上海浦东区(大名城映玥)2025最新价格-楼盘详情_容积率_电话解析-浦东区(大名城映玥)楼盘百科-楼盘百科详情→24小时热线电话
扫描到手机,新闻随时看
扫一扫,用手机看文章
更加方便分享给朋友
大名城·映玥效果图
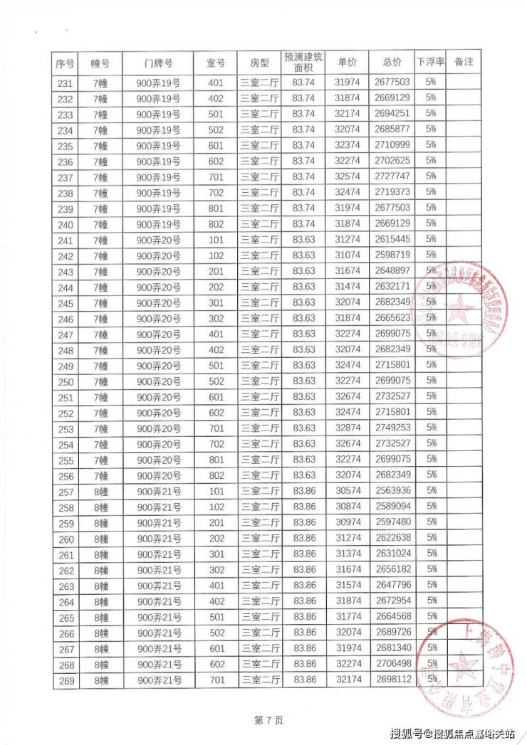
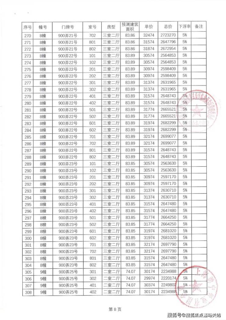
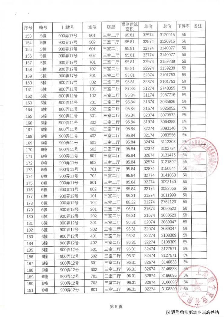
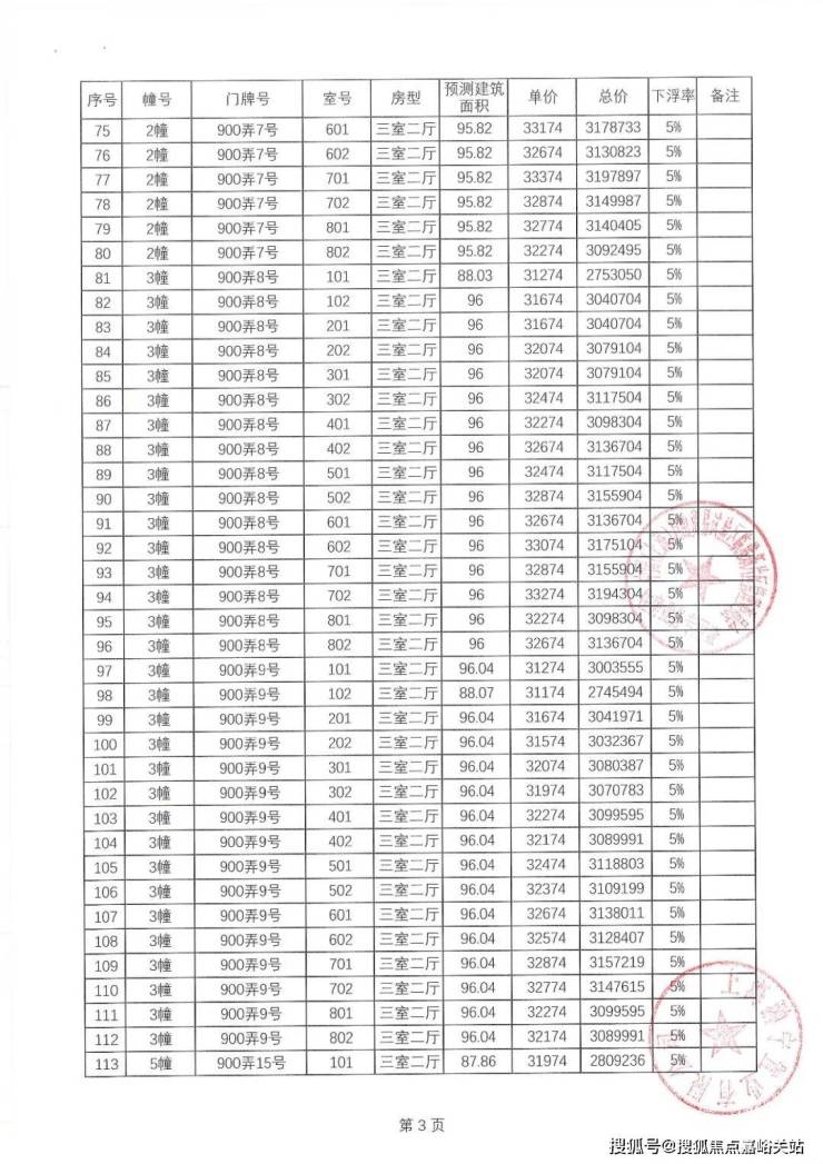
产品方面,大名城·映玥推出340套房源,将推出建面约74-96㎡2-3房洋房,精装交付,一梯两户设计,均价为32022元/㎡。
该批房源层高约3.1米,拥有同面积段户型1.1倍的空间,给予业主更宽敞、舒适的居住体验,三个户型设计的都可圈可点。
建面约74㎡两房户型,做到了双开间朝南+卫生间干湿分离+双卧室带飘窗+南北通透,附加价值很高,室内空间丝毫不显局促。
这个户型非常适合年轻的小夫妻或者是三口之家了,居住空间也比较宽敞。
建面约84㎡三房户型,这个户型可以看做建面约74㎡户型的升级版,同样做到双开间朝南+卫生间干湿分离+双卧室带飘窗+南北通透,室内空间拥有更多可能。
老实说,这个户型有3个卧室,很符合三口之家偏改善或者是二胎家庭的居住需求。
建面约96㎡三房户型,这个户型属于改善入门级户型了,做到了三开间朝南+主卧套房设计+南北通透+动静分离,室内功能空间布局非常合理。
三开间朝南设计,所有卧室均带飘窗,同时客厅带宽景阳台,整个户型南向采光面非常大,,附加价值非常高。
主卧做了套房设计,带飘窗和卫生间,保证主人隐私,是改善入门级配置。
附上建面约96㎡样板间独家看房视频:
在您通过二维码报名之前,请确保您已阅读并同意《小胖看房团用户服务协议》及《小胖看房团隐私政策》。在报名之后,我们将视为您已知晓。
近期,小胖君收到了不少群友询问:
“临港滴水湖核心非人才也有机会了,103片区值得买吗?”
“102片区,103片区,哪个更值得购买?”
回答这些问题之前,小胖君先跟大家科普下临港主城区核心区域的区别。
滴水湖实景图
临港新片区的热度毋庸置疑,大有30年前的浦东陆家嘴之势,尤其是临港主城区核心区在整个上海都是数一数二的高价值地段。
临港主城区滴水湖核心区是新片区核心,由“一核四片”组成。
“四片”包括101文旅体验片区、102文教生活片区、103科创发展片区以及105金融集聚片区。

