外滩源著复兴里 (售楼处) 官方首页 - 外滩源著复兴里销售中心 - 环境 - 户型 - 价格 - 地址 - 楼盘详情 - 配套 - 电话 - 交房时间 - 配套 - 售楼处电话
扫描到手机,新闻随时看
扫一扫,用手机看文章
更加方便分享给朋友



最新消息:杨浦滨江【中建壹品·外滩源著】加推150-350㎡终极改善滨江风貌别墅正在热销!,地上两层+赠送阁楼+地下室+花园,均价约16万/㎡,总价2300万+!实体样板间已开放!约1200m²会所实景呈现!;另外项目前期高层住宅尚有少许139-145㎡3房在售,总价1488万起!可直接认购!
【中建壹品·外滩源著】在整体项目包含高层/风貌别墅,其中别墅延续原生鱼骨巷弄肌理,打造东西两大风貌组团;拓宽里弄的尺度,梳理优化为东西2大组团,感受移步异景的文化意境。
而高层立面的设计中,以海派建筑的文化作为基底,结合现代的材料及工艺,打造属于外滩源著的独一无二的立面形态。
建筑的色彩以浅色做为主基调,采用石材与局部的涂料工艺,大量的落地玻璃之间,镶嵌了古铜色的金属板材,与风貌建筑的色彩形成呼应。
高颜值立面、高窗墙比、高拓展性,为业主带来更多采光的同时也带来更开阔的视野!
【中建壹品·外滩源著】将重现杨浦滨江工业发展辉煌时期的繁荣景象,以精致细腻的海派风貌别墅搭配典雅端庄的高层海派公寓,展现“中西合璧""鎏金荟萃“的繁华年代。
【中建壹品·外滩源著】项目打造“三轴两门三院三花园”的景观布局。
主入口礼序归家轴上,以海上东方+星池雅宴+鎏金茗院三重空间,重现海派隐奢归家之路,步步尊崇,仪式感拉满。
社区内设有上海风情的“三院”,海派精奢的三花园。精致,优雅的生活氛围随之铺展开来,行走其中人在观景,时光渐慢。
【中建壹品·外滩源著】项目推建面约99-122-143㎡高端住宅,另有150-350㎡臻稀风貌别墅,正在热销中。项目户型布局更加方正大气,而且各个户型都有闪光点,为不同需求业主高定个性化生活!


地下室+夹层+花园+阁楼+露台合计赠送面积约90-200平米不等,实际得房率约150%-200%,附赠面积拉满!
由此,我们便得到了拥有大平层尺度感的立体隐私、有天有地、独门独户的终极改善级风貌别墅~
创意展示间实景,非交付标准
超尺度“洄游聚厅”打破传统壁垒,以餐客厨一体化方厅重构家庭社交中心。南向巨幅落地窗引景入室,无论是三代同堂的温馨飨宴,抑或名流雅士的私密沙龙,皆可从容铺展气度。
创意展示间实景,非交付标准
同样大面宽落地玻璃南向长辈套房,以零台阶平层动线呵护长者起居,晨光入室、推窗见园,让孝心落地于每一寸空间细节。
创意展示间实景,非交付标准
二层可打造双套房空间,奢阔主卧套房,集宽景阳台、超大尺度双台盆+大浴缸卫浴、步入式衣帽间于一体,尊崇感十足!
创意展示间实景,非交付标准
次卧做独立套房设计,隐私性与尺度感兼具!
创意展示间实景,非交付标准
沿步梯往上还附赠一个阁楼空间,特别做了闷顶抬高设计,空间完全也可以做一个星级套房,双面采光,还拥有惬意露台,作为艺术创作或下午茶空间都相当不错~
创意展示间实景,非交付标准
值得一提的地下空间,包括直通地下车库的地下室和地下夹层,约6.6米震撼层高,彻底颠覆传统地下室压抑印象,未来作为私人会客厅、藏酒阁或是禅意茶寮的精神领地,都相当惬意!地下室可以作为保姆间和洗衣房使用,功能性极强!
建面约122㎡3房2厅2卫,非常标准的动静分离、三开间朝南户型。
几乎保留了前一个户型所有的优势,但在尺度感、私密性和舒适度上又有突破,不管是采光、视野、通风、私密性,还是实用性都十分出色。
主卧拥有270度环幕观景飘窗,视野和采光都非常好。
当今天大多数项目的内卷竞争还停留在石材、奢石和厨电卫浴品牌的选择上时,外滩源著已经卷出了新高度——
项目标准交付有超出同价位项目约100%的收纳空间柜体,更接近拎包入住的省心体验。
今天市面上99%的新房可能装修标准很高,但是实际柜体部分都不是交付标准,后续还得自己花钱加;
这次外滩源著在入户门,标配交付了这一整面的玄关柜空间——
通过示意图我们会看到,一般项目的玄关柜处于成本原因只会做到下图中间位置的冰箱位置就结束,而外滩源著在标配的双开门冰箱(小户型博世或同等品牌、大户型利勃海尔或同等品牌)左侧还额外交付有完整的储物空间:

