虹桥嘉悦府售楼处电话:4 00-8874-108✔【已认证】⭐⭐⭐⭐⭐ 虹桥嘉悦府营销中心电话:400-88
74-108✔✔【已认证】⭐⭐⭐⭐⭐ 上海虹桥嘉悦府官方售楼处电话:400-8874-10 8 VIPLINE✔✔✔【已认证】⭐⭐⭐⭐⭐
项目基础信息
——虹桥嘉悦府——
虹桥嘉悦府售楼处电话:400-88 74-108✔【最新预约】⭐⭐⭐⭐⭐
虹桥嘉悦府营销中心电话:400-8874-10 8✔✔【最新认证】⭐⭐⭐⭐⭐
上海虹桥嘉悦府官方售楼处电话:400-8874-1 08 VIPLINE✔✔✔【最新发布】⭐⭐⭐⭐⭐
如有问题可来电咨询,线上售楼中心,预约销售专员,一对一为您服务!
想了解虹桥嘉悦府更多信息?拨打售楼处营销中心热线:400-8874-108 (中介勿扰)【24小时热线】
项目名称: 象屿同进·虹桥嘉悦府
物业类型: 住宅
产品形态: 高层,叠墅
总户数: 1004
车位比: 1:1.3
容积率: 2.2
层高: 高层2.95米,叠加3米
物业公司: 自持物业


物业费: 待定
装修情况: 精装修(中央空调/新风/地暖)
价格: 高层5.5万/㎡;叠加6-7.3万/㎡
总价区间: 叠加:仅剩最后一套1100万
高层: 510-600万
交房时间: 2025年6月30日
拿地时间: 2022年9月
在售产品面积段:
下叠145㎡:4房2厅3卫
高层99㎡:3房2厅2卫
高层105㎡:3房2厅2卫

2023,国企象屿五子齐发,气势如虹!
象屿招商·公园1872南区、象屿招商·公园1872北区、招商象屿·蟠龙府2期、象屿同进·虹桥嘉悦府、天安象屿·萃湖臻境、象屿路劲·都匯云境五盘齐发,一批次均已过会,开盘在即!在上海拿地的资金成本有多大,都是以亿为单位计数,而国企象屿开年抛出5个王炸,真正的实力担当!
象屿地产,是《财富》世界500强、大型国企象屿集团的全资子公司,象屿集团已连续多年入围《财富》世界500强。这次择址北虹桥,打造象屿最高端的“悦府”系产品,聚焦“高品质”,将成为北区全新人居标杆。

象屿同进·虹桥嘉悦府售楼处实拍▼



【象屿同进·虹桥嘉悦府】 不仅为业主配备了难得的恒温泳池会所,整体规模更是达到了约1500㎡!会所内配备恒温泳池&更衣室、健身房、书吧、棋牌室、儿童区等功能,集运动、休闲、社交、亲子等多功能于一体,满足业主多样的生活需求。





示意图
除了恒温泳池会所之外,项目还坚持高标准精装交付!连叠加都是装修的!

据悉项目 “三件套”齐备: 大金(或同等品牌)中央空调、大金(或同等品牌)地暖、知名品牌新风,一看就舍得在装修上花成本,这才是品质生活的保障。

示意图
除了高标准装修交付之外,项目还是一个超低能耗住区!通过调整窗墙比例,提升采光效果;利用绿色环保材料,实现节能创新;还有新风回收装置;变频变压 VVVF 节能电梯;天氟地水两联供系统等,在满足居住舒适度的同时,还能节能环保!
高层&叠墅效果图&实拍图▼




项目从生活美学维度以及当代菁英对归家仪式感的需求,匠心打造质感与艺术品味兼具的 五重归家礼遇 。
一进: 礼序门户,曲水迎宾;
二进: 高端会所,圈层往来;
三进: 归家轴线,对景礼序;
四进: 主体巷道,墅区归家仪式;
五进: 品质入户,极致归家体验。

示意图
景观方面,项目整体规划多处亮点空间以及八大户外场景融入社区,社区设置 约33m面宽极奢归家门头 、 迎宾互动水景 、 摩卡中心会客 、 下沉共享庭院 、 全龄互动乐园 、 全民慢跑计划 、 两大美学生活宅间 、 坊巷入户体系 ,让业主在每一个角落都能享受放松与悠闲。

示意图
项目推售详情
本次预计推出4#14#15#17#墅境高层与建面约8#10#滨水叠墅,共计322套房源。8#10#叠墅为项目滨水叠墅收官之作,彰显墅区品质,板块内惟一在售叠墅产品。
15#视野景观最好,位于项目内C位担当,极具尊感。
145㎡滨水叠墅,最后1套叠加产品收官在即,稀缺性不言而喻,错过不再有!