临港主城区规划示意图
103片区规划有全国首个顶尖科学家社区、信息飞鱼全球数字经济创新岛,前沿产业集群、科创总部……
乍一听这些异常“高大上”的词汇,可能大家会很懵。
事实上,产业科创力量更强的,当属103科创发展片区。

临港新城“十四五”重点规划示意图
论规划能级,103科创发展片区丝毫不逊色于其他3个片区。
103片区与105片区同属临港新城“十四五”重点规划区域,这个板块拥有着更多的想象力!
当然了,如果不是看重未来规划的能级和量级,买在临港也就没有意义了。
103片区规划示意图
小胖君认为,大家无需纠结,103科创发展片区值得拥有,如果预算合适,想要上车临港主城区核心,一定要抓住这次千载难逢的好机会!
临港主城区滴水湖核心四批次共有5盘入市,比前三批总数还要多,在多盘分流的情况下,能入围的可能性无疑变高了不少。
区域内3个新盘已结束认购,3.1人才已被消耗了很多,103片区大名城·映玥的洋房产品等待入市,非3.1人才客户能买到的机会更大!
103片区规划示意图

“曾经你爱答不理,如今你高攀不起”!
用这句话来形容如今临港新片区主城区再贴切不过。
如今,临港主城区核心区的难买程度是MAX级别的。
上海三批次共推出127个新房,有63盘触发计分制,平均入围分59.18分。
临港主城区核心区共有4个新房开盘,3盘被3.1人才“包场”,1盘入围分为60分,即使非人才有机会入场,也是需要高分的!
毫不夸张的说,临港主城区核心区的热度,已有了赶超大虹桥之势。
区位示意图,数据来源:小胖看房数据库
再细分下,这4盘共推出1326套房源,仅是3.1人才客户就达到了2114组,非人才客户共114组。
3.1人才客户中,至多有62.7%的人买到了心仪的房源,超37.3%的人铩羽而归!
非人才客户中,仅有52组参与摇号,超54.4%的人认购陪跑。

数据来源:小胖看房数据库
另外,临港主城区核心区有明显的一二手房价差异。
核心区的二手房核验价一骑绝尘,部分项目核验价已高达7万+,要知道,区域内新房价格集中在3.2-3.4万之间。
图片&数据来源:小胖看房团小程序截图
3.1人才优先购房的政策,大量普通购房者们被拦在门外。想要赶上这波规划红利,大名城·映玥值得拥有!