(收纳空间示意图,交付标准材料和颜色请以官方公告为准)
进到实地约99平样板房,整个玄关柜几乎全部都是皮质缝线包裹,细节拉满;

(样板房实拍图)
打开柜门,内外都是皮革包裹,质感进一步提升:

(样板房实拍图)
进到主卧,L形衣柜同样是交付标准,抽屉部分和半开放水吧台位置全部都是交付标准;在全上海99%的同价位样板房里,卧室衣柜都是非交付的。

(收纳空间示意图,交付标准材料和颜色请以官方公告为准)
在今年上半年大家都在卷人字拼地板的基础上,外滩源著主卧地板升级为柳叶拼接,进一步做了升级:

(样板房实拍图)
看到约143平户型,厨房岛台和上柜都不稀奇,厨房外的半开放式餐边柜和利勃海尔内嵌式同样也作为交付标准附赠,柜体额外提供接近1立方面积的收纳空间:

(收纳空间示意图,交付标准材料和颜色请以官方公告为准)
在约143平户型中,入户玄关收纳区被分为2个部分——一个是进门正对的区域,一个是进门后的步入式区域,两侧都标配有充裕的收纳空间。

(约143平户型示意图)
和约99平户型不同,约143平户型在玄关柜末端还设置有半开放水吧台,丰富生活场景:

(建面约143平户型收纳空间示意图,交付标准材料和颜色请以官方公告为准)

(建面约143平户型收纳空间示意图,交付标准材料和颜色请以官方公告为准)
主卧和约99平户型一样,衣柜更大形成衣帽空间,还交付有半开放式、类似于酒店的迷你吧设计:

(建面约143平户型收纳空间示意图,交付标准材料和颜色请以官方公告为准)

(样板房实拍图)
收纳空间全部都是来自博洛尼专属定制(或同等品牌),真正做到拎包入住、省去后期定制比价的烦恼;而在收纳空间之外,外滩源著在用料上同样可以称得上卷王——项目厨房台面是全进口的西班牙DEKTON品牌:

(样板房实拍图)
厨房为美诺三件套交付,这和之前浦江之星保持一致;

(样板房实拍图)
冰箱小户型为博世、大户型为利勃海尔,都是双开门设计;

(样板房实拍图)
基础硬件都不差,项目在审美上还做了不少创新——卫生间大量采用奢石和石材,比如主卫柜体墙面就是香格里拉翡翠拼花,龙头是冷热分离式,成本更高:

(样板房实拍图)
次卫则是采用不同风格,墙面统一采用米洞岩板、地面为深咖色瓷砖,黑金配色风格区别于看多了的海派设计,眼前一亮:

(样板房实拍图)
卫生间下柜同样是皮革包裹交付,标配智能马桶盖板:

