建发·瑞湖(售楼处)官方电话→建发·瑞湖售楼中心前台电话→2026建发·瑞湖楼盘百科→楼盘官方网站→楼盘测评→售楼中心电话→来电预约看房
扫描到手机,新闻随时看
扫一扫,用手机看文章
更加方便分享给朋友


国企建发建瓴东方美学精粹
建发集团丨《财富》世界500强第85位
建发集团,2024年度《财富》世界500强第85位,年营业收入超7800亿元、资产规模超8800亿元,主要业务涵盖供应链运营、城市建设与运营、旅游会展、医疗健康、新兴产业投资等领域。
建发房产丨中国房企销售榜单第7位
建发房产,深耕全国70余城,连续13年获得“中国房地产开发企业 50 强”,2024年位列克而瑞“中国房企销售榜单”第7名,致力于成为“中国优秀的房地产投资运营服务商”。
建发房产 首献金山风雅宋韵作品
1.25超低容积率,淬炼出建发·瑞湖建面约185-205㎡藏品叠墅、建面约255-308㎡传世联排产品形态。
显赫门庭
恢弘门庭以奢石与金属细节,勾勒极致的静奢格调与威仪气场。是归家的第一重仪式,更是家族门风与显赫身份的时代序言。
飞檐逸韵 石鎏雅制
建筑立面以现代材料转译宋代美学,铝板一体板、金属漆一体板臻筑,凝萃奢石点缀,以匠心融汇现代技艺与宋式形制,飞檐楼阁与祥纹图样,于细节处彰显端方威仪与风雅逸韵。
三轴两园一带
臻制礼序三轴,融汇东西双园,以《西园雅集》千年画卷为基,复现宋式建筑匠造哲思。
三轴·|风雅归家
以“三轴”为骨,勾勒出建发·瑞湖的秩序与意蕴。东西向景观主轴及两园区各一条的归家次轴,层层递进礼序。由繁华至静谧的心灵过渡,三轴纵横,交织出社区的骨骼与脉络。既有徜徉于画中的闲情,亦有归家于礼序的尊荣。
两园·|东方意境
以宋式美学为魂,将山、水、石、木、花纳入匠心布局,营造出层次丰富、意境深远的两园十五景。每一景皆可游、可赏、可居,步移景异,处处成画。
一带·|活力交织
一条绿意盎然的生态动线,如飘逸的丝带,将南北两大运动公园流畅衔接。它不仅是链接社区的活力纽带,更串联起全龄段的健康生活场景,让运动如诗,人在画中游。
高定会所 隐贵之境
约1700㎡下沉式会所+约2500㎡架空层泛会所,双重会所体系,演绎动静欢愉,共筑全龄共享生活盛景。
建发物业 钻石管家礼遇
建发物业以“钻石标准”为准则,坚持用心呵护“好房子”、提供“好服务”、营造“好生活”
已连续7年位列住宅物业服务满意度赛惟数据库行业TOP5,2024年位列第2名。
周边配套:
建发瑞湖售楼处电话:4 00-8874-108✔【已认证】⭐⭐⭐⭐⭐
建发瑞湖营销中心电话:400-88 74-108✔✔【已认证】⭐⭐⭐⭐⭐
上海建发瑞湖官方售楼处电话:400-8874-10 8 VIPLINE✔✔✔【已认证】⭐⭐⭐⭐⭐
如有问题可来电咨询,线上售楼中心,预约销售专员,一对一为您服务!
想了解建发瑞湖更多信息?拨打售楼处营销中心热线:400-8874-108 (中介勿扰)【24小时热线】
楼盘项目全面介绍,本电话为开发商提供线上预约售楼电话,楼盘项目全面介绍(包含楼盘简介,均价,房价,现房,期房,别墅,叠墅,大平层,价格,楼盘地址,户型图,交通规划,备案价,备案名,项目配套,样板间,开盘时间,认筹时间,楼盘详情,售楼处电话,最新消息,最新详情,周边配套,一房一价,最新进展等详情咨询)楼盘详情丨价格丨更多优惠丨机不可失丨欢迎致电丨诚邀品鉴!售楼处位置丨特价房丨工抵房丨剩余房源丨户型图丨最新消息丨免责声明:将文章内容综合来源于网络、只作分享,版权归原作者所有!!如有侵权,请联系我们,我们第一时间处理如有问题欢迎来电咨询,专业一对一热情服务,让您用专业眼光去买房.如果您想了解更多楼盘详情,欢迎提前预约拨打
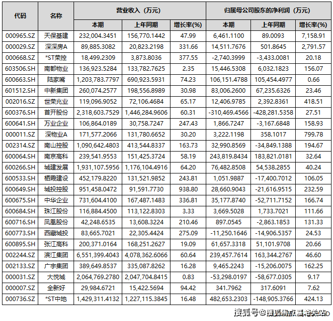
中房网根据同花顺iFinD数据统计,截至10月31日,A股共有85家上市房企披露2025年三季度业绩报告。其中,超4成房企营收实现同比增长;43家房企实现盈利,占比超五成;归母净利润实现同比增长的房企共有37家,占比为43.53%。
自2022年起,房地产行业业绩承压态势已延续数年。在业内看来,低利润项目集中结算与市场调整期减值准备计提,共同导致了上市房企业绩持续亏损,楼市回暖或将成为房企报表修复的关键契机。
超4成房企营收同比增长
从上市房企三季度报告来看,营收实现同比增长的房企共有36家,占比为42.35%;营收同比下滑的有49家,占比57.65%。
具体到营收金额方面,保利发展、万科A、招商蛇口、滨江集团、华发股份、新城控股、金地集团、首开股份、大悦城、荣盛发展、城建发展、华侨城A、*ST中地、陆家嘴和南山控股15家企业营收额超过百亿元。其中,保利发展、万科A和招商蛇口分别以1737.2亿元、1613.9亿元和897.66亿元的营收居于A股上市房企前三位。