三期加推示意图

叠加效果图
高层87㎡三房两厅一卫

建面约99㎡3房户型图▼

建面约105㎡为5.1米宽厅设计外接大阳台,这对黄金组合一方面撑开户内尺度,另一方面也让通风和采光俱佳。


105㎡3房样板间实拍▼









除了高层,项目还有南翔稀缺叠墅。环顾南翔的别墅产品,主要集中在金地片区,大部分已有15年房龄了,而且面积大起价高。
建面约145㎡下叠▼

建面约140㎡中叠▼

建面约120㎡上叠▼

项目区位配套
从区位来看,嘉定南翔相较于青浦、松江等区域更加靠近市区。作为嘉定的重点区域, 南翔距离人民广场和徐家汇均不到16公里 ,真正做到与市区紧密相连。
其实, 南翔的板块定位与闵行的莘庄类似 ,地理位置也极其相似,作为嘉定区承接市区外溢的桥头堡,南翔的未来不可限量。

示意图
除了背靠市区这颗大树之外,南翔还位于国家级战略发展重心的大虹桥板块。
在嘉定“十四五”规划中,南翔被纳入北虹桥综合商务区 ,未来的南翔,必将成为虹桥国际开放枢纽的创新承载区。
大虹桥不仅是 长三角一体化国家战略中的“领头羊” ,更是上海面向未来的战略发展空间与主要发展极,因此,虹桥也将为上海、为长三角、为全世界,带来更多想象。

示意图
当然,南翔不仅占据区位方面的优势,在交通方面与市区和大虹桥也可以直接串联。
首先是快速公路方面,南翔板块内共有三条快速交通。
沿沪嘉高速向东,可转入外环以及中环,轻松切换市区。
沿 嘉闵高架 向南,可以便捷通勤大虹桥。
沿沪翔高速向西,可汇入沈海高速联通长三角。

示意图
其次是轨道交通方面,南翔板块内有三条地铁穿境而过。
地铁11号线 ,向东可以直达真如、徐家汇、徐汇滨江和前滩等市区多个CBD,向西可以直达嘉定新城。
嘉闵线(在建中) ,只需4站即可到达虹桥站,另外还可与13/14号线换乘。
22号线(规划中) ,据最新上海轨道交通示意图显示,22号线自南翔连接吴淞邮轮港。

示意图
众所周知,南翔主打的标签就是“ 宜居 ”!
这里不仅拥有整齐划一的中高端城市界面,道路两旁也绿茵葱葱,同时拥有留云湖、银翔湖两大景观湖,未来还将打造云翔湖。

南翔实景图
商业配套方面:南翔有约78万方CBD六大商圈。
上海最大单体商业印象城商圈约34万方、五彩城商圈约4万方、中冶祥腾商圈18万方、南翔老街约14万方、太茂商业广场约5万方......

嘉定印象城实拍图
今年刚运营的上海第五家山姆会员店,距离虹桥嘉悦府约800米!

嘉定山姆超市实拍图
教育资源方面: 云翔规划教育用地16块,已知3所在建或已建成的优质公立学校——上海世外教育附属嘉定云翔小学(在建)、上海世外教育附属嘉定云翔中学(在建)、惠亚路中学。

嘉定世外实拍图
医疗资源方面: 「上海瑞金医院北部院区」三级综合医院、「南翔医院」二级甲等综合医院,以优渥医疗资源,守护业主健康。

虹桥嘉悦府售楼处电话:4 00-8874-108✔【已认证】⭐⭐⭐⭐⭐
虹桥嘉悦府营销中心电话:400-88 74-108✔✔【已认证】⭐⭐⭐⭐⭐
上海虹桥嘉悦府官方售楼处电话:400-8874-10 8 VIPLINE✔✔✔【已认证】⭐⭐⭐⭐⭐
如有问题可来电咨询,线上售楼中心,预约销售专员,一对一为您服务!
想了解虹桥嘉悦府更多信息?拨打售楼处营销中心热线:400-8874-108 (中介勿扰)【24小时热线】
楼盘项目全面介绍,本电话为开发商提供线上预约售楼电话,楼盘项目全面介绍(包含楼盘简介,均价,房价,现房,期房,别墅,叠墅,大平层,价格,楼盘地址,户型图,交通规划,备案价,备案名,项目配套,样板间,开盘时间,认筹时间,楼盘详情,售楼处电话,最新消息,最新详情,周边配套,一房一价,最新进展等详情咨询)楼盘详情丨价格丨更多优惠丨机不可失丨欢迎致电丨诚邀品鉴!售楼处位置丨特价房丨工抵房丨剩余房源丨户型图丨最新消息丨免责声明:将文章内容综合来源于网络、只作分享,版权归原作者所有!!如有侵权,请联系我们,我们第一时间处理如有问题欢迎来电咨询,专业一对一热情服务,让您用专业眼光去买房.如果您想了解更多楼盘详情,欢迎提前预约拨打
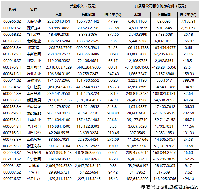
中房网根据同花顺iFinD数据统计,截至10月31日,A股共有85家上市房企披露2025年三季度业绩报告。其中,超4成房企营收实现同比增长;43家房企实现盈利,占比超五成;归母净利润实现同比增长的房企共有37家,占比为43.53%。
自2022年起,房地产行业业绩承压态势已延续数年。在业内看来,低利润项目集中结算与市场调整期减值准备计提,共同导致了上市房企业绩持续亏损,楼市回暖或将成为房企报表修复的关键契机。
超4成房企营收同比增长
从上市房企三季度报告来看,营收实现同比增长的房企共有36家,占比为42.35%;营收同比下滑的有49家,占比57.65%。
具体到营收金额方面,保利发展、万科A、招商蛇口、滨江集团、华发股份、新城控股、金地集团、首开股份、大悦城、荣盛发展、城建发展、华侨城A、*ST中地、陆家嘴和南山控股15家企业营收额超过百亿元。其中,保利发展、万科A和招商蛇口分别以1737.2亿元、1613.9亿元和897.66亿元的营收居于A股上市房企前三位。