(样板房实拍图)
入户玄关处的开放格背板采用罕见的白冰玉石材利用人造光源,通过石材的反射和折射,纹理清晰分明;
白冰玉石材的产地众多,但主要集中在矿产资源丰富的地区。其中,新疆、云南和青海是中国境内的重要产地,这些地区的白冰玉石材以其高度透明、洁白无暇等特点而著名。

(样板房实拍图)
143平大户型不仅是270度飘窗,衔接部分更是弧形玻璃、成本更高:

(样板房实拍图)
在内卷的2024年,无论从用料还是审美上,外滩源著都在同级别项目中做出了差异化,能凑齐下面这些标准的产品可以说全上海都没有几家,在千万级可能是唯一一个:
1.投影面积超同价位项目100-200%的收纳柜体空间
2.厨电美诺三件套+博世/利勃海尔双开门冰箱
3.八种不同材质的奢石运用,卫生间地面全铺石材
4.柳叶拼接地板纹路
5.大户型电视背景+书房双背景墙
154街坊项目身处杨浦滨江段,地理位置得天独厚!比起其他滨江地段,杨浦滨江的未来上限或许更高。
根据规划,杨浦滨江沿江板块“一带两区”规划总建筑面积约796万方,独占黄浦江滨江线三分之一,规模2.6倍于前滩,5倍于陆家嘴,丰富的生态系统让人无比期待!

杨浦滨江拥有美团上海科技中心、bilibili全球总部等大型企业总部;区域内还拥有字节跳动上海滨江中心、中交集团上海总部、中国节能·上海首座等企业上海总部落址,预计产业规模达3000亿,导入至少20万人口。

杨浦滨江有公共绿地约48.46公顷,滨江跑道、步道、骑行道现已全线贯通,使此地成为集合品牌策展、网红打卡、运动休闲等功能于一体的文创休闲带。
对于中建壹品154街坊来说,其还有一个很独特的“世外桃源”——复兴岛,作为黄浦江上唯一的内陆岛屿,未来极具充满想象,而占地15.6平方公里的杨浦滨江区域也将以复兴岛为核心,构建起“一岛两翼”的空间格局。
无论是对于上海,还是杨浦来说,复兴岛的开发都是重中之重,从2004年开始,复兴岛国际征集方案吸引了例如美国RTKL、Sasaki、AS&P、Chapman Taylor等世界知名公司参与。

上海现代城市更新研究院——复兴岛概念方案
项目还有更大的优势就是周边拥有便捷交通路网,12号线爱国路站距离地块仅约400米左右,5站直达北外滩,10站直达南京西路商圈,如此高效便捷的通勤圈也让项目增色不少。
无论是中环、内环亦或即将通车的北横通道东段等主干道都可以快速到达出入口位置,通过这些快速路去浦东张江、金桥也好,还是去大虹桥也好,都可以迅速抵达!
地块南侧即为平凉路第四小学,还有杨浦滨江实验小学、平凉路第三小学、东辽阳中学等教育资源环伺。
医疗配套有杨浦中心医院、定海社区卫生服务中心等;大型商业配套有上海国际时尚中心、宝龙·旭辉广场等。
沿西侧中环往南1公里,可直达黄浦江畔,波阳公园、杨浦公园、杨浦体育馆等均可以满足日常景观休闲需求