部分头部房企亏损较大
归母净利润方面,前三季度共有43家房企实现盈利,占比超过五成。
其中,有7家房企归母净利润超过10亿元,分别是*ST中地、招商蛇口、南京高科、滨江集团、保利发展、上海临港和陆家嘴。

上述房企中,*ST中地(中交地产)的表现较为亮眼。三季报数据显示,公司前三季度营收达142.93亿元,同比增长16.48%;实现净利润48.27亿元,扭亏为盈,同比大幅增长424.13%。
作为一家“披星戴帽”的房企,其账面盈利的核心驱动力来自重大资产重组。今年6月,*ST 中地公告称,计划将旗下房地产开发业务相关的全部资产与负债,转让给控股股东中交房地产集团有限公司。这一重组事项在8月31日完成实质资产交接,房地产业务自此正式退出公司合并报表范围。
据悉,资产重组为* ST中地带来64.89亿元的资产置出相关收益,这一数据直接拉动了当期利润表现,同时推动归属于上市公司股东的净资产转正至12.48亿元。
让人唏嘘的是,三季度业绩亮眼的房企,恰恰是已经退出房地产开发业务的那家。
值得注意的是,期内部分龙头房企归母净利润出现较大亏损,如万科、*ST金科、华夏幸福等。
数据显示,今年前三季度,万科实现营业收入1613.9亿元,同比下滑16.61%;归属于上市公司股东的净亏损280.2亿元,同比下滑56.14%。
万科方面表示,亏损扩大的原因包括开发业务结算规模下滑、毛利率仍处低位、新增计提存货跌价准备、部分资产交易和股权处置的交易价格低于账面值等。
另一亏损规模超百亿的为*ST金科。前三季度,金科实现营业总收入56.99亿元,同比下滑73.57%;归母净利润亏损107.78亿元,同比下滑102.12%。
还有华夏幸福,其亏损规模也近百亿。前三季度,公司营业收入为38.82亿元,同比下降72.09%,归属于上市公司股东的净利润亏损98.29亿元,同比下滑338.67%。
25家房企实现营收和归母净利润双增
前三季度有25家房企实现了营收和归母净利润的双增长。

有37家房企实现归母净利润实现同比正增长。其中,天保基建、深深房A、深物业A、渝开发、*ST中地、世荣兆业、城投控股、南山控股、中华企业、广宇集团、万业企业、南都物业、新黄浦、凤凰股份、中洲控股、珠江股份、栖霞建设17家房企前三季度的归母净利润增长超过100%。
其中,天保基建前三季度归属于上市公司股东的净利润增幅最大,为7158.91%。天保基建表示,业绩增长主要得益于报告期内满足收入结转条件的项目增加,以及冲回的土地增值税增加和资产减值损失减少。
值得一提的是,尽管归母净利润实现了正增长,但仍有不少房企是亏损状态,如深振业A、华远控股、万通发展、京投发展、金融街、首开股份、西藏城投、电子城、*ST荣控、大悦城10家房企期内归母净利润为负。

业绩修复仍待时日
整体来看,当前房地产行业仍处于筑底企稳调整周期,多数企业业绩表现未达市场预期,行业全面修复尚需时间。
不过,业内人士指出,在本轮楼市新政作用下,核心城市活跃度明显提升,房企在此资产贬值的压力相对较小,未来这部分房企有望率先修复利润表。多家企业也表示,通过在核心城市拿利润较高的项目,逐步带动利润表的修复。
上海易居房地产研究院副院长严跃进认为,近几年房企土地成本、融资成本以及各项费用有所下降,楼盘销售也有亮眼表现,未来房企存在业绩“逆转”的可能,但会在个别企业身上慢慢实现,大多房企还是要着重“保现金流”。
声明:本文由入驻焦点开放平台的作者撰写,除焦点官方账号外,观点仅代表作者本人,不代表焦点立场。