临港新片区的规划未来能级有多高?
临港,是上海“十四五”重点规划区域,更是全球“一带一路”、长三角一体化下的国家级战略重地。
到2035年,临港新片区的经济规模将达到1万亿,常住人口达到250万人。
临港主城区核心区的规划能级属于“天花板”级了,未来发展上限之高有目共睹。
临港新片区规划示意图
103片区又名国际协同创新区,由三大部分组成:科创总部湾区、顶尖科学家社区和临港科技城,重点集聚发展科技服务等现代服务业。
整个板块是上海十四五规划重点发展的世界级离岸科创城。
顶尖科学家社区:规划有世界顶尖科学家科学大会永久会址、10个以上顶尖科学家实验室等。
103片区规划示意图
科创总部湾:已经确认有22家开发主体,清一色央企、国企的阵容,中建总部基地、中国铁建临港大厦、临港光明中心、长城建设集团总部基地等项目已开工建设。
临港科技城:依托“信息飞鱼”实现数字经济创新要素高度聚合,建设“数字丝路”的国际枢纽口岸。

信息飞鱼效果图
海立方一期、二期集聚众多海洋工程、海洋勘测等创新技术企业;
约14.6万方的创新晶体已竣工,“创新魔坊”一期已招引智能制造功能平台、复旦工研院等5家科创平台和达华智能等项目。
20家跨国公司研发中心、1000家高技术企业、研究机构、创新型企业总部……未来,千亿产业集群将集中在103科创发展片区。

103片区效果图
目前,阿里云创新中心、国家海洋局东海标准计量中心、上海海洋中心气象、同济大学海洋科学技术研究中心等均已入驻。
科创总部湾+顶尖科学社区+科技城的超强组合,103科创发展片区是中国的科研圣地,未来或将比肩超越硅谷的存在!
大名城·映玥作为103片区首批住宅,将直接享受到科创规划的红利。
103片区效果图

临港主城区核心周边的生活氛围是非常醇熟的,大名城·映玥所在的103片区配套仍在发展中。
交通方面,16号线直达浦东内环枢纽龙阳路,对接2号线、7号线。
自驾的话,经海港大道匝道口,直达S2沪芦高速(全城免费),连接外环,畅达全城。
大名城·映玥区位图
周边城市级旅游胜地云集。
临港滴水湖及周边拥有的旅游资源,令人眼花缭乱。
包括海昌海洋极地公园、中国航海博物馆、上海鲜花港、南汇嘴观海公园、滨海森林公园等,还有建设中的冰雪之星、上海天文馆。
上海海昌海洋公园

上海天文馆
冰雪之星
家门口就是巨大的城市绿肺。
项目周边有多个大型公园和绿化,包括8公里环湖景观带,滴水湖、星空之境海绵公园,临港城市公园,春花秋色公园等,都是休闲娱乐的好去处。
周边公园实景图
商业、医疗等生活配套还在逐步完善中。
较高能级商业有约5万方体量的港城新天地,环湖西一路约54万方综合体港城广场,一期现代服务产业园区已开园。
港城广场分四期建设,是商业、住宅、文化、酒店等多种业态的城市综合体,商业配套诸如便利店、咖啡茶饮、健身会所、休闲餐饮、商务休闲等业态招商工作也已基本完成,预计年内开业。(港城广场消息来源:上观新闻)

商业实景图
2021年,上海市第六人民医院东院正式告别独立建制,整建制并入上海市第六人民医院。
在“十四五”民生规划中,还将加快市六医院临港院区改扩建,将六院临港院区打造为区域公共卫生应急救治中心。

上海市第六人民医院东院实景图
特别值得一提的是,教育资源。
临港主城区核心从幼儿园、小学、中学甚至到高中,几乎全部集齐几大浦东金字招牌,华二和上海中学也来了,雄厚的教育力量放眼全市也是独树一帜的存在。
项目周边规划有1所国际学校,2所初中,2所小学,4所幼儿园。
冰厂田滴水湖幼儿园茉莉部实景图
上海市浦东新区明珠临港小学实景图

上海中学东校实景图
上东高中部规划示意图

大名城·映玥开发商是大名城,是AB双股上市的房地产开发商,一直被业内被称为“小星河湾”。
这是一个和绿城、仁恒同级别的豪宅缔造专家。

上海紫金九号实景图
大名城·映玥规划有8幢8层洋房和1栋保障房。
整个社区非常低密,舒适,容积率低至约1.2,建筑密度约21.65%,车位配比1:1.1。
大名城·映玥效果图
项目继承了名城高端产品线“紫金系”的理念,汲取其三大产品标准,打造名城“映”系低密品质社区。
社区建筑采用时尚典雅的现代都市风格,外立面采用局部石材、米色仿石涂料、灰咖色金属漆等材料及颜色,美观又大气。
大名城·映玥效果图
社区景观上,项目以中央景观串联、融合周边组团景观,通过“一心一环三轴八景”,倾力打造一个人性化、智能化的居住社区。
社区中央规划有一个约2000㎡中央花园,还设计有绿化休闲走廊,满足全龄段健康活动需求,是休闲娱乐的好去处。
大名城·映玥效果图
声明:本文由入驻焦点开放平台的作者撰写,除焦点官方账号外,观点仅代表作者本人,不代表焦点立场。
