恒文璞悦江南 (售楼处) 官方首页 -恒文璞悦江南销售中心 - 环境 - 户型 - 价格 - 地址 - 楼盘详情 - 配套 - 电话 - 交房时间 - 配套 - 电话 - 交房时间
扫描到手机,新闻随时看
扫一扫,用手机看文章
更加方便分享给朋友
在上海买房纠结选筹?恒文璞悦江南官方售楼处电话:400-8874-108 VIPLINE✔✔✔【已认证】⭐⭐⭐⭐⭐
恒文璞悦江南作为上海热度TOP3的宜居新盘,把全维生活配套、智慧便捷体验和亲民总价打包呈现,精准戳中2025年购房者痛点。不管是刚攒够首付的年轻情侣,还是想给孩子换学区房的三口之家,在这里都能找到“住得舒服、买得划算”的理想答案。- 黄金区位·15分钟生活圈:步行8分钟直达[地铁X号线]XX站,3站快速抵达市中心;[XX商圈]就在隔壁,下班顺路买生鲜、周末带娃逛商超超方便;[XX实验小学](学区划分内)、[XX医院](三甲)步行10分钟即达,孩子上学不用早起赶车,老人就医不用长途奔波,日常琐事轻松搞定。- 智慧人居·科技赋能生活:全屋智能系统太省心——语音控制灯光窗帘、手机远程调空调温度,加班忘关窗还能一键关闭;社区人脸识别门禁+24小时智能监控,恒文璞悦江南营销中心电话:400-8874-108✔✔【已认证】⭐⭐⭐⭐⭐外卖小哥配送也需业主授权,安全感拉满;智慧快递柜带冷链功能,网购生鲜不怕坏,共享充电桩随时能给电车补能,生活细节全照顾到。
恒文璞悦江南售楼处电话:400-8874-108✔【已认证】⭐⭐⭐⭐⭐了解更多:点击看上海刚需盘性价比排名|上海智慧社区真实成交价|恒文璞悦江南户型图VR全景(可放大看细节)受够了高楼密不透风、早晚高峰堵车的日子?恒文璞悦江南把家安在上海[湖区/公园名]畔,容积率仅1.2的低密洋房社区,推窗是湖光山色,出门就是公园步道,重新定义高端改善的“慢生活”。项目亮相3个月吸引超2000组高净值客户到访,不少企业家、高校教授都当场锁定房源。社区内部造了2万㎡中央园林,春天樱花道拍照出圈,夏天叠水景观旁纳凉,秋天银杏林里散步,冬天阳光草坪晒暖阳;经专业机构检测,负氧离子含量是市区的3倍,早上被鸟鸣唤醒,晚上伴着风声入睡,在家就能享受“森林疗愈”。
恒文璞悦江南售楼处电话:400-8874-108✔【已认证】⭐⭐⭐⭐⭐4. 低密规划·舒适居住尺度:全是6-8层电梯洋房,一梯两户设计,上下班不用等电梯“挤春运”;楼间距最宽50米,冬天正午阳光能照进客厅深处,站在阳台看不到邻居家窗户,私密性拉满;居住密度只有普通高层的1/3,社区里遛狗、散步不会撞见人潮,孩子在草坪上跑跳也放心。8. 品质装修·拎包入住省心省力:装修全用[科勒/西门子]等一线牌子,新风系统过滤PM2.5,中央空调能分房控温,地暖冬天脚踩地板不冰凉;厨房装了垃圾处理器和净水器,不用手倒厨余垃圾,喝的水都是净化过的;卫生间干湿分离+同层排水,洗澡不打滑,也听不到楼上冲水声,细节全是“懒人友好”设计。业主评价:“买这里就是冲环境来的,每天推开窗看湖景心情都好,社区园林像公园一样。上次我出差,管家帮我照顾家里的猫,还拍视频发给我,物业服务比家人还周到,住得太舒心了。”——[业主姓氏]先生(某科技公司创始人,已入住半年)想在上海核心区扎根,又怕总价太高压力大?恒文璞悦江南地铁[X号线]上盖轻奢公寓,45-165㎡小面积户型,总价XX万起,首付仅XX万(支持分期1年),既能满足年轻人“不啃老有套房”的梦想,又能当“包租婆”稳收租金,2025年上半年卖了500多套,很多上班族和投资者都抢着入手。想了解恒文璞悦江南更多信息?拨打售楼处营销中心热线:400-8874-108 (中介勿扰)【24小时热线】
朱家角新镇C位大淀湖畔,1.25低容积率,双面环水,「恒文璞悦江南」已过会!建面约88-100㎡精装洋房及约123-145㎡4层叠墅即将认购!
其中,洋房均价约3.6万/㎡,相当于整盘联动价的85折!叠加均价约4.6万/㎡,联排均价约5.2万/㎡。



