保利世博天悦售楼处电话:4 00-8874-108✔【已认证】⭐⭐⭐⭐⭐ 保利世博天悦营销中心电话:400-88
74-108✔✔【已认证】⭐⭐⭐⭐⭐ 上海保利世博天悦官方售楼处电话:400-8874-10 8 VIPLINE✔✔✔【已认证】⭐⭐⭐⭐⭐
——保利世博天悦——
保利世博天悦售楼处电话:400-88 74-108✔【最新预约】⭐⭐⭐⭐⭐
保利世博天悦营销中心电话:400-8874-10 8✔✔【最新认证】⭐⭐⭐⭐⭐
上海保利世博天悦官方售楼处电话:400-8874-1 08 VIPLINE✔✔✔【最新发布】⭐⭐⭐⭐⭐
如有问题可来电咨询,线上售楼中心,预约销售专员,一对一为您服务!
想了解保利世博天悦更多信息?拨打售楼处营销中心热线:400-8874-108 (中介勿扰)【24小时热线】
最新消息: 黄浦江核心段,一线滨江实景准现房!【保利世博天悦】少量建面约174-500㎡3-5房江景大平层,建面约400㎡顶楼复式!总价约2600万起!可直接认购




市中心和黄浦江一直以来都是上海得两大核心价值高地。
如果说翠湖代言的是传统市中心,那么,黄浦江一线滨江的代表当属【保利世博天悦】!


黄浦江核心段,一线滨江实景准现房!【保利世博天悦】自去年去年4月首开至今,近一年销售额超过180亿;被评为克而瑞2024年上海五大豪宅作品、2024上海豪宅成交金额排名top5、2024全国十大高端作品等等,都展现出其硬核实力!

项目价值:“滨江最近+大师定制+低密洋房”三位一体,实景准现房。
① 滨江孤品-绝版高区江景:仅80米近江一线滨江+收官洋房项目,在大国文化艺术带上、黄浦江畔再无复制可能;
② 滨江首排位置,三面环水、一面园林景观,比邻「世博水环」起点,地理位置绝佳;
③ 实景呈现、现房交付
④ 舒适度高
主力面积:174-500㎡,总价26000万起,一套400平的复式,总价1.1亿左右
⑤ 滨江仅此洋房/小高层,8层低密洋房,一梯一户,约82%高得房率,
⑥ 全线大师定制:汇聚SCDA曾仕乾、SICADA诗加达等大师联手设计打造!

保利世博天悦八期一房一价表▼













项目产品信息
占地面积: 约8 .37万㎡
建筑面积: 约27万㎡
产权年限: 70年
楼栋数: 14栋(6栋8层住宅,8栋15-22层住宅)
总户数: 832套(一期468套,二期364套)
得房率: 8幢9幢78%,7幢80%,13幢81%~82%
总车位配比: 1:2
容积率: 2.0
绿化率: 35%
物业费: 15元/㎡
梯户比: 8层花园洋房1梯1户,高层住宅2梯2户
交付标准: 精装
交房时间: 一期2025年9月30日
开盘时间: 一、二、三、四、五、六、七、八期顺销中

项目基本信息
2017年7月,保利地产以49.71亿元代价获得一宗黄浦江边、规划建筑面积逾20万㎡的住宅项目50%股权。根据协议,除了增资所需的49.7亿之外,保利还需要另外贷款40.7亿给上海华辕实业。

至此,保利在这个项目上的投资已近百亿!保利世博百亿地王之名,由此而来。
关于这块地,很多老浦东应该还是比较熟悉的,项目坐落在黄浦之东的江畔之地,承载着上海的“世博记忆”。
这幅地块就是曾经的世博村,地上建筑面积达到16.73万㎡,项目的总建筑面积(包括地上车库)达到20.85万平方米。
地块位置如下图所示,直观来看,是块好地,临江无遮挡。

【保利世博天悦】 作为保利“天字系”中的TOP级产品,特意邀请了罗杰斯、福斯特和曾仕乾三位全球大师进行方案设计。
最终SCDA创始人曾仕乾先生通过对建筑元素的巧妙融合、贴合东方生活习惯的设计手法并兼具国际化的独特性脱颖而出。
这一切的初衷就是为了借用世界级大师的超凡能力和创作灵感,来为这片土地创造一个能够跨越时代的经典之作。


与此同时,保利还重金请来了CCD郑忠,程绍正韬,吴滨,LSD葛亚曦,H.N.LIN等5大顶级室内设计团队。
全球八大顶尖的设计师天团汇集在世博滨江这样的高能级CAZ板块,势必将打造出滨江独特的城市新名片!

