联发时光新澍售楼处电话:4 00-8874-108✔【已认证】⭐⭐⭐⭐⭐ 联发时光新澍营销中心电话:400-88
74-108✔✔【已认证】⭐⭐⭐⭐⭐ 上海联发时光新澍官方售楼处电话:400-8874-10 8 VIPLINE✔✔✔【已认证】⭐⭐⭐⭐⭐
——联发时光新澍——
联发时光新澍售楼处电话:400-88 74-108✔【最新预约】⭐⭐⭐⭐⭐
联发时光新澍营销中心电话:400-8874-10 8✔✔【最新认证】⭐⭐⭐⭐⭐
上海联发时光新澍官方售楼处电话:400-8874-1 08 VIPLINE✔✔✔【最新发布】⭐⭐⭐⭐⭐
如有问题可来电咨询,线上售楼中心,预约销售专员,一对一为您服务!
想了解联发时光新澍更多信息?拨打售楼处营销中心热线:400-8874-108 (中介勿扰)【24小时热线】
17号线人气红盘,400万级首选,联发·时光新澍明日开盘!


青浦新城备受期待的人气红盘:联发·时光新澍 即将开盘!
首开价格喜人!部分楼栋价格更喜人!
项目此次首开推出建面约116-155㎡户型,主力总价约400万级。
从一房一价表来看, 项目首开均价仅约4万/㎡(约39960元/㎡),建面约116㎡户型单价更是仅约3.6万/㎡!
青浦新城近十年的价格洼地!
据克而瑞数据统计,青浦新城2017年房价就已经达到4万/㎡,最近两年更是涨到了4.6万/㎡。
而联发·时光新澍约4万/㎡的首开价格,无疑已经是青浦新城近十年的价格洼地!

从一房一价表中我们可以发现: 建面约116㎡的户型共计首开96套,户型均价更是仅约3.6万/㎡!
价格比首开均价低了接近4000元/㎡,与青浦新城的均价相比更是低了超过1万元/㎡!

从性价比的角度审视,这个户型无疑是市场上的佼佼者。
另外,建面约135㎡和建面约139㎡这两个户型的均价也仅约4.2万/㎡,相较与目前青浦新城的新房均价,也足足低了大约4000元/㎡;
而且由于尺度的原因,这两个户型最值得关注的反而不是单价,而是套均总价。
据一房一价表计算, 这两个个户型的套均总价约575万 ,与区域内竞品相比优势非常明显,毕竟同样500万级在板块内只能上车一个110㎡以内的户型。
而 在联发·时光新澍可以直接升级至最大约139㎡户型 ,尺度完全不是一个量级!

总的来说,无论是和自身比较,还是和同区域比较,联发·时光新澍的首开价格都足以用诚意满满来形容。
更重要的是,联发·时光新澍还是青浦首个新规后作品!
众所周知,“好房子”新规实施后推出的产品均实现了品质进阶,与新规前的产品相比差异显著,几乎属于两个时代的产物。
这类品质进阶的新规后产品更契合购房者对居住体验升级的需求,因此自然更受追捧。
所以基本上每个区域的新规后产品,价格都会比当地板块内的新房或二手次新房高出20-30%。
而 联发·时光新澍作为青浦首个新规后产品,不仅产品力和尺度感更强,而且性价比更高 ,完全就是“加量不加价”了!

