外滩天幕1715售楼处电话→外滩天幕1715售楼中心电话→2026外滩天幕1715楼盘百科→楼盘网站→楼盘测评→售楼中心电话→楼盘百科→24小时热线电话→楼盘详情
扫描到手机,新闻随时看
扫一扫,用手机看文章
更加方便分享给朋友



全球金融新高地,傲立亚洲第一湾黄浦江龙头
绿地外滩中心,位于上海外滩金融集聚带核心区,是上海重点打造的全球金融中心新地标,占据亚洲第一湾黄浦江“S湾”的“龙头”位置,与对岸的陆家嘴金融城隔江对望,形成金融互补,共同助力上海成为全球第三大金融中心。

金融巨头聚集,120万滨江巨舰商务综合体
绿地外滩中心涵盖甲级写字楼、总部办公、购物中心、休闲商街、星级酒店及高端住宅等多重业态,坐拥中央绿地广场、历史保护建筑、滨江文化休闲空间、6个“口袋公园”等多重文化功能配套。
目前,中国人保、海通证券、上海银行、国海证券、中泰证券、建信人寿、东浩兰生、迈瑞医疗等龙头企业均已入驻。
四大鼎级奢配,领御外滩金融集聚带封面
交通便利:“一桥三隧”外加两条轨道交通,南浦大桥、复兴东路隧道、人民路隧道、延安东路隧道,以及9号线和4号线构筑的立体交通,畅达全城各处。
天际地标:约300米超高层,约240米超高层,约150米双塔,绘就外滩天际线,占据金融新高地,释放国际商务感召力。

复合业态:约46万方超高层地标及高端企业总部办公楼,约17万方大型商业中心,约4.2万方星级酒店,约12万方高端住宅,约5万方公共绿化,同时坐拥董家渡天主堂和商船会馆2栋历史保护建筑、6个口袋公园(花桥空中花园/教堂花园/会馆花园/百草园/健康花园/中央花园)、滨江文化休闲空间等文化功能配套。

星级酒店:国际奢华级酒店品牌—丽思卡尔顿,将入驻绿地外滩中心·T1#300米超高层的46-62F。酒店拥有274间客房,约10米挑高的奢华酒店大堂,约1000平方米的宴会厅,约8米奢阔层高,外滩最高无边泳池等高规格配置。

300米顶峰,会晤世界塔尖资本
绿地·外滩天际,在外滩地标绿地外滩中心T1#300m超高层楼栋,标准层高约4.5m,主力户型面积约724-799㎡,以一种塔尖群体向往的融合式生活方式,诠释外滩滨江恒产的价值高度。于此,以王者视角,俯揽黄浦江,对望陆家嘴,尽享上海城市之曜。
城市塔尖,界定时代非凡疆域
外滩天际集商务会谈、社交宴请、休憩品茗、娱乐休闲等功能融于一体,由国际奢华级酒店品牌提供物业管理服务。于此,拓展人脉资源,执掌行业风向,发展企业野心,开拓事业版图,尊享至高礼遇,将生活与商务无缝相融。
外滩之巅,极目城市无界视野
穹顶社交、栖心平台。外滩天际以中心“峰景”视野俯瞰着城市的价值繁盛。北视角:陆家嘴、北外滩;西视角:人民广场、新天地;东视角:浦东、黄浦江;南视角:南浦大桥、世博园。
融合式空间,满足企业家需求
外滩天际作为兼具商务、私人社交的复合型空间,是对当代企业家工作生活个性化场景需求的创造性满足:一场精致的圈层沙龙,或是邀请重要合作伙伴参加的一场家宴,它既摆脱了办公室的拘谨束缚,又可以提供传统顶豪所难企及的私人行馆式社交属性。
匠心创制,非凡标准至臻场域
约800平方米的超大空间,中西双厨、独立收藏区、极致会客厅,来自于欧洲奢侈品牌的装甲门、卫浴、厨电设施,智能家居及空调、新风、地暖系统……无论是有形可创造的建筑,还是蕴藏于空间之中的无形品位,天幕行宫都拥有非同一般的标准。
【绿地外滩中心】作为外滩金融集聚带的地标作品,是上海重点建设的全球金融中心核心区和新地标,与陆家嘴金融城隔江呼应。

同时也是外滩唯一一个百万方地标综合体,整个项目占地面积12.67万平方米,总建筑面积120万平方米,项目包括4栋甲级写字楼、7栋总部办公楼、高端购物中心、七星级酒店、8栋住宅楼等。


