兴云间售楼处电话:4 00-8874-108✔【已认证】⭐⭐⭐⭐⭐ 兴云间营销中心电话:400-88 74-108✔✔【已认证】⭐⭐⭐⭐⭐
上海兴云间官方售楼处电话:400-8874-10 8 VIPLINE✔✔✔【已认证】⭐⭐⭐⭐⭐
——兴云间——
兴云间售楼处电话:400-88 74-108✔【最新预约】⭐⭐⭐⭐⭐
兴云间营销中心电话:400-8874-10 8✔✔【最新认证】⭐⭐⭐⭐⭐
上海兴云间官方售楼处电话:400-8874-1 08 VIPLINE✔✔✔【最新发布】⭐⭐⭐⭐⭐
如有问题可来电咨询,线上售楼中心,预约销售专员,一对一为您服务!
想了解兴云间更多信息?拨打售楼处营销中心热线:400-8874-108 (中介勿扰)【24小时热线】
松江·兴云间丨建面约196㎡联排别墅,总价1141-1296万,款清交房,现房交付!



松江洞泾“藏品级”新房墅区
「香港兴业·兴云间」
建面约196㎡城市联排
三水环屿·一府尽风华
现房呈现、进口全石材立面
总价1141-1296万

联排户型图如下:




香港兴业·兴云间城市联排,作为“高端改善”产品代表,不仅拥有优越的性价比,在舒适度上,同样是板块内不可多得的稀缺藏品。
三联/四联,臻联排
相较于其它联排产品六联拼、八联拼甚至十联拼,香港兴业·兴云间城市联排,大部分是独立的三联拼、四联拼户型,楼栋与楼栋之间一字排列,视野开阔,享有更舒朗的通风采光条件。

国际风尚视野,独特设计精奢立面
新亚洲国际建筑风尚,搭配独特的坡屋顶,灰色陶瓦结合金属挑檐设计,约35°倾斜稳定结构防积水,楼体形态和谐、黄金比例赋予建筑独一无二的美。
金钻麻石,全石材铺装
联排建筑立面上进口金钻麻石-全石材铺装搭配咖色的铝板装饰线条,不同凡响的精奢感和厚重的质感,卓尔不群,放眼整个松江,难觅雷同。

三段式退台,层次立体
经典的三段式退台设计,视觉重心稳固,建筑气质稳重堪称传世大宅的美学典范,每层采光及视线互不干扰,最大化保证观景、通风的良好体感。







建筑面积约196㎡阔尺大宅,一层一世界
空间感足够的联排才是称得上高端改善,约200平方米左右的联排空间才是恰如其分的进阶选择。香港兴业·兴云间的联排分为四层空间,负一层主打休闲娱乐功能,一楼社交会客,二楼儿童房,孩子们的私享天地,三楼整层主卧,一层一天地,休闲放松和私密独处各享其乐。

三楼约8米面宽,整层主卧
可做多功能空间改造,升级功能场景,让业主在享受大尺度空间的同时,更能根据自己的个性化需求打造更贴合自身品味的墅居生活。

约5.6米挑高,负一层拓展空间
约5.6米挑高的负一层拓展空间,可创新打造影音室、酒窖、茶室、健身房、儿童游乐区、电竞室等多元功能区,让生活拥有更多“享”法。



有天有地,南北多露台设计
南北多露台,享更多生活空间,每一方露台空间得当,逸趣纷呈。闲时可种花弄草,可家庭聚会,或者当做孩子的酷玩地带,打破空间的束缚,让生活与自然美景无界交互,欢聚与私密皆得宜。一方露台更是奢侈的安放在主卧,由男女主人独享,它是先生闲读、品茗的私属天地,也可以是太太的私人领地……露台之上,生活拥有无限想象。