青浦新城超人气红盘
联发·时光新澍
建面约116-155㎡3-4房
首批房源12.28开盘在即
400万级置业优选
PART . 01
新规下的品质革命
重新定义上海四百万级新房标准
在上海楼市进入“优质优价”的结构性调整期,联发·时光新澍作为新规后的品质进阶之作,以 四大核心优势 打破市场同质化困局,成为自住置换群体的焦点选择。
从可生长的户型设计到媲美豪宅的精装配置,从魔鬼收纳系统到深度融合的鸿蒙智能家居,每一处细节都精准击中当代家庭的居住痛点。
户型革命:高实得率+全周期生长空间,上海前所未见
联发·时光新澍的户型设计,彻底颠覆了传统住宅的“固定格局”思维:
▸ 超高实得率,性价比拉满:
市面上同价位二手房实得率普遍仅80%,而项目通过 多阳台+多飘窗+独立电梯厅 的设计,可用面积远超建筑面积,折算后实际单价相当于再打8折,让购房者花更少的钱享更大空间。
▸ 可生长户型,适配人生全周期:
全系采用 “承重墙归边” 的革新户型设计,打破剪力墙束缚,让家的格局随家庭阶段自由变化。
比如建面约116㎡户型:
三开间朝南面宽尺度高达约11米 ,再加上联发一贯擅长的精细化空间体系,如 双阳台+全屋飘窗设计 等,进一步增强容量,赋予业主更多实用的储藏收纳,让每一寸空间都被充分利用。
而且通过建筑的 剪刀墙归边设计 ,可以衍生出多种户型方案,打造更匹配家庭需求的可变空间。
比如次卧与客厅之间采用非承重墙,方便业主自行改造,还可以自定义空间功能划分出儿童学习区、男主人工作室等等,空间可塑性拉满。

更多户型如下:




左右滑动查看更多
精装越级:媲美千万豪宅的配置,诚意拉满
在四五百万级新房市场中,联发·时光新澍的精装配置堪称“降维打击”:
通过横向对比各区热门新房,项目的各项配置均处于超标准水平: 铸铝入户门、智能门锁、大面积岩板材质、唯宝智能马桶 (通常仅千万级豪宅采用)。
从入户到卫浴,每一处细节都彰显豪宅级质感,让购房者以刚需价格享受改善级精装。

魔鬼收纳:约3.1-3.3米层高下的空间魔法
针对当代家庭对储物空间的迫切需求,项目 依托起步3.1米、大户型3.3米的超高层高 优势,打造了一套“竖向收纳体系”:

创新采用顶部收纳、机舱式收纳等 巧思,最大化挖掘垂直空间潜力;
即使是小户型,也能拥有媲美大户型的储物容量,让生活杂物“见缝插针藏匿有序”,彻底告别空间杂乱。


智慧生态:青浦首个华为鸿蒙全屋智能社区
作为 青浦在售项目中唯一与华为深度合作的社区 ,联发·时光新澍将智能家居从“单点智能”升级为“全域智慧生态”:
▸ 底层架构革新:
搭载华为本地主机,数据本地处理无需上传云端,从根源守护隐私;采用华为全屋PLC黑科技,信号通过电线传输,断网仍可操控设备,实现“断网不断联”。

▸ 硬核智能细节:
标配华为智能门锁,行业领先的掌静脉解锁技术;全屋覆盖上海首个华为坤灵Wi-Fi6智慧入户,信号无死角。

▸ 全场景协同:
通过华为智能中控屏或智慧生活APP,可一键切换“晨起、观影、会客”等场景模式;深度融入鸿蒙生态,支持超2800个品牌、7700款智能产品接入,更实现“人-车-家”远程互联,让科技不再是冰冷的设备,而是真正服务于生活的“智能伙伴”。

PART . 02
不止新规标准
更是引领未来的生活资产
当多数项目还在满足新规基础要求时,联发·时光新澍已跳出“标准化”框架,以硬核硬件配置+智能软件系统的双重优势,打造足以引领未来10年的“未来生活资产”。
它不仅是一个居住空间,更是一种从容、自在且充满生命力的新一代生活方式。
构建全维沉浸式生活场景
项目以“下楼即享”的便捷性,将多元生活场景嵌入社区肌理,硬件规模甚至超越多数市中心顶豪。
▸ 3100㎡运动会所:在家门口实现运动自由
涵盖器械训练区、恒温泳池、屋顶篮球场等多元模块 ,下班健身、周末打球无需远行,让运动成为日常的轻松选择。
▸ 3+N主题架空层:把“生活”搬进社区公共空间
规划共享办公、学习书房、便民服务等场景,打破“关门是家、开门是陌路”的传统社区边界,让架空层成为连接邻里、满足多元需求的“第二客厅”。
▸ 12000㎡公园MALL:自然里的烟火气
将商业、运动、亲子等场景嵌入自然绿意中,形成“出门即享、下楼即达”的生活圈,无需驱车就能满足购物、休闲、亲子互动等全维需求。