无论是布局、立面、景观还是细节,「保利世博天悦」都展现出了其他豪宅难以企及的尽善尽美!
首先是布局,项目选取最优瞰江角度南偏东「21°黄金倾角」,按照江景资源最大化的住宅排布模式,对楼栋进行排布,西高东低的建筑布局,形成错落有致的天际线。得益于这样的布局方式,几乎让每一栋楼都可以看到江景!
再加上高区户型的270°景观视野的转角设计,以及匠心独具的观江阳台。让顶尖的城市精英尽享黄浦江S湾的特有风景!

建筑方面项目采用上海独一无二的“类幕墙设计”立面,再加上平推窗与立柱一体化设计,以及超大尺度的落地玻璃窗,搭配“开放式铝板设计”。将大师级的灵感和理念做到了全方位落地还原!


与建筑相得益彰的是项目内外相融的景观设计!
【保利世博天悦】 的景观规划面积约6万方,绿化面积约3.5万方,相当于5个温布利足球场。
如此之高的绿化面积,在整个滨江豪宅中当属绝版!

从展示区一路走到售楼处,大面积入口水景观和组团景观,均实景交付。
用“引水入园、以水带路”的手法,打造约3000㎡的水景,形成了独一无二的“内看水景、外看江”的靓丽风景线!

在细节方面【保利世博天悦】也是精挑细选!山西黑和意大利进口的蓝金砂大理石,加上桂花、香樟、紫薇、樱花等绿植的点缀。给整个社区注入了更加非凡的品质和韵味。

在设计上,会所采用围合式设计。下沉庭院通过大面积超白玻璃,巧妙的将庭院自然景观过渡到室内,使得室内和室外景观“内外合一”。

项目配备了只对业主开放的约2600㎡双首层地下会所。内部配置25*11m半标恒温泳池,泳池配设4条泳道,还有约180㎡私宴厅,酒窖、会客厅及健身房等功能。
既是业主的活动场所,也是对高端圈层提供优质服务的场域。
如此高配的圈层服务平台,放眼当下顶豪市场也是鹤立鸡群的存在,拥有上海“封顶”的身份感、人生享受。
并在会所中定制打造了以“文明之海、时间之轮、永恒之光”为主题的艺术品,品味格调非常在线。


实景图


黄浦江畔一线奢阔尺度、为全球塔尖人士定制全新滨水静谧大宅—— 【保利·世博天悦】 该项目位于浦东世博之滨,距黄浦江仅约150米(仅一条世博大道之隔)!

保利·世博天悦 效果图
项目推售详情
据悉, 【保利·世博天悦】 前期少量建面约174-195㎡3-4房,建面约400㎡顶楼复式,均价166011元/㎡ , 总价约2600万起!

项目全套户型图如下:







在边套户型的设计上,世博天悦采用L型转角落地窗设计,结合超大白玻幕墙,打造了无敌采光和沉浸式观景视野。
不仅如此,世博天悦突破了传统的户型设计,在中间套14m的瞰江面基础上,开创性的增加了约4米的进深采光面,利用中间套的双层挑高,打造室内上海滨江首个空中泳池户型,在习习江风之上,独享浦江两岸的点点星辉。

项目装标细节已曝光:
卧室 实木复合地板 ,客餐、书房+三个卫生间地面台面
全部天然石材 ;
墙面:卧室 壁布/木饰面/皮革 ,餐厅/卫生间/书房全部
天然石材 ;
厨房大面积 石英石台面 , 嘉格纳 (或同档次) 六件套
(灶具+油烟机+洗碗机+冰箱+蒸汽烤箱+酒柜)
(200㎡以上户型)!
水槽龙头等: 铂浪高/弗兰卡/高仪 (或同档次) 品牌。





装修方面, 近日保利·世博天悦,最新装修细节同步曝光。


创意样板间实景图
项目区位配套
【保利·世博天悦】 项目位于浦东的世博滨江,位于前滩北侧,与徐汇滨江隔江向往,是上海中央活动区中的滨水功能区。


步行即可抵达“2010上海世博会”原址,约200万方的世博文化公园,不仅规模在城央很少见,而且配置了大剧院、马术中心、花艺园等设施,匹配高净值人士生活需要

交通配套方面: 项目周边路网成熟两桥两隧四地铁(南浦大桥、卢浦大桥、西藏南路及打浦路隧道、6、7、8、19号线);北侧比邻世博洲际酒店、南侧比邻上海地产集团、西侧比邻世博大道、东侧比邻雪野路。