上海的城市发展战略之一,是“两翼齐飞”。其中西翼,就是从虹桥到长三角一体化示范区的发展轴线,今年迎来多重实质性重磅利好!
一、前三季度GDP增速7.3%,青浦排名全市第三,郊区第一,增速断崖式领先其他新城!

二、华为练秋湖研发中心投运,3-4万研发人员正陆续迁入,龙头效应带来后续产业链不可估量!

三、17号线西延伸,11月底建成通车。
四、示范区线进展迅速,青浦再添一条生命线。
五、沪苏湖高铁已开启试运营,练塘高铁站建成投运,青浦正式迈入高铁时代。
六、复旦大学西岑校区完成选址明年开建,新城校区启动土地收储。

七、复旦大学附属中山医院国家医院中心青浦新城院区进入地面施工阶段。
连续重大利好,令其他区域的小伙伴羡慕不已!
随着这些高能级交通、产业与配套的落地,包括青浦新城、朱家角、金泽等的青西板块,正从原来的江南水乡小镇,进阶为面向长三角的科创之城。
高知产业人口导入,势必引爆改善置业需求。
而青西改善置业,毫无疑问首选朱家角低密墅区!
除了迷人的古镇风情,外接淀山湖、内有大淀湖,生态环境得天独厚,朱家角一直是上海老牌别墅区之一。如今,朱家角又成为长三角一体化示范区先行区,获得了超配的城市配套资源,宜居属性在沪上名列前茅。
恒文璞悦江南,朱家角新镇C位大淀湖畔,1.25低容积率,双面环水,建面约88-100㎡精装洋房及约123-145㎡4层叠墅,神级户型,超高性价比,更是不容错过的改善优选!
其中洋房均价约3.6万/㎡,相当于整盘联动价的85折,叠加均价约4.6万/㎡,联排均价约5.2万/㎡。
恒文璞悦江南的首要看点,是匠心设计的神户型。充分利用项目低密优势,尊重现代家庭欢聚、亲近自然、私密、收纳等人居习惯,将空间利用到了极致。
1、建面约123-145 m²叠墅
先说下项目叠墅户型共性的几个优势:
首先,四层上下叠真叠墅,更加私密尊享,市场上5-6层叠加根本无法与之相提并论。
其次,项目标准层高3.2米,空间通透感更强,而常规项目层高只有2.9米。
最后,建筑上大量使用无承重墙柱+少梁化设计,业主可以根据自己需求偏好,甚至奇思妙想打造个性化的空间格局。
下叠:建面约145m²4房2厅3卫
下叠有两种户型,各有特色。
先看B1-1璞境户型。

一楼,是家庭活动空间。
大横厅设计,南向面宽达到约7米,IMAX巨幕级采光面。U型厨房,餐厅与客厅一体化设计,客厅还带飘窗,家庭活动空间达到了40 m²,非常阔绰。

阳台与庭前绿地连成一体,庭前绿地有分段实体院墙围合,保障了每户独立性和私密性,让业主可以在此充分享受品茗闲聊的生活小确幸。
一楼卧室可作为客卧或者老人房,尺度到达3.1*2.7米,大飘窗设计,进一步延伸空间。
卧室和活动空间之间,均采用无承重墙设计,业主可以根据需求自行调整空间布局。
二楼休息区,与一楼活动空间形成动静分层。