New Life OS智慧社区
项目不仅有强硬件,更以 New Life OS智慧社区系统 构建“隐形的守护网”,实现安全与便捷的双重升级。

▸ 无感通行:归家动线的极致优雅
业主从进入社区大门开始, AI人脸识别系统 自动完成身份验证,单元门无感开启、电梯提前候场并点亮目标楼层,全程零接触、零等待,即便双手提满重物,也能从容归家。

▸ 无忧访客:有温度的友好体验
告别繁琐登记,业主通过手机APP一键生成虚拟通行码发送给亲友或骑手,访客凭码即可进入社区,系统还会自动推送最佳行进路线,引导顺畅抵达。

▸ 全天候守护:给家人的安心承诺
智慧系统化身“隐形保安”:家长可通过“天使之眼”实时查看孩子在儿童区的动态;AI周界防护24小时识别异常入侵;高空抛物监测精准追踪轨迹并自动取证,全方位守护家人安全。

联发·时光新澍所践行的,并非简单满足新规标准,而是打造“可长期持有、能持续增值的未来生活资产”。这种“从容、自在且充满生命力”的生活方式,正是未来社区的核心竞争力。
在这里,家不再是冰冷的建筑,而是能陪伴家庭成长、持续创造价值的“生活容器”,更是引领城市未来居住趋势的标杆样本。
PART . 03
双国家级规划加持
四五百万级年末必冲的地段王者
房地产业内有句名言:产品决定价值上限,地段决定价值下限。
而联发时光新澍即使抛开超级产品力,仅凭地段优势,也足以成为四五百万预算购房者的年末必冲选项。
它不仅占据青浦新城发展核心,更以双国家级规划加持、全维顶配配套,锁定未来十年的价值增长空间。
地段超级站位:双国家级规划+产业联动,资产更安全
买房跟着产业走,已是上海购房的黄金法则。
联发时光新澍的地段优势,恰恰踩中了 “国家级规划+高能级产业” 的双重风口:
▸ 双国家级规划加持,青浦新城前景无上限
上海仅有四个产业封顶的国家级规划(虹桥商务区、长三角一体化示范区、张江科学城、临港新片区), 青浦新城独占其二!
西接长三角一体化示范区,串联江浙发达腹地;东连大虹桥商务区,承接澎湃势能。加上自身新城规划,青浦新城的发展前景不输任何板块。
▸ 样板区正C位,锁定未来发展极
青浦新城最精华的1.2平方公里新城未来样板区 ,以全新城市界面、先进规划理念,成为大虹桥与长三角的“未来发展极”。
而联发时光新澍正位于这一发展极的正C位,坐享区域整体开发的红利。
▸ 产业联动,资产安全有保障
从项目出发:3站直达华为研发中心、4站到市西软件园、8站抵虹桥商务区,直接锁定三大高能级产业集群。
在产业为王的时代,这样的地段就是“更安全的资产”,未来增值空间不言而喻。

配套全维顶配:交通、教育、商业一步到位
除了核心地段,项目的配套更是“顶配级”,满足居住者的全场景需求:
▸ 交通:轨交+规划线路,通勤无忧
17号线淀山湖大道站:直线距离约800米,步行可达。
17号线串联徐盈路(天空万科广场)、蟠龙路(蟠龙天地)、诸光路(国家会展中心)及虹桥枢纽,还可无缝换乘2号线直达市区。

在建的示范区线往西直通华为研发中心 ,未来可达吴江、嘉善;
规划中的嘉青松金线 贯穿安亭、青浦新城、松江新城至金山,进一步拓展通勤半径(信息来源于上海市交通委员会)。