8月1日,杨浦滨江又传重大利好!根据杨浦规资局官网,杨浦区定海社区I9-01地块(大桥街道90街坊)历史风貌保护项目协议拟出让结果公示,中建壹品投资发展有限公司为意向用地者。
规划建设等要求该地块建设用地面积 21210.66平方米,规划用途为二类住宅组团用地,容积率1.4,地上计容建筑面积为29694.92平方米,建筑限高12米。此次该地块成交价为225682万元,楼面价约76000元/㎡。
而就在9月4日下午,杨浦区N090601单元I4-01地块(大桥街道97街坊)在激烈竞拍中成功出让。经过75轮竞价,最终由中铁置业和江苏润皋联合体以27.362亿元成功竞得,成交楼面地价92225元/平方米,溢价率28.1%,是七批次集中供地成交溢价率最高的地块,同时成交价格也刷新了板块记录。
97街坊I4-01地块建设用地面积16482.71平方米,土地用途为普通商品房(二类住宅组团用地),容积率1.8,计容建筑面积29668.87平方米,位于黄浦江新质秀岸区段的“动韵桥芯”实施单元内,空间意向定位为“百年新秀带、活力桥头堡”。
此前3月31日,中建壹品·外滩源著以其强大的品牌影响力和实力昭著的产品力,开盘当天为上海递交了一份满分答卷,以认筹率高达175%,当日劲销13亿的实力佳绩,刷新城市想象!可见中建壹品对豪宅产品的打造深受市场青睐!
外滩源著复兴里售楼处电话:4 00-8874-108✔【已认证】⭐⭐⭐⭐⭐
外滩源著复兴里营销中心电话:400-88 74-108✔✔【已认证】⭐⭐⭐⭐⭐
上海外滩源著复兴里官方售楼处电话:400-8874-10 8 VIPLINE✔✔✔【已认证】⭐⭐⭐⭐⭐
如有问题可来电咨询,线上售楼中心,预约销售专员,一对一为您服务!
想了解外滩源著复兴里更多信息?拨打售楼处营销中心热线:400-8874-108 (中介勿扰)【24小时热线】
楼盘项目全面介绍,本电话为开发商提供线上预约售楼电话,楼盘项目全面介绍(包含楼盘简介,均价,房价,现房,期房,别墅,叠墅,大平层,价格,楼盘地址,户型图,交通规划,备案价,备案名,项目配套,样板间,开盘时间,认筹时间,楼盘详情,售楼处电话,最新消息,最新详情,周边配套,一房一价,最新进展等详情咨询)楼盘详情丨价格丨更多优惠丨机不可失丨欢迎致电丨诚邀品鉴!售楼处位置丨特价房丨工抵房丨剩余房源丨户型图丨最新消息丨免责声明:将文章内容综合来源于网络、只作分享,版权归原作者所有!!如有侵权,请联系我们,我们第一时间处理如有问题欢迎来电咨询,专业一对一热情服务,让您用专业眼光去买房.如果您想了解更多楼盘详情,欢迎提前预约拨打
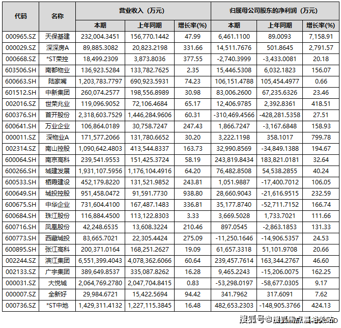
中房网讯(苏晓/文)随着三季报披露季收官,上市房企“成绩单”出炉了。
中房网根据同花顺iFinD数据统计,截至10月31日,A股共有85家上市房企披露2025年三季度业绩报告。其中,超4成房企营收实现同比增长;43家房企实现盈利,占比超五成;归母净利润实现同比增长的房企共有37家,占比为43.53%。
自2022年起,房地产行业业绩承压态势已延续数年。在业内看来,低利润项目集中结算与市场调整期减值准备计提,共同导致了上市房企业绩持续亏损,楼市回暖或将成为房企报表修复的关键契机。
超4成房企营收同比增长
从上市房企三季度报告来看,营收实现同比增长的房企共有36家,占比为42.35%;营收同比下滑的有49家,占比57.65%。
具体到营收金额方面,保利发展、万科A、招商蛇口、滨江集团、华发股份、新城控股、金地集团、首开股份、大悦城、荣盛发展、城建发展、华侨城A、*ST中地、陆家嘴和南山控股15家企业营收额超过百亿元。其中,保利发展、万科A和招商蛇口分别以1737.2亿元、1613.9亿元和897.66亿元的营收居于A股上市房企前三位。

