润雲金茂府 (售楼处) 官方首页网站 - 润雲金茂府销售中心电话 - 户型 - 价格 - 地址 - 楼盘详情 - 配套 - 电话 - 交房时间
扫描到手机,新闻随时看
扫一扫,用手机看文章
更加方便分享给朋友



这是一段被不断刷新的热销编年史,也是一场关于时代资产的争藏实录。
从首开36分钟引爆市场,到收官之作的珍藏落槌,润雲金茂府以“五开五罄”的绝对战绩,在短短5个月内完美收官。
每一次推售,时间都在以分钟为单位被重新丈量:28分钟、10分钟、16分钟……直至最后12席瞬速落定。这不仅是速度的传奇,更是塔尖圈层用选择投下的信任票,一场席卷上海的“中环墅居热潮”由此被彻底引爆。
热销绝非偶然,其背后是金茂府3.0高端产品系与“中环低密科技墅”稀缺价值的双重引爆。当城市顶奢生活样本遇见塔尖圈层的深度认同,强大的市场蓄客量便水到渠成。
一场屡次“分钟售罄”的精准营销
在变幻莫测的市场中,真正的标杆从不随波逐流,而是以绝对的掌控力,书写自己的独立行情。润雲金茂府,便是这样一位时代的执笔人。
回顾其传奇历程,每一步都精准踩在市场的脉搏上,奏响了一曲节奏分明、高潮迭起的王者乐章:
·首开奠基,现象级登场:5月28日,项目盛大首开,仅36分钟便宣告“日光”。这不仅是一次开盘,更是一次市场宣言,瞬间点燃全城期待。
·二开立标,实力印证:一个月后的6月28日,项目乘胜追击,28分钟再度秒罄。速度,成为其最直观的代言,市场信心空前高涨。
·三开封神,触发积分:8月16日,传奇续写。热度飙升至触发积分制,仅10分钟便告抢藏完毕。至此,润雲金茂府已不仅是热销,更成为需要“资格”才能参与的顶级圈层盛事。
·四开定鼎,传奇常态:9月27日,16分钟,四开四罄。“秒罂”对于润雲金茂府而言,已从新闻变成了常态,其产品力的护城河坚不可摧。
·五开收官,终藏圆满:10月30日,伴随着最后12席珍品的落定,项目圆满收官。这不仅是一次销售的结束,更是一个时代藏品就此封藏的开始。
从春华到秋实,在短短五个月里,润雲金茂府以“五开五罄”的完美节奏,演绎了一场关于价值、时机与信仰的操盘艺术。它用一次次递减的“分钟数”,证明了真正稀缺的产品,从不畏惧市场的检验,反而在时间的淬炼中,价值愈发璀璨。
2024年出让的地块,在今年都达到了房价新高度!中环高层新房单价稳站14万/㎡!
徐汇滨江的绿城潮鸣东方均价约19.5万/㎡!
静安大宁的中建玖上琅宸,目前放风价16万+/㎡!
长宁北新泾去年土拍的一幅地块,未来有望卖14万+/㎡!
甚至连外环旁长宁程家桥项目,目前联动价都达到了11.8万/㎡!
而本案项目地处中环旁,距中环线直线距离仅约1.5公里(数据来源:百度地图),金茂+华润置地+建发,三家巨擘开发商联袂开发,低密科技别墅区+5000元装标+无保障房+无中小套型,均价仅约8.9万/㎡,未来可能再也找不出这个价格的科技墅区了!
所以,本案的价格优势十分明显!在价格优势下,本案还有超低容积率!
2023年至2025年二批次,上海集中土拍合计129幅宅地,容积率1.3及以下宅地仅有10块,占比仅约7%,臻稀程度MAX!