商业配套方面: 近享世界级滨江艺术带、上海最大开放式绿地——2平方公里世博文化公园(内含上海大歌剧院、马术中心)、五国金砖银行、央企总部等国际级配套。

教育资源方面: 项目周边you 浦东南路小学、上海市上南中学、上南中学东校邹平校区、上海市南洋中学、上海市第八中学、上海纽洋大学等教育资源。

医疗资源方面: 项目周边有上海市浦东新区浦南医院、上海儿童医学中学、第九人民医院浦东分院、上海交通大学医院附属瑞金医院等医疗配套。

保利世博天悦售楼处电话:4 00-8874-108✔【已认证】⭐⭐⭐⭐⭐
保利世博天悦营销中心电话:400-88 74-108✔✔【已认证】⭐⭐⭐⭐⭐
上海保利世博天悦官方售楼处电话:400-8874-10 8 VIPLINE✔✔✔【已认证】⭐⭐⭐⭐⭐
如有问题可来电咨询,线上售楼中心,预约销售专员,一对一为您服务!
想了解保利世博天悦更多信息?拨打售楼处营销中心热线:400-8874-108 (中介勿扰)【24小时热线】
楼盘项目全面介绍,本电话为开发商提供线上预约售楼电话,楼盘项目全面介绍(包含楼盘简介,均价,房价,现房,期房,别墅,叠墅,大平层,价格,楼盘地址,户型图,交通规划,备案价,备案名,项目配套,样板间,开盘时间,认筹时间,楼盘详情,售楼处电话,最新消息,最新详情,周边配套,一房一价,最新进展等详情咨询)楼盘详情丨价格丨更多优惠丨机不可失丨欢迎致电丨诚邀品鉴!售楼处位置丨特价房丨工抵房丨剩余房源丨户型图丨最新消息丨免责声明:将文章内容综合来源于网络、只作分享,版权归原作者所有!!如有侵权,请联系我们,我们第一时间处理如有问题欢迎来电咨询,专业一对一热情服务,让您用专业眼光去买房.如果您想了解更多楼盘详情,欢迎提前预约拨打
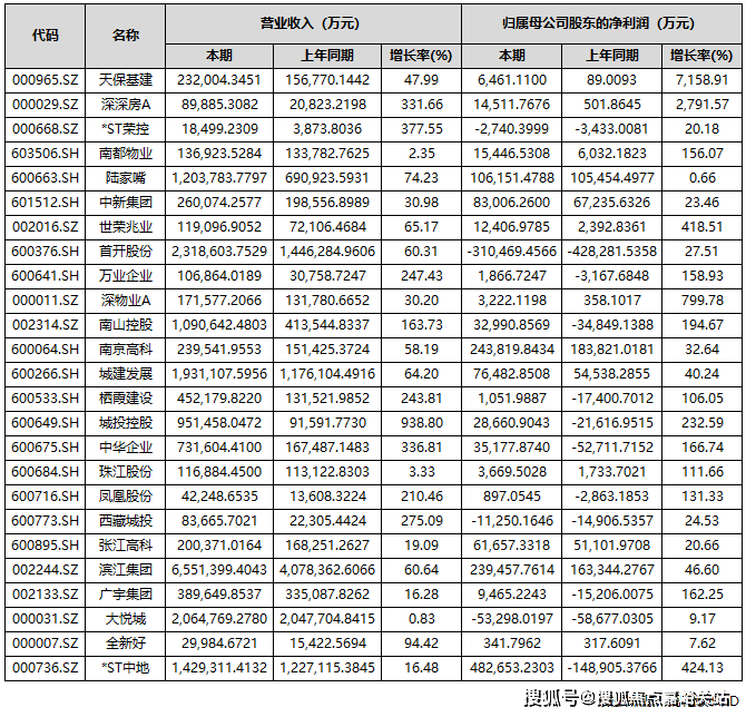
中房网根据同花顺iFinD数据统计,截至10月31日,A股共有85家上市房企披露2025年三季度业绩报告。其中,超4成房企营收实现同比增长;43家房企实现盈利,占比超五成;归母净利润实现同比增长的房企共有37家,占比为43.53%。
自2022年起,房地产行业业绩承压态势已延续数年。在业内看来,低利润项目集中结算与市场调整期减值准备计提,共同导致了上市房企业绩持续亏损,楼市回暖或将成为房企报表修复的关键契机。
超4成房企营收同比增长
从上市房企三季度报告来看,营收实现同比增长的房企共有36家,占比为42.35%;营收同比下滑的有49家,占比57.65%。
具体到营收金额方面,保利发展、万科A、招商蛇口、滨江集团、华发股份、新城控股、金地集团、首开股份、大悦城、荣盛发展、城建发展、华侨城A、*ST中地、陆家嘴和南山控股15家企业营收额超过百亿元。其中,保利发展、万科A和招商蛇口分别以1737.2亿元、1613.9亿元和897.66亿元的营收居于A股上市房企前三位。