识别二维码
进入“ 兴云间 ”预约看房


香港兴业兴云间 实景图

香港兴业兴云间 实景图

香港兴业兴云间 实景图

香港兴业兴云间 实景图

香港兴业兴云间 实景图

香港兴业兴云间 实景图

香港兴业兴云间 实景图


兴云间售楼处电话:4 00-8874-108✔【已认证】⭐⭐⭐⭐⭐
兴云间营销中心电话:400-88 74-108✔✔【已认证】⭐⭐⭐⭐⭐
上海兴云间官方售楼处电话:400-8874-10 8 VIPLINE✔✔✔【已认证】⭐⭐⭐⭐⭐
如有问题可来电咨询,线上售楼中心,预约销售专员,一对一为您服务!
想了解兴云间更多信息?拨打售楼处营销中心热线:400-8874-108 (中介勿扰)【24小时热线】
楼盘项目全面介绍,本电话为开发商提供线上预约售楼电话,楼盘项目全面介绍(包含楼盘简介,均价,房价,现房,期房,别墅,叠墅,大平层,价格,楼盘地址,户型图,交通规划,备案价,备案名,项目配套,样板间,开盘时间,认筹时间,楼盘详情,售楼处电话,最新消息,最新详情,周边配套,一房一价,最新进展等详情咨询)楼盘详情丨价格丨更多优惠丨机不可失丨欢迎致电丨诚邀品鉴!售楼处位置丨特价房丨工抵房丨剩余房源丨户型图丨最新消息丨免责声明:将文章内容综合来源于网络、只作分享,版权归原作者所有!!如有侵权,请联系我们,我们第一时间处理如有问题欢迎来电咨询,专业一对一热情服务,让您用专业眼光去买房.如果您想了解更多楼盘详情,欢迎提前预约拨打
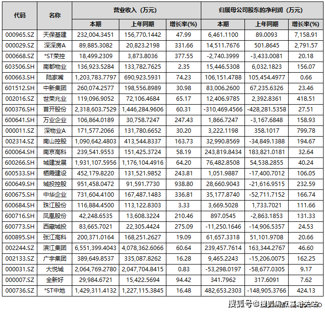
中房网根据同花顺iFinD数据统计,截至10月31日,A股共有85家上市房企披露2025年三季度业绩报告。其中,超4成房企营收实现同比增长;43家房企实现盈利,占比超五成;归母净利润实现同比增长的房企共有37家,占比为43.53%。
自2022年起,房地产行业业绩承压态势已延续数年。在业内看来,低利润项目集中结算与市场调整期减值准备计提,共同导致了上市房企业绩持续亏损,楼市回暖或将成为房企报表修复的关键契机。
超4成房企营收同比增长
从上市房企三季度报告来看,营收实现同比增长的房企共有36家,占比为42.35%;营收同比下滑的有49家,占比57.65%。
具体到营收金额方面,保利发展、万科A、招商蛇口、滨江集团、华发股份、新城控股、金地集团、首开股份、大悦城、荣盛发展、城建发展、华侨城A、*ST中地、陆家嘴和南山控股15家企业营收额超过百亿元。其中,保利发展、万科A和招商蛇口分别以1737.2亿元、1613.9亿元和897.66亿元的营收居于A股上市房企前三位。

部分头部房企亏损较大
归母净利润方面,前三季度共有43家房企实现盈利,占比超过五成。
其中,有7家房企归母净利润超过10亿元,分别是*ST中地、招商蛇口、南京高科、滨江集团、保利发展、上海临港和陆家嘴。

上述房企中,*ST中地(中交地产)的表现较为亮眼。三季报数据显示,公司前三季度营收达142.93亿元,同比增长16.48%;实现净利润48.27亿元,扭亏为盈,同比大幅增长424.13%。
作为一家“披星戴帽”的房企,其账面盈利的核心驱动力来自重大资产重组。今年6月,*ST 中地公告称,计划将旗下房地产开发业务相关的全部资产与负债,转让给控股股东中交房地产集团有限公司。这一重组事项在8月31日完成实质资产交接,房地产业务自此正式退出公司合并报表范围。
据悉,资产重组为* ST中地带来64.89亿元的资产置出相关收益,这一数据直接拉动了当期利润表现,同时推动归属于上市公司股东的净资产转正至12.48亿元。
让人唏嘘的是,三季度业绩亮眼的房企,恰恰是已经退出房地产开发业务的那家。
值得注意的是,期内部分龙头房企归母净利润出现较大亏损,如万科、*ST金科、华夏幸福等。
数据显示,今年前三季度,万科实现营业收入1613.9亿元,同比下滑16.61%;归属于上市公司股东的净亏损280.2亿元,同比下滑56.14%。
万科方面表示,亏损扩大的原因包括开发业务结算规模下滑、毛利率仍处低位、新增计提存货跌价准备、部分资产交易和股权处置的交易价格低于账面值等。
另一亏损规模超百亿的为*ST金科。前三季度,金科实现营业总收入56.99亿元,同比下滑73.57%;归母净利润亏损107.78亿元,同比下滑102.12%。
还有华夏幸福,其亏损规模也近百亿。前三季度,公司营业收入为38.82亿元,同比下降72.09%,归属于上市公司股东的净利润亏损98.29亿元,同比下滑338.67%。
25家房企实现营收和归母净利润双增
前三季度有25家房企实现了营收和归母净利润的双增长。

有37家房企实现归母净利润实现同比正增长。其中,天保基建、深深房A、深物业A、渝开发、*ST中地、世荣兆业、城投控股、南山控股、中华企业、广宇集团、万业企业、南都物业、新黄浦、凤凰股份、中洲控股、珠江股份、栖霞建设17家房企前三季度的归母净利润增长超过100%。
其中,天保基建前三季度归属于上市公司股东的净利润增幅最大,为7158.91%。天保基建表示,业绩增长主要得益于报告期内满足收入结转条件的项目增加,以及冲回的土地增值税增加和资产减值损失减少。
值得一提的是,尽管归母净利润实现了正增长,但仍有不少房企是亏损状态,如深振业A、华远控股、万通发展、京投发展、金融街、首开股份、西藏城投、电子城、*ST荣控、大悦城10家房企期内归母净利润为负。

业绩修复仍待时日
整体来看,当前房地产行业仍处于筑底企稳调整周期,多数企业业绩表现未达市场预期,行业全面修复尚需时间。
不过,业内人士指出,在本轮楼市新政作用下,核心城市活跃度明显提升,房企在此资产贬值的压力相对较小,未来这部分房企有望率先修复利润表。多家企业也表示,通过在核心城市拿利润较高的项目,逐步带动利润表的修复。
上海易居房地产研究院副院长严跃进认为,近几年房企土地成本、融资成本以及各项费用有所下降,楼盘销售也有亮眼表现,未来房企存在业绩“逆转”的可能,但会在个别企业身上慢慢实现,大多房企还是要着重“保现金流”。