作为纯墅区,项目规划4F叠加别墅,中小套型、住宅套数下限无设定,保障房配建比例为0%,装修标准5000元/㎡。其宜居性、视野、采光、人均资源占有率以及居住舒适度等全维度的表现都会非常出众。
作为府系3.0力作、金茂上海30年首个纯别墅社区,金茂是冲着做标杆去的,对品质的投入完全不遗余力。
从建筑外立面来看,润雲金茂府堪称一场跨越千年的东方美学盛宴。
从建筑到景观,润雲金茂府的每一处细节都流淌着跨越千年的东方美学。设计师以宋代文人雅士的园林意境为蓝本,将小中见大的造园智慧与当代都市生活完美融合
外立面:项目以“雅映金石”为设计理念,采用横向大面积连贯玻璃及落地窗,搭配铝板和中空LOW-E三玻两腔,形成大规模窗墙比,实现了极致的采光和视野,将建筑的通透性和简洁性展现得淋漓尽致。
据悉,整体立面石材占比超过70%,且采用进口石材打造,成本要远高于豪宅中常见的铝板立面,足见润雲金茂府的投入与诚意。
景观:润雲金茂府遵循“隐于自然,显于贵隐”的设计理念,打造了一轴五象十巷两谷的五感园林体系,为 200位雅士呈现了一幅可游可居的立体山水画卷。

入口府门,以乌桕林为主景树,结合置石打造充满艺术品质感的迎宾府厅。
园内规划了青染归宇、庭光望岳、抱水洞天、听涛栖隐、逐影穿林等多个景观节点。苔林景观以乌桕林与苔藓营造自然野趣,琉璃光院借鉴日本琉璃光院意境,用红枫打造雅奢幽静的氛围。
每一处景致都是精心设计的“心灵触发器”,让你在移步异景间,从感官到精神都得到升华。迎宾府厅的仪式感、庭光望岳的意境感、鎏光水汀的松弛感、君兰会友的幸福感、秘密花园的无忧感,让你仿佛置身于人间仙境。
项目规划了约1000㎡的新奢会所,对标5000万级配置,是圈层社交与生活休闲的完美融合。走进这个会所,仿佛开启了一场奢华体验之旅。新奢会所里有雪茄吧、私宴厅、兰心瑜伽室等,将社交、休闲、健康场景融为一体。(仅示范展示期间功能,实际会所功能以交付后为准)
精装车库,金茂这次也拿出了流光穹顶的天幕和定制化的归家门头,甚至地面都采用了石材来增加奢华感。
地上高品质精装交付。润雲金茂府以8大精装系统,从人性化、健康、收纳、五感、社交、精工、智能化、颜值等维度,打造上海顶级豪宅的品质。很多硬核配置与细节设计,大家可以在实景样板房开放后现场品鉴。