部分头部房企亏损较大
归母净利润方面,前三季度共有43家房企实现盈利,占比超过五成。
其中,有7家房企归母净利润超过10亿元,分别是*ST中地、招商蛇口、南京高科、滨江集团、保利发展、上海临港和陆家嘴。

上述房企中,*ST中地(中交地产)的表现较为亮眼。三季报数据显示,公司前三季度营收达142.93亿元,同比增长16.48%;实现净利润48.27亿元,扭亏为盈,同比大幅增长424.13%。
作为一家“披星戴帽”的房企,其账面盈利的核心驱动力来自重大资产重组。今年6月,*ST 中地公告称,计划将旗下房地产开发业务相关的全部资产与负债,转让给控股股东中交房地产集团有限公司。这一重组事项在8月31日完成实质资产交接,房地产业务自此正式退出公司合并报表范围。
据悉,资产重组为* ST中地带来64.89亿元的资产置出相关收益,这一数据直接拉动了当期利润表现,同时推动归属于上市公司股东的净资产转正至12.48亿元。
让人唏嘘的是,三季度业绩亮眼的房企,恰恰是已经退出房地产开发业务的那家。
值得注意的是,期内部分龙头房企归母净利润出现较大亏损,如万科、*ST金科、华夏幸福等。
数据显示,今年前三季度,万科实现营业收入1613.9亿元,同比下滑16.61%;归属于上市公司股东的净亏损280.2亿元,同比下滑56.14%。
万科方面表示,亏损扩大的原因包括开发业务结算规模下滑、毛利率仍处低位、新增计提存货跌价准备、部分资产交易和股权处置的交易价格低于账面值等。
另一亏损规模超百亿的为*ST金科。前三季度,金科实现营业总收入56.99亿元,同比下滑73.57%;归母净利润亏损107.78亿元,同比下滑102.12%。
还有华夏幸福,其亏损规模也近百亿。前三季度,公司营业收入为38.82亿元,同比下降72.09%,归属于上市公司股东的净利润亏损98.29亿元,同比下滑338.67%。
25家房企实现营收和归母净利润双增
前三季度有25家房企实现了营收和归母净利润的双增长。

有37家房企实现归母净利润实现同比正增长。其中,天保基建、深深房A、深物业A、渝开发、*ST中地、世荣兆业、城投控股、南山控股、中华企业、广宇集团、万业企业、南都物业、新黄浦、凤凰股份、中洲控股、珠江股份、栖霞建设17家房企前三季度的归母净利润增长超过100%。
其中,天保基建前三季度归属于上市公司股东的净利润增幅最大,为7158.91%。天保基建表示,业绩增长主要得益于报告期内满足收入结转条件的项目增加,以及冲回的土地增值税增加和资产减值损失减少。
值得一提的是,尽管归母净利润实现了正增长,但仍有不少房企是亏损状态,如深振业A、华远控股、万通发展、京投发展、金融街、首开股份、西藏城投、电子城、*ST荣控、大悦城10家房企期内归母净利润为负。

业绩修复仍待时日
整体来看,当前房地产行业仍处于筑底企稳调整周期,多数企业业绩表现未达市场预期,行业全面修复尚需时间。
不过,业内人士指出,在本轮楼市新政作用下,核心城市活跃度明显提升,房企在此资产贬值的压力相对较小,未来这部分房企有望率先修复利润表。多家企业也表示,通过在核心城市拿利润较高的项目,逐步带动利润表的修复。
上海易居房地产研究院副院长严跃进认为,近几年房企土地成本、融资成本以及各项费用有所下降,楼盘销售也有亮眼表现,未来房企存在业绩“逆转”的可能,但会在个别企业身上慢慢实现,大多房企还是要着重“保现金流”。
声明:本文由入驻焦点开放平台的作者撰写,除焦点官方账号外,观点仅代表作者本人,不代表焦点立场。