▸ 教育:全龄段优质资源,覆盖成长周期
项目周边聚集 复旦附中青浦分校、平和青浦学校、兰生复旦 等上海顶尖名校,形成从幼儿园到高中的“全龄段优质教育体系”。
此外,北侧九年一贯制学校正在筹建,或将引入高水平资源。
(注:新房不承诺学区,具体以官方公示为准)

▸ 商业:下楼即享超级商圈
现有商业:直线800米内有青浦万达茂(43万㎡)、东渡悦来城两大站前超级商业体,满足日常购物、休闲需求;往东还有吾悦广场。
未来商业:样板区南侧将建联发集团打造的滨水商业,形成独具特色的休闲水岸空间,进一步丰富生活场景。

青浦新城超人气红盘
联发·时光新澍
建面约116-155㎡3-4房
首批房源开盘在即
400万级置业优选
联发时光新澍售楼处电话:4 00-8874-108✔【已认证】⭐⭐⭐⭐⭐
联发时光新澍营销中心电话:400-88 74-108✔✔【已认证】⭐⭐⭐⭐⭐
上海联发时光新澍官方售楼处电话:400-8874-10 8 VIPLINE✔✔✔【已认证】⭐⭐⭐⭐⭐
如有问题可来电咨询,线上售楼中心,预约销售专员,一对一为您服务!
想了解联发时光新澍更多信息?拨打售楼处营销中心热线:400-8874-108 (中介勿扰)【24小时热线】
楼盘项目全面介绍,本电话为开发商提供线上预约售楼电话,楼盘项目全面介绍(包含楼盘简介,均价,房价,现房,期房,别墅,叠墅,大平层,价格,楼盘地址,户型图,交通规划,备案价,备案名,项目配套,样板间,开盘时间,认筹时间,楼盘详情,售楼处电话,最新消息,最新详情,周边配套,一房一价,最新进展等详情咨询)楼盘详情丨价格丨更多优惠丨机不可失丨欢迎致电丨诚邀品鉴!售楼处位置丨特价房丨工抵房丨剩余房源丨户型图丨最新消息丨免责声明:将文章内容综合来源于网络、只作分享,版权归原作者所有!!如有侵权,请联系我们,我们第一时间处理如有问题欢迎来电咨询,专业一对一热情服务,让您用专业眼光去买房.如果您想了解更多楼盘详情,欢迎提前预约拨打
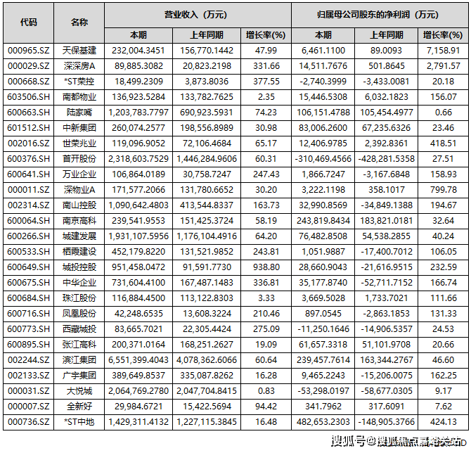
中房网根据同花顺iFinD数据统计,截至10月31日,A股共有85家上市房企披露2025年三季度业绩报告。其中,超4成房企营收实现同比增长;43家房企实现盈利,占比超五成;归母净利润实现同比增长的房企共有37家,占比为43.53%。
自2022年起,房地产行业业绩承压态势已延续数年。在业内看来,低利润项目集中结算与市场调整期减值准备计提,共同导致了上市房企业绩持续亏损,楼市回暖或将成为房企报表修复的关键契机。
超4成房企营收同比增长
从上市房企三季度报告来看,营收实现同比增长的房企共有36家,占比为42.35%;营收同比下滑的有49家,占比57.65%。
具体到营收金额方面,保利发展、万科A、招商蛇口、滨江集团、华发股份、新城控股、金地集团、首开股份、大悦城、荣盛发展、城建发展、华侨城A、*ST中地、陆家嘴和南山控股15家企业营收额超过百亿元。其中,保利发展、万科A和招商蛇口分别以1737.2亿元、1613.9亿元和897.66亿元的营收居于A股上市房企前三位。