7栋总部办公已全部被抢滩登陆。

其中4栋超高层,分别为300米、240米以及2栋150米塔楼组成。

T1 -300米超高层塔楼上部46-62层为五星级酒店(丽思卡尔顿)、38,40-45层行政公馆,中部7-37层为甲级办公,底部为商业及大堂。



270°面南向大宽厅,南北通透,光景绝佳。开敞视野自成气度,雍容舒展,窗内、窗外皆可作“景”,内敛深刻中畅贯优雅情调自然延伸。

走道端处香槟色金属雕塑,形类城市高楼,又若恋人彼此依偎;全采光套房拥揽白日上海黄浦的忙碌、繁华,也收藏夜晚灯火阑珊的宁静、美好。

刻画格调,渗透每个细枝末微的营造,以考究工艺彰显卓越品质。暖灰调石材从地面延伸至墙围,凝练生活的温暖气息;干湿分离的规划方式,在开阔且独立的分区中注重使用的畅快体验。
甚至是衣帽间等功能区域,也以阔落宽舒的尺度构筑审美意境:做“繁”与“简”的恰好取舍,融情绪至场景。专属私人SPA空间,更是难得的放松选择——于忙碌的工作闲暇享受惬意的“放空”时刻。


亮面瘤木椅背,搭配蓝色木皮和艺术玻璃的组合;在卡拉瓦乔酒窖光线般的灯光渲染下凝实感官体验,自然沉浸其间。张弛有度的比例,划分利落严谨的形体;自带雪茄恒温箱冷藏室的定制酒柜,及意大利水晶酒具DAVINCI配套,带来极致的品鉴享受。
黄浦江滚滚东流,延续东方明珠的城市命脉;建筑烙印历史留痕,映射中国百余年金融、商业发展的缩影。情景间,品质自见;云端境,拥瞰黄浦……

༺ 外滩·天幕1715 ༻
热热热 火火火 上车正当时!
百年外滩天际 云端看世界
300米高空 360°江景视野
建面约719-799㎡总裁官邸
总价约1.2亿-1.8亿(一房一价)
不限购 大户型、大尺度、大视野
外滩天幕售楼处电话:4 00-8874-108✔【已认证】⭐⭐⭐⭐⭐
外滩天幕营销中心电话:400-88 74-108✔✔【已认证】⭐⭐⭐⭐⭐
上海外滩天幕官方售楼处电话:400-8874-10 8 VIPLINE✔✔✔【已认证】⭐⭐⭐⭐⭐
如有问题可来电咨询,线上售楼中心,预约销售专员,一对一为您服务!
想了解外滩天幕更多信息?拨打售楼处营销中心热线:400-8874-108 (中介勿扰)【24小时热线】
楼盘项目全面介绍,本电话为开发商提供线上预约售楼电话,楼盘项目全面介绍(包含楼盘简介,均价,房价,现房,期房,别墅,叠墅,大平层,价格,楼盘地址,户型图,交通规划,备案价,备案名,项目配套,样板间,开盘时间,认筹时间,楼盘详情,售楼处电话,最新消息,最新详情,周边配套,一房一价,最新进展等详情咨询)楼盘详情丨价格丨更多优惠丨机不可失丨欢迎致电丨诚邀品鉴!售楼处位置丨特价房丨工抵房丨剩余房源丨户型图丨最新消息丨免责声明:将文章内容综合来源于网络、只作分享,版权归原作者所有!!如有侵权,请联系我们,我们第一时间处理如有问题欢迎来电咨询,专业一对一热情服务,让您用专业眼光去买房.如果您想了解更多楼盘详情,欢迎提前预约拨打
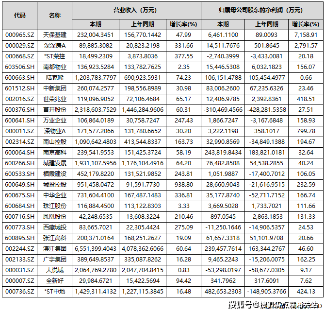
中房网讯(苏晓/文)随着三季报披露季收官,上市房企“成绩单”出炉了。
中房网根据同花顺iFinD数据统计,截至10月31日,A股共有85家上市房企披露2025年三季度业绩报告。其中,超4成房企营收实现同比增长;43家房企实现盈利,占比超五成;归母净利润实现同比增长的房企共有37家,占比为43.53%。
自2022年起,房地产行业业绩承压态势已延续数年。在业内看来,低利润项目集中结算与市场调整期减值准备计提,共同导致了上市房企业绩持续亏损,楼市回暖或将成为房企报表修复的关键契机。
超4成房企营收同比增长
从上市房企三季度报告来看,营收实现同比增长的房企共有36家,占比为42.35%;营收同比下滑的有49家,占比57.65%。
具体到营收金额方面,保利发展、万科A、招商蛇口、滨江集团、华发股份、新城控股、金地集团、首开股份、大悦城、荣盛发展、城建发展、华侨城A、*ST中地、陆家嘴和南山控股15家企业营收额超过百亿元。其中,保利发展、万科A和招商蛇口分别以1737.2亿元、1613.9亿元和897.66亿元的营收居于A股上市房企前三位。