示意图,非交付标准 仅作示意 具体以交付为准
上海叠墅产品的供应,主力来自“高低配”,常规容积率地块上排布高层,然后挤出部分做叠墅。这样的产品必然面临窄楼间距和小花园,同时也要被高层俯瞰,私密性较弱。
拿到低密宅地,一般开发商会做洋房、叠墅与联排的组合,通过联排产品的高溢价实现最大化利润。但都会牺牲叠墅的密度、间距和舒适性。
甚至在容积率限制下规划5-6层的叠墅,土地资源被极度稀释,产品价值急剧下滑。
润雲金茂府在1.29容积率下,规划了纯粹的四层叠墅,从源头保证了每一套房源的土地资源浓度。仅200席叠墅,都能真正享受低密的氛围,更大的楼间距、更大的绿地花园,更丰富的社区景观,也保证了社区圈层的纯粹性。
【润雲金茂】府则以178-200㎡纯大户型起步,通过“7-15米垂直空间体系”重构了当下高端市场的居住标准:
此外,项目还革命性地通过南北双入户门厅+定制独立电梯设计,实现了“独门独户”的独栋体验,在中环叠墅产品中也仅此一家!
▷▶互不干扰的尺度生活!
当下市场中尽管叠墅产品不少,但普遍存在层高较低、庭院较小、地下空间幽暗的问题,而润雲金茂府则在空间尺度和居住体验的细节上做了大幅创新改良!
全系户型层高均在3米以上,客餐厅等公区部分层高更达到3.3米!即便是地下空间尺度也毫不敷衍!
下叠户型的地下室挑高5.9米!上叠的地下室层高也达2.9米!5F还有专属屋面露台(70-90㎡)!配合16-18米超宽栋距(比常规叠墅宽40%)尺度感体验感拉满!
尺度感爆表的同时,润雲金茂府更革命性地通过垂直分区实现“动区在下、静区在上”的功能隔离,全家i人e人互不打扰的同时,也解决了平层产品“开门见厅”的隐私痛点!堪称高端住宅空间体验上的一次降维打击!
下叠户型分析
首先能看到超大南向绿地花园,与客餐厅连为一体。这个边套户型,还带有侧向绿地花园,巨大的L型庭院,家庭聚场、静谧花园、亲子互动皆随心所欲。
一楼的客餐厅、厨房及北向卧室,均能获得庭院景观视野。
2层设置卧室空间,2个套房+1个类套房。主卧步入式衣帽间,双台盆加浴缸的设计,再加上一个观景阳台,奢阔尺度直逼250+㎡的大平层。
地下室层高约5.8米,业主也可以分隔为2层,进一步拓展使用空间。家庭影院、健身房、酒窖、台球桌、兴趣工坊等,多彩生活在此尽情释放。
上叠从北绿地花园入户,经私家电梯直接进入3层或4层室内空间,或进入B1夹层地下室。
从4楼客厅层楼梯往上走,到达露台层,可作为空中花园、夏日烧烤、城市观景或独处静思等,精神与视野在此无限延展。
三楼:
四楼:
润云金茂府售楼处电话:4 00-8874-108✔【已认证】⭐⭐⭐⭐⭐
润云金茂府营销中心电话:400-88 74-108✔✔【已认证】⭐⭐⭐⭐⭐
上海润云金茂府官方售楼处电话:400-8874-10 8 VIPLINE✔✔✔【已认证】⭐⭐⭐⭐⭐
如有问题可来电咨询,线上售楼中心,预约销售专员,一对一为您服务!
想了解润云金茂府更多信息?拨打售楼处营销中心热线:400-8874-108 (中介勿扰)【24小时热线】
楼盘项目全面介绍,本电话为开发商提供线上预约售楼电话,楼盘项目全面介绍(包含楼盘简介,均价,房价,现房,期房,别墅,叠墅,大平层,价格,楼盘地址,户型图,交通规划,备案价,备案名,项目配套,样板间,开盘时间,认筹时间,楼盘详情,售楼处电话,最新消息,最新详情,周边配套,一房一价,最新进展等详情咨询)楼盘详情丨价格丨更多优惠丨机不可失丨欢迎致电丨诚邀品鉴!售楼处位置丨特价房丨工抵房丨剩余房源丨户型图丨最新消息丨免责声明:将文章内容综合来源于网络、只作分享,版权归原作者所有!!如有侵权,请联系我们,我们第一时间处理如有问题欢迎来电咨询,专业一对一热情服务,让您用专业眼光去买房.如果您想了解更多楼盘详情,欢迎提前预约拨打
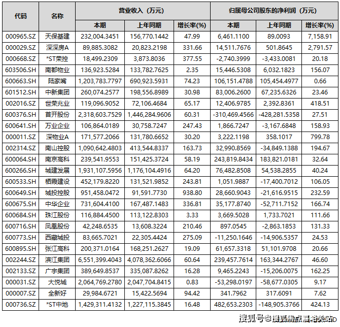
中房网根据同花顺iFinD数据统计,截至10月31日,A股共有85家上市房企披露2025年三季度业绩报告。其中,超4成房企营收实现同比增长;43家房企实现盈利,占比超五成;归母净利润实现同比增长的房企共有37家,占比为43.53%。
自2022年起,房地产行业业绩承压态势已延续数年。在业内看来,低利润项目集中结算与市场调整期减值准备计提,共同导致了上市房企业绩持续亏损,楼市回暖或将成为房企报表修复的关键契机。
超4成房企营收同比增长
从上市房企三季度报告来看,营收实现同比增长的房企共有36家,占比为42.35%;营收同比下滑的有49家,占比57.65%。
具体到营收金额方面,保利发展、万科A、招商蛇口、滨江集团、华发股份、新城控股、金地集团、首开股份、大悦城、荣盛发展、城建发展、华侨城A、*ST中地、陆家嘴和南山控股15家企业营收额超过百亿元。其中,保利发展、万科A和招商蛇口分别以1737.2亿元、1613.9亿元和897.66亿元的营收居于A股上市房企前三位。