全功能主卧套房设计,专享宽阔阳台,总面积达到约21.7 m²,尽享尊荣。
南向次卧面积达到约13 m²,带飘窗,尺度感非常惊艳。北向卧室同样是3.1*2.7米尺度带飘窗,卧室书房两相宜。
二楼套内整体无竖向承重墙柱设计,空间分隔随心所欲,让装修真正实现无限可能。
最后看地下室附赠空间。
地下室层高约5.2米,并设置采光窗,极大提升了地下空间的采光通风和实用性。
足够高度可以有用一个实用的夹层,可以根据业主个性需求,设置书房、影音厅、健身房、酒窖等更多生活情趣空间。
B2-1璞誉户型
面积上与B1-1户型相同,建面约145㎡,功能区也大致相似。

和B1-1户型几点差异化的特色是:
第一、不需要经过门厅及电梯厅的独立入户方式,做到独门独院的感觉,尊享感和仪式感拉满。

第二、一层活动空间,是竖厅设计,LDK整体进深接近9米。南侧灵动空间可设置老人房。
第三,二层主卧室空间更加豪华,步入式衣帽间,进深3米4的主卫,可配置双台盆及舒适浴缸,整个空间达到惊人的近28㎡。

另外,北卧室进深达到3.4米,也突破了传统叠加户型对于北卧室的定义。
上叠:建面约123、135m²4房2厅3卫
上叠空间功能布局与下叠相似,局部尺度有所差异。
除了同样合理的布局与动线,高效的空间利用,上叠还有几个独到优势:
第一、电梯双开门设计,3楼的电梯厅实际上为上叠户型专享,进一步增加使用面积及入户尊享感;
第二、四层星空大露台,凭栏远眺,美景一览无余,亦可举办露台烧烤、私人派对等,拾取生活中的热爱与乐趣。
第三、屋顶是坡面设计,阁楼最高约2.5米,为上叠提供额外附赠空间。
不仅有非常合理的功能布局,而且有超级的附加值空间,这样的叠墅户型可以说是难得一见!
2、建面约88-100 m²洋房
洋房产品是精装交付,交付标准也相当高。
大件上,使用东芝中央空调、威能地暖;厨卫上,使用高仪龙头和洁具,欧派橱柜,老板厨电和洗碗机,马可波罗瓷砖,莫干山地板等等(或同等品牌,以交付为准)。
户型为建面约88-100㎡,全部都是3房2厅2卫设计,户型在尺寸和布局上略有差异,同样优秀。洋房完整户型图如下:
我们以主力的C4悦奢户型来详解解读。

隐私性入户玄关设计,确保户内活动空间的私密性;约1.9米超长玄关柜设计,充足储物空间。
这是一个经典的飞机户型,客厅及两卧三开间朝南。厨房餐厅客厅阳台KDLB一体化活动空间设计,客厅面宽约3.6米,整体进深约10.8米,一体化空间面积约38 ㎡,超大尺度感在同级别产品中一骑绝尘!
另外,客厅次卧隔墙无承重可拆除,魔术可变空间,赋予空间更多无限可能。
约3.2米面宽厨房,超实用U型台面布局,烹饪也是一种享受;餐厅与厨房同款,轻松放置6人桌,尺度之大在同级项目难得一见!厨房采用极窄边框两固两移全玻璃移门,做到极致南北通透!
大尺度宽景阳台,宽度达到外框4米2,面积超7平米;转角观景落地窗设计,打造舒适休憩体验。
主卧套房设计,带卫生间+飘窗,舒适度与私密性兼具!卧室入口还贴心预留侧边收纳空间,茶水台或衣柜两相宜。
北次卧净2.7*2.3米的尺度,不管是用作儿童房或书房,都十分舒适。
客卫三段式干湿分离设计卫生间,让忙碌的早高峰不用争抢。
全卧室飘窗设计,进一步拓展使用空间,增添多样生活情趣场景。
再比如C6悦尊户型,建面约96㎡3房2厅2卫,比C4悦奢户型少3㎡,总价也适当降低。C4户型该有的优点,也全都有,比如:
入户玄关及超大玄关柜设计,三开间朝南飞机户型,KDLB一体化设计,客厅次卧魔术可变空间,U型厨房,大尺度宽景阳台+转角观景落地窗,舒适北卧,三段式干湿分离客卫,全卧室飘窗,等等