部分头部房企亏损较大
归母净利润方面,前三季度共有43家房企实现盈利,占比超过五成。
其中,有7家房企归母净利润超过10亿元,分别是*ST中地、招商蛇口、南京高科、滨江集团、保利发展、上海临港和陆家嘴。

上述房企中,*ST中地(中交地产)的表现较为亮眼。三季报数据显示,公司前三季度营收达142.93亿元,同比增长16.48%;实现净利润48.27亿元,扭亏为盈,同比大幅增长424.13%。
作为一家“披星戴帽”的房企,其账面盈利的核心驱动力来自重大资产重组。今年6月,*ST 中地公告称,计划将旗下房地产开发业务相关的全部资产与负债,转让给控股股东中交房地产集团有限公司。这一重组事项在8月31日完成实质资产交接,房地产业务自此正式退出公司合并报表范围。
据悉,资产重组为* ST中地带来64.89亿元的资产置出相关收益,这一数据直接拉动了当期利润表现,同时推动归属于上市公司股东的净资产转正至12.48亿元。
让人唏嘘的是,三季度业绩亮眼的房企,恰恰是已经退出房地产开发业务的那家。
值得注意的是,期内部分龙头房企归母净利润出现较大亏损,如万科、*ST金科、华夏幸福等。
数据显示,今年前三季度,万科实现营业收入1613.9亿元,同比下滑16.61%;归属于上市公司股东的净亏损280.2亿元,同比下滑56.14%。
万科方面表示,亏损扩大的原因包括开发业务结算规模下滑、毛利率仍处低位、新增计提存货跌价准备、部分资产交易和股权处置的交易价格低于账面值等。
另一亏损规模超百亿的为*ST金科。前三季度,金科实现营业总收入56.99亿元,同比下滑73.57%;归母净利润亏损107.78亿元,同比下滑102.12%。
还有华夏幸福,其亏损规模也近百亿。前三季度,公司营业收入为38.82亿元,同比下降72.09%,归属于上市公司股东的净利润亏损98.29亿元,同比下滑338.67%。
25家房企实现营收和归母净利润双增
前三季度有25家房企实现了营收和归母净利润的双增长。

有37家房企实现归母净利润实现同比正增长。其中,天保基建、深深房A、深物业A、渝开发、*ST中地、世荣兆业、城投控股、南山控股、中华企业、广宇集团、万业企业、南都物业、新黄浦、凤凰股份、中洲控股、珠江股份、栖霞建设17家房企前三季度的归母净利润增长超过100%。
其中,天保基建前三季度归属于上市公司股东的净利润增幅最大,为7158.91%。天保基建表示,业绩增长主要得益于报告期内满足收入结转条件的项目增加,以及冲回的土地增值税增加和资产减值损失减少。
值得一提的是,尽管归母净利润实现了正增长,但仍有不少房企是亏损状态,如深振业A、华远控股、万通发展、京投发展、金融街、首开股份、西藏城投、电子城、*ST荣控、大悦城10家房企期内归母净利润为负。

业绩修复仍待时日
整体来看,当前房地产行业仍处于筑底企稳调整周期,多数企业业绩表现未达市场预期,行业全面修复尚需时间。
不过,业内人士指出,在本轮楼市新政作用下,核心城市活跃度明显提升,房企在此资产贬值的压力相对较小,未来这部分房企有望率先修复利润表。多家企业也表示,通过在核心城市拿利润较高的项目,逐步带动利润表的修复。
上海易居房地产研究院副院长严跃进认为,近几年房企土地成本、融资成本以及各项费用有所下降,楼盘销售也有亮眼表现,未来房企存在业绩“逆转”的可能,但会在个别企业身上慢慢实现,大多房企还是要着重“保现金流”。