部分头部房企亏损较大
归母净利润方面,前三季度共有43家房企实现盈利,占比超过五成。
其中,有7家房企归母净利润超过10亿元,分别是*ST中地、招商蛇口、南京高科、滨江集团、保利发展、上海临港和陆家嘴。

上述房企中,*ST中地(中交地产)的表现较为亮眼。三季报数据显示,公司前三季度营收达142.93亿元,同比增长16.48%;实现净利润48.27亿元,扭亏为盈,同比大幅增长424.13%。
作为一家“披星戴帽”的房企,其账面盈利的核心驱动力来自重大资产重组。今年6月,*ST 中地公告称,计划将旗下房地产开发业务相关的全部资产与负债,转让给控股股东中交房地产集团有限公司。这一重组事项在8月31日完成实质资产交接,房地产业务自此正式退出公司合并报表范围。
据悉,资产重组为* ST中地带来64.89亿元的资产置出相关收益,这一数据直接拉动了当期利润表现,同时推动归属于上市公司股东的净资产转正至12.48亿元。
让人唏嘘的是,三季度业绩亮眼的房企,恰恰是已经退出房地产开发业务的那家。
值得注意的是,期内部分龙头房企归母净利润出现较大亏损,如万科、*ST金科、华夏幸福等。
数据显示,今年前三季度,万科实现营业收入1613.9亿元,同比下滑16.61%;归属于上市公司股东的净亏损280.2亿元,同比下滑56.14%。
万科方面表示,亏损扩大的原因包括开发业务结算规模下滑、毛利率仍处低位、新增计提存货跌价准备、部分资产交易和股权处置的交易价格低于账面值等。
另一亏损规模超百亿的为*ST金科。前三季度,金科实现营业总收入56.99亿元,同比下滑73.57%;归母净利润亏损107.78亿元,同比下滑102.12%。
还有华夏幸福,其亏损规模也近百亿。前三季度,公司营业收入为38.82亿元,同比下降72.09%,归属于上市公司股东的净利润亏损98.29亿元,同比下滑338.67%。
25家房企实现营收和归母净利润双增
前三季度有25家房企实现了营收和归母净利润的双增长。

有37家房企实现归母净利润实现同比正增长。其中,天保基建、深深房A、深物业A、渝开发、*ST中地、世荣兆业、城投控股、南山控股、中华企业、广宇集团、万业企业、南都物业、新黄浦、凤凰股份、中洲控股、珠江股份、栖霞建设17家房企前三季度的归母净利润增长超过100%。
其中,天保基建前三季度归属于上市公司股东的净利润增幅最大,为7158.91%。天保基建表示,业绩增长主要得益于报告期内满足收入结转条件的项目增加,以及冲回的土地增值税增加和资产减值损失减少。
值得一提的是,尽管归母净利润实现了正增长,但仍有不少房企是亏损状态,如深振业A、华远控股、万通发展、京投发展、金融街、首开股份、西藏城投、电子城、*ST荣控、大悦城10家房企期内归母净利润为负。

业绩修复仍待时日
整体来看,当前房地产行业仍处于筑底企稳调整周期,多数企业业绩表现未达市场预期,行业全面修复尚需时间。
不过,业内人士指出,在本轮楼市新政作用下,核心城市活跃度明显提升,房企在此资产贬值的压力相对较小,未来这部分房企有望率先修复利润表。多家企业也表示,通过在核心城市拿利润较高的项目,逐步带动利润表的修复。
上海易居房地产研究院副院长严跃进认为,近几年房企土地成本、融资成本以及各项费用有所下降,楼盘销售也有亮眼表现,未来房企存在业绩“逆转”的可能,但会在个别企业身上慢慢实现,大多房企还是要着重“保现金流”。
声明:本文由入驻焦点开放平台的作者撰写,除焦点官方账号外,观点仅代表作者本人,不代表焦点立场。