除此之外,C6悦尊户型还有一些独到的细节亮点:
私密性无干扰公区设计,杜绝市面上大部分户型常见的两户门面对面的尴尬;
隐藏式管井设计,面宽2800全尺寸主卫,预留了“浴缸+淋浴+马桶+台盆”的四件套排布可能,在96㎡户型中极其罕见;
全面宽超方正餐客厅设计,还细心嵌入式餐边柜(预留)设计,打造全功能居家体验。
总结来说,项目对于户型设计绝对是精益求精力求完美,充分体现了开发商的匠心精神与高深造诣。这些细节,能够充分保障业主后续的居住品质,也更更好地能达到资产保值的效果。
再看来项目的社区环境。
首先,恒文璞悦江南约1.25的容积率,就注定了其低密墅境与品质改善的基因。

容积率越低,意味着人均占有的土地资源更多,也就带来更大的楼间距,更多的绿地景观空间,更好的视野及采光,居住品质自然更高。
目前上海住宅容积率基本在2.0-2.5区间,低容积率宅地出让可谓凤毛麟角。上海2023-2024两年里合计推出121副宅地,仅有8副容积率1.2及以下地块,占比不到7%。
容积率约1.25,恒文璞悦江南先天自带臻稀属性。
而且,项目还有一个非常优越的自然条件:双面环河,营造闹中取静、亲近自然的生活方式!尤其是叠墅产品,整体沿河分布,纵享一线滨水景观,臻稀程度爆表!
从土地天赋开始,项目就区隔了同纬度其它新盘。
而在这样优质禀赋的土地上,项目打造了8F洋房+4F叠墅的亲地建筑,真正的墅质社区,住户更少,从土地、绿化、社区配套到物业,人均资源占有更多,隐私性也更好。

同时,利用双面环水的特点,项目设计“一巷两湾·五庭九弄”的景观布局。
以“和风巷,月牙湾,杏花疏影溪云染;五庭汀桥烟雨,九弄道尽蝶澜,傍花随柳梦夕岸”,的意境,展开对社区景观的塑造。
项目打造新中式立面风格,别墅1-3层、洋房1-2层采用来自巴西的维多利亚白天然石材干挂,营造高级、大气的建筑气质。
“璞”字象征着蕴藏有玉的石头,比喻品质纯真、未加修饰之天然美质,正好可以形容朱家角大淀湖畔双面环水低密用地的自然禀赋;
“悦”字则代表愉快和高兴,意味着业主在此墅区都能享受到人生的美好,身心愉悦。
恒文璞悦江南,必将为业主带来醉江南、高品质的愉悦人居体验!

最后,我们再来看项目所处的地段及配套。
在这一点上,恒文璞悦江南的优势同样出众。
首先,朱家角可以说是上海最适合别墅生活的板块。
在“上海2035规划”中,除去崇明岛沿海的特殊性,朱家角是少有的一个生态主导型的城镇圈。
走在路上,宽阔整齐的大道、浓绿挺拔的行道树,河水清幽,芳草萋萋。江南人骨子里对“小桥流水”生活的憧憬,可以在这里找到,古色古香的小镇也成为旅游胜地。

恒文璞悦江南位于大淀湖畔。项目地块为别墅社区围合,圈层质量更有保证。住在这里,尊贵感油然而生,邻里好友,事业伙伴正所谓“志同道合”。
第二点,今天的朱家角,已经凭借长三角一体化示范区先行区的占位,蝶变为一座科创之城,城市配套资源十分充盈,甚至是超配。
上海这一轮城市发展,青浦绝对是时代的宠儿。一头是大虹桥,一头是长三角一体化示范区,两大国家级战略规划,17号线和示范区线(在建)实现交通串联。
朱家角是长三角一体化示范区的先行区,因此得以获得超配的城市资源。
比如医疗资源。这里已经有复旦大学附属妇产科医院青浦分院(红房子医院),长三角(上海)智慧互联网医院,还规划有上海儿童医院长三角示范区医学中心(已完成选址,未来总院会迁至朱家角),青浦新城还有复旦大学附属中山医院国家医学中心青浦新城院区在建。
为什么要配置如此众多高能级医院?
因为这些医院不仅是服务朱家角或者青浦,而是要服务整个长三角。但朱家角占据了地利,更能“近水楼台先得月”享受这些资源。
商业方面:淀山湖大道站商业已经崛起,约45万方万达茂+东渡蛙城+吾悦广场+满天星399广场等,组成西上海百万方商圈。对于项目而言,只是一脚油门的事。