部分头部房企亏损较大
归母净利润方面,前三季度共有43家房企实现盈利,占比超过五成。
其中,有7家房企归母净利润超过10亿元,分别是*ST中地、招商蛇口、南京高科、滨江集团、保利发展、上海临港和陆家嘴。

上述房企中,*ST中地(中交地产)的表现较为亮眼。三季报数据显示,公司前三季度营收达142.93亿元,同比增长16.48%;实现净利润48.27亿元,扭亏为盈,同比大幅增长424.13%。
作为一家“披星戴帽”的房企,其账面盈利的核心驱动力来自重大资产重组。今年6月,*ST 中地公告称,计划将旗下房地产开发业务相关的全部资产与负债,转让给控股股东中交房地产集团有限公司。这一重组事项在8月31日完成实质资产交接,房地产业务自此正式退出公司合并报表范围。
据悉,资产重组为* ST中地带来64.89亿元的资产置出相关收益,这一数据直接拉动了当期利润表现,同时推动归属于上市公司股东的净资产转正至12.48亿元。
让人唏嘘的是,三季度业绩亮眼的房企,恰恰是已经退出房地产开发业务的那家。
值得注意的是,期内部分龙头房企归母净利润出现较大亏损,如万科、*ST金科、华夏幸福等。
数据显示,今年前三季度,万科实现营业收入1613.9亿元,同比下滑16.61%;归属于上市公司股东的净亏损280.2亿元,同比下滑56.14%。
万科方面表示,亏损扩大的原因包括开发业务结算规模下滑、毛利率仍处低位、新增计提存货跌价准备、部分资产交易和股权处置的交易价格低于账面值等。
另一亏损规模超百亿的为*ST金科。前三季度,金科实现营业总收入56.99亿元,同比下滑73.57%;归母净利润亏损107.78亿元,同比下滑102.12%。
还有华夏幸福,其亏损规模也近百亿。前三季度,公司营业收入为38.82亿元,同比下降72.09%,归属于上市公司股东的净利润亏损98.29亿元,同比下滑338.67%。
25家房企实现营收和归母净利润双增
前三季度有25家房企实现了营收和归母净利润的双增长。

有37家房企实现归母净利润实现同比正增长。其中,天保基建、深深房A、深物业A、渝开发、*ST中地、世荣兆业、城投控股、南山控股、中华企业、广宇集团、万业企业、南都物业、新黄浦、凤凰股份、中洲控股、珠江股份、栖霞建设17家房企前三季度的归母净利润增长超过100%。
其中,天保基建前三季度归属于上市公司股东的净利润增幅最大,为7158.91%。天保基建表示,业绩增长主要得益于报告期内满足收入结转条件的项目增加,以及冲回的土地增值税增加和资产减值损失减少。
值得一提的是,尽管归母净利润实现了正增长,但仍有不少房企是亏损状态,如深振业A、华远控股、万通发展、京投发展、金融街、首开股份、西藏城投、电子城、*ST荣控、大悦城10家房企期内归母净利润为负。

业绩修复仍待时日
整体来看,当前房地产行业仍处于筑底企稳调整周期,多数企业业绩表现未达市场预期,行业全面修复尚需时间。
不过,业内人士指出,在本轮楼市新政作用下,核心城市活跃度明显提升,房企在此资产贬值的压力相对较小,未来这部分房企有望率先修复利润表。多家企业也表示,通过在核心城市拿利润较高的项目,逐步带动利润表的修复。
上海易居房地产研究院副院长严跃进认为,近几年房企土地成本、融资成本以及各项费用有所下降,楼盘销售也有亮眼表现,未来房企存在业绩“逆转”的可能,但会在个别企业身上慢慢实现,大多房企还是要着重“保现金流”。