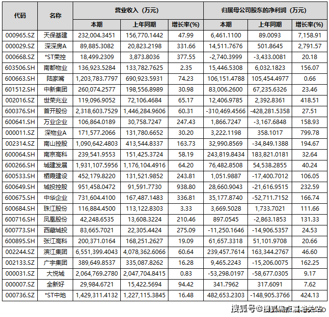
中房网根据同花顺iFinD数据统计,截至10月31日,A股共有85家上市房企披露2025年三季度业绩报告。其中,超4成房企营收实现同比增长;43家房企实现盈利,占比超五成;归母净利润实现同比增长的房企共有37家,占比为43.53%。
自2022年起,房地产行业业绩承压态势已延续数年。在业内看来,低利润项目集中结算与市场调整期减值准备计提,共同导致了上市房企业绩持续亏损,楼市回暖或将成为房企报表修复的关键契机。
超4成房企营收同比增长
从上市房企三季度报告来看,营收实现同比增长的房企共有36家,占比为42.35%;营收同比下滑的有49家,占比57.65%。
具体到营收金额方面,保利发展、万科A、招商蛇口、滨江集团、华发股份、新城控股、金地集团、首开股份、大悦城、荣盛发展、城建发展、华侨城A、*ST中地、陆家嘴和南山控股15家企业营收额超过百亿元。其中,保利发展、万科A和招商蛇口分别以1737.2亿元、1613.9亿元和897.66亿元的营收居于A股上市房企前三位。

部分头部房企亏损较大
归母净利润方面,前三季度共有43家房企实现盈利,占比超过五成。
其中,有7家房企归母净利润超过10亿元,分别是*ST中地、招商蛇口、南京高科、滨江集团、保利发展、上海临港和陆家嘴。

上述房企中,*ST中地(中交地产)的表现较为亮眼。三季报数据显示,公司前三季度营收达142.93亿元,同比增长16.48%;实现净利润48.27亿元,扭亏为盈,同比大幅增长424.13%。
作为一家“披星戴帽”的房企,其账面盈利的核心驱动力来自重大资产重组。今年6月,*ST 中地公告称,计划将旗下房地产开发业务相关的全部资产与负债,转让给控股股东中交房地产集团有限公司。这一重组事项在8月31日完成实质资产交接,房地产业务自此正式退出公司合并报表范围。
据悉,资产重组为* ST中地带来64.89亿元的资产置出相关收益,这一数据直接拉动了当期利润表现,同时推动归属于上市公司股东的净资产转正至12.48亿元。
让人唏嘘的是,三季度业绩亮眼的房企,恰恰是已经退出房地产开发业务的那家。
值得注意的是,期内部分龙头房企归母净利润出现较大亏损,如万科、*ST金科、华夏幸福等。
数据显示,今年前三季度,万科实现营业收入1613.9亿元,同比下滑16.61%;归属于上市公司股东的净亏损280.2亿元,同比下滑56.14%。
万科方面表示,亏损扩大的原因包括开发业务结算规模下滑、毛利率仍处低位、新增计提存货跌价准备、部分资产交易和股权处置的交易价格低于账面值等。
另一亏损规模超百亿的为*ST金科。前三季度,金科实现营业总收入56.99亿元,同比下滑73.57%;归母净利润亏损107.78亿元,同比下滑102.12%。
还有华夏幸福,其亏损规模也近百亿。前三季度,公司营业收入为38.82亿元,同比下降72.09%,归属于上市公司股东的净利润亏损98.29亿元,同比下滑338.67%。
25家房企实现营收和归母净利润双增
前三季度有25家房企实现了营收和归母净利润的双增长。

有37家房企实现归母净利润实现同比正增长。其中,天保基建、深深房A、深物业A、渝开发、*ST中地、世荣兆业、城投控股、南山控股、中华企业、广宇集团、万业企业、南都物业、新黄浦、凤凰股份、中洲控股、珠江股份、栖霞建设17家房企前三季度的归母净利润增长超过100%。
其中,天保基建前三季度归属于上市公司股东的净利润增幅最大,为7158.91%。天保基建表示,业绩增长主要得益于报告期内满足收入结转条件的项目增加,以及冲回的土地增值税增加和资产减值损失减少。
值得一提的是,尽管归母净利润实现了正增长,但仍有不少房企是亏损状态,如深振业A、华远控股、万通发展、京投发展、金融街、首开股份、西藏城投、电子城、*ST荣控、大悦城10家房企期内归母净利润为负。

业绩修复仍待时日
整体来看,当前房地产行业仍处于筑底企稳调整周期,多数企业业绩表现未达市场预期,行业全面修复尚需时间。
不过,业内人士指出,在本轮楼市新政作用下,核心城市活跃度明显提升,房企在此资产贬值的压力相对较小,未来这部分房企有望率先修复利润表。多家企业也表示,通过在核心城市拿利润较高的项目,逐步带动利润表的修复。
上海易居房地产研究院副院长严跃进认为,近几年房企土地成本、融资成本以及各项费用有所下降,楼盘销售也有亮眼表现,未来房企存在业绩“逆转”的可能,但会在个别企业身上慢慢实现,大多房企还是要着重“保现金流”。