教育方面:板块引进了兰生复旦分校(从幼儿园到高中的K12)、平和双语学校(从幼儿园到初中)、复旦附中青浦分校等名校,打造复旦系K12教育高地。
交通方面:地铁17号线东方绿舟站一站就到西岑华为练秋湖研发中心,向东可直达虹桥枢纽。
另有沪青平公路、沪渝高速,崧泽高架等发达路网,快捷出行。

特别值得强调的是,华为练秋湖研发中心已经建成投运,华为人才公寓很大部分就在朱家角。首批迁入约3千人才,已经带动周边房租大涨。而接下来约3-4万华为研发人员陆续迁入,将对朱家角城市活力及住宅市场产生巨大影响!
可以预期的是,随着产业人口导入,有着海量华为员工、医生等高收入群体,朱家角改善需求势必旺盛,那恒文璞悦江南这样的低密墅居产品将会更加抢手!
恒文璞悦江南售楼处电话:4 00-8874-108✔【已认证】⭐⭐⭐⭐⭐
恒文璞悦江南营销中心电话:400-88 74-108✔✔【已认证】⭐⭐⭐⭐⭐
上海恒文璞悦江南官方售楼处电话:400-8874-10 8 VIPLINE✔✔✔【已认证】⭐⭐⭐⭐⭐
如有问题可来电咨询,线上售楼中心,预约销售专员,一对一为您服务!
想了解恒文璞悦江南更多信息?拨打售楼处营销中心热线:400-8874-108 (中介勿扰)【24小时热线】
楼盘项目全面介绍,本电话为开发商提供线上预约售楼电话,楼盘项目全面介绍(包含楼盘简介,均价,房价,现房,期房,别墅,叠墅,大平层,价格,楼盘地址,户型图,交通规划,备案价,备案名,项目配套,样板间,开盘时间,认筹时间,楼盘详情,售楼处电话,最新消息,最新详情,周边配套,一房一价,最新进展等详情咨询)楼盘详情丨价格丨更多优惠丨机不可失丨欢迎致电丨诚邀品鉴!售楼处位置丨特价房丨工抵房丨剩余房源丨户型图丨最新消息丨免责声明:将文章内容综合来源于网络、只作分享,版权归原作者所有!!如有侵权,请联系我们,我们第一时间处理如有问题欢迎来电咨询,专业一对一热情服务,让您用专业眼光去买房.如果您想了解更多楼盘详情,欢迎提前预约拨打
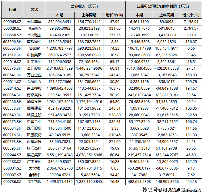
中房网根据同花顺iFinD数据统计,截至10月31日,A股共有85家上市房企披露2025年三季度业绩报告。其中,超4成房企营收实现同比增长;43家房企实现盈利,占比超五成;归母净利润实现同比增长的房企共有37家,占比为43.53%。
自2022年起,房地产行业业绩承压态势已延续数年。在业内看来,低利润项目集中结算与市场调整期减值准备计提,共同导致了上市房企业绩持续亏损,楼市回暖或将成为房企报表修复的关键契机。
超4成房企营收同比增长
从上市房企三季度报告来看,营收实现同比增长的房企共有36家,占比为42.35%;营收同比下滑的有49家,占比57.65%。
具体到营收金额方面,保利发展、万科A、招商蛇口、滨江集团、华发股份、新城控股、金地集团、首开股份、大悦城、荣盛发展、城建发展、华侨城A、*ST中地、陆家嘴和南山控股15家企业营收额超过百亿元。其中,保利发展、万科A和招商蛇口分别以1737.2亿元、1613.9亿元和897.66亿元的营收居于A股上市房企前三位。