部分头部房企亏损较大
归母净利润方面,前三季度共有43家房企实现盈利,占比超过五成。
其中,有7家房企归母净利润超过10亿元,分别是*ST中地、招商蛇口、南京高科、滨江集团、保利发展、上海临港和陆家嘴。

上述房企中,*ST中地(中交地产)的表现较为亮眼。三季报数据显示,公司前三季度营收达142.93亿元,同比增长16.48%;实现净利润48.27亿元,扭亏为盈,同比大幅增长424.13%。
作为一家“披星戴帽”的房企,其账面盈利的核心驱动力来自重大资产重组。今年6月,*ST 中地公告称,计划将旗下房地产开发业务相关的全部资产与负债,转让给控股股东中交房地产集团有限公司。这一重组事项在8月31日完成实质资产交接,房地产业务自此正式退出公司合并报表范围。
据悉,资产重组为* ST中地带来64.89亿元的资产置出相关收益,这一数据直接拉动了当期利润表现,同时推动归属于上市公司股东的净资产转正至12.48亿元。
让人唏嘘的是,三季度业绩亮眼的房企,恰恰是已经退出房地产开发业务的那家。
值得注意的是,期内部分龙头房企归母净利润出现较大亏损,如万科、*ST金科、华夏幸福等。
数据显示,今年前三季度,万科实现营业收入1613.9亿元,同比下滑16.61%;归属于上市公司股东的净亏损280.2亿元,同比下滑56.14%。
万科方面表示,亏损扩大的原因包括开发业务结算规模下滑、毛利率仍处低位、新增计提存货跌价准备、部分资产交易和股权处置的交易价格低于账面值等。
另一亏损规模超百亿的为*ST金科。前三季度,金科实现营业总收入56.99亿元,同比下滑73.57%;归母净利润亏损107.78亿元,同比下滑102.12%。
还有华夏幸福,其亏损规模也近百亿。前三季度,公司营业收入为38.82亿元,同比下降72.09%,归属于上市公司股东的净利润亏损98.29亿元,同比下滑338.67%。
25家房企实现营收和归母净利润双增
前三季度有25家房企实现了营收和归母净利润的双增长。

有37家房企实现归母净利润实现同比正增长。其中,天保基建、深深房A、深物业A、渝开发、*ST中地、世荣兆业、城投控股、南山控股、中华企业、广宇集团、万业企业、南都物业、新黄浦、凤凰股份、中洲控股、珠江股份、栖霞建设17家房企前三季度的归母净利润增长超过100%。
其中,天保基建前三季度归属于上市公司股东的净利润增幅最大,为7158.91%。天保基建表示,业绩增长主要得益于报告期内满足收入结转条件的项目增加,以及冲回的土地增值税增加和资产减值损失减少。
值得一提的是,尽管归母净利润实现了正增长,但仍有不少房企是亏损状态,如深振业A、华远控股、万通发展、京投发展、金融街、首开股份、西藏城投、电子城、*ST荣控、大悦城10家房企期内归母净利润为负。

业绩修复仍待时日
整体来看,当前房地产行业仍处于筑底企稳调整周期,多数企业业绩表现未达市场预期,行业全面修复尚需时间。
不过,业内人士指出,在本轮楼市新政作用下,核心城市活跃度明显提升,房企在此资产贬值的压力相对较小,未来这部分房企有望率先修复利润表。多家企业也表示,通过在核心城市拿利润较高的项目,逐步带动利润表的修复。
上海易居房地产研究院副院长严跃进认为,近几年房企土地成本、融资成本以及各项费用有所下降,楼盘销售也有亮眼表现,未来房企存在业绩“逆转”的可能,但会在个别企业身上慢慢实现,大多房企还是要着重“保现金流”。
声明:本文由入驻焦点开放平台的作者撰写,除焦点官方账号外,观点仅代表作者本人,不代表焦点立场。