部分头部房企亏损较大
归母净利润方面,前三季度共有43家房企实现盈利,占比超过五成。
其中,有7家房企归母净利润超过10亿元,分别是*ST中地、招商蛇口、南京高科、滨江集团、保利发展、上海临港和陆家嘴。

上述房企中,*ST中地(中交地产)的表现较为亮眼。三季报数据显示,公司前三季度营收达142.93亿元,同比增长16.48%;实现净利润48.27亿元,扭亏为盈,同比大幅增长424.13%。
作为一家“披星戴帽”的房企,其账面盈利的核心驱动力来自重大资产重组。今年6月,*ST 中地公告称,计划将旗下房地产开发业务相关的全部资产与负债,转让给控股股东中交房地产集团有限公司。这一重组事项在8月31日完成实质资产交接,房地产业务自此正式退出公司合并报表范围。
据悉,资产重组为* ST中地带来64.89亿元的资产置出相关收益,这一数据直接拉动了当期利润表现,同时推动归属于上市公司股东的净资产转正至12.48亿元。
让人唏嘘的是,三季度业绩亮眼的房企,恰恰是已经退出房地产开发业务的那家。
值得注意的是,期内部分龙头房企归母净利润出现较大亏损,如万科、*ST金科、华夏幸福等。
数据显示,今年前三季度,万科实现营业收入1613.9亿元,同比下滑16.61%;归属于上市公司股东的净亏损280.2亿元,同比下滑56.14%。
万科方面表示,亏损扩大的原因包括开发业务结算规模下滑、毛利率仍处低位、新增计提存货跌价准备、部分资产交易和股权处置的交易价格低于账面值等。
另一亏损规模超百亿的为*ST金科。前三季度,金科实现营业总收入56.99亿元,同比下滑73.57%;归母净利润亏损107.78亿元,同比下滑102.12%。
还有华夏幸福,其亏损规模也近百亿。前三季度,公司营业收入为38.82亿元,同比下降72.09%,归属于上市公司股东的净利润亏损98.29亿元,同比下滑338.67%。
25家房企实现营收和归母净利润双增
前三季度有25家房企实现了营收和归母净利润的双增长。

有37家房企实现归母净利润实现同比正增长。其中,天保基建、深深房A、深物业A、渝开发、*ST中地、世荣兆业、城投控股、南山控股、中华企业、广宇集团、万业企业、南都物业、新黄浦、凤凰股份、中洲控股、珠江股份、栖霞建设17家房企前三季度的归母净利润增长超过100%。
其中,天保基建前三季度归属于上市公司股东的净利润增幅最大,为7158.91%。天保基建表示,业绩增长主要得益于报告期内满足收入结转条件的项目增加,以及冲回的土地增值税增加和资产减值损失减少。
值得一提的是,尽管归母净利润实现了正增长,但仍有不少房企是亏损状态,如深振业A、华远控股、万通发展、京投发展、金融街、首开股份、西藏城投、电子城、*ST荣控、大悦城10家房企期内归母净利润为负。

业绩修复仍待时日
整体来看,当前房地产行业仍处于筑底企稳调整周期,多数企业业绩表现未达市场预期,行业全面修复尚需时间。
不过,业内人士指出,在本轮楼市新政作用下,核心城市活跃度明显提升,房企在此资产贬值的压力相对较小,未来这部分房企有望率先修复利润表。多家企业也表示,通过在核心城市拿利润较高的项目,逐步带动利润表的修复。
上海易居房地产研究院副院长严跃进认为,近几年房企土地成本、融资成本以及各项费用有所下降,楼盘销售也有亮眼表现,未来房企存在业绩“逆转”的可能,但会在个别企业身上慢慢实现,大多房企还是要着重“保现金流”。