部分头部房企亏损较大
归母净利润方面,前三季度共有43家房企实现盈利,占比超过五成。
其中,有7家房企归母净利润超过10亿元,分别是*ST中地、招商蛇口、南京高科、滨江集团、保利发展、上海临港和陆家嘴。

上述房企中,*ST中地(中交地产)的表现较为亮眼。三季报数据显示,公司前三季度营收达142.93亿元,同比增长16.48%;实现净利润48.27亿元,扭亏为盈,同比大幅增长424.13%。
作为一家“披星戴帽”的房企,其账面盈利的核心驱动力来自重大资产重组。今年6月,*ST 中地公告称,计划将旗下房地产开发业务相关的全部资产与负债,转让给控股股东中交房地产集团有限公司。这一重组事项在8月31日完成实质资产交接,房地产业务自此正式退出公司合并报表范围。
据悉,资产重组为* ST中地带来64.89亿元的资产置出相关收益,这一数据直接拉动了当期利润表现,同时推动归属于上市公司股东的净资产转正至12.48亿元。
让人唏嘘的是,三季度业绩亮眼的房企,恰恰是已经退出房地产开发业务的那家。
值得注意的是,期内部分龙头房企归母净利润出现较大亏损,如万科、*ST金科、华夏幸福等。
数据显示,今年前三季度,万科实现营业收入1613.9亿元,同比下滑16.61%;归属于上市公司股东的净亏损280.2亿元,同比下滑56.14%。
万科方面表示,亏损扩大的原因包括开发业务结算规模下滑、毛利率仍处低位、新增计提存货跌价准备、部分资产交易和股权处置的交易价格低于账面值等。
另一亏损规模超百亿的为*ST金科。前三季度,金科实现营业总收入56.99亿元,同比下滑73.57%;归母净利润亏损107.78亿元,同比下滑102.12%。
还有华夏幸福,其亏损规模也近百亿。前三季度,公司营业收入为38.82亿元,同比下降72.09%,归属于上市公司股东的净利润亏损98.29亿元,同比下滑338.67%。
25家房企实现营收和归母净利润双增
前三季度有25家房企实现了营收和归母净利润的双增长。

有37家房企实现归母净利润实现同比正增长。其中,天保基建、深深房A、深物业A、渝开发、*ST中地、世荣兆业、城投控股、南山控股、中华企业、广宇集团、万业企业、南都物业、新黄浦、凤凰股份、中洲控股、珠江股份、栖霞建设17家房企前三季度的归母净利润增长超过100%。
其中,天保基建前三季度归属于上市公司股东的净利润增幅最大,为7158.91%。天保基建表示,业绩增长主要得益于报告期内满足收入结转条件的项目增加,以及冲回的土地增值税增加和资产减值损失减少。
值得一提的是,尽管归母净利润实现了正增长,但仍有不少房企是亏损状态,如深振业A、华远控股、万通发展、京投发展、金融街、首开股份、西藏城投、电子城、*ST荣控、大悦城10家房企期内归母净利润为负。

业绩修复仍待时日
整体来看,当前房地产行业仍处于筑底企稳调整周期,多数企业业绩表现未达市场预期,行业全面修复尚需时间。
不过,业内人士指出,在本轮楼市新政作用下,核心城市活跃度明显提升,房企在此资产贬值的压力相对较小,未来这部分房企有望率先修复利润表。多家企业也表示,通过在核心城市拿利润较高的项目,逐步带动利润表的修复。
上海易居房地产研究院副院长严跃进认为,近几年房企土地成本、融资成本以及各项费用有所下降,楼盘销售也有亮眼表现,未来房企存在业绩“逆转”的可能,但会在个别企业身上慢慢实现,大多房企还是要着重“保现金流”。
声明:本文由入驻焦点开放平台的作者撰写,除焦点官方账号外,观点仅代表作者本人,不代表焦点立场。
