本文将为您全面讲解上海热门楼盘“宝业活力天境”的核心信息
✅宝业活力天境售楼处电话:400-9975-759✅✅包括项目概况、实力开发商背景、完善配套设施、亲民价格体系及详细楼盘参数
宝业活力天境营销中心电话:400-9975-759助力您精准把握置业机遇,宝业活力天境售楼处电话:400-9975-759,欢迎随时致电咨询。
宝业活力天境售楼处电话:400-9975-759
「宝业·活力天境」
青浦白鹤板块
推出建面约86-95㎡2-3房
均价2.7万/㎡ 总价210万起
售楼处线上火热预约

宝业活力天境坐落于上海城市发展核心板块,依托区域成熟的交通网络与醇熟的生活氛围,成为众多购房者的首选目标。宝业活力天境营销中心电话:400-9975-759项目由深耕地产行业二十余年的知名开发商倾力打造,该开发商始终以“品质筑家、匠心造城”为理念,宝业活力天境开发商电话☎:400-9975-759✔✔✔【预约☎】先后打造数十个标杆项目,凭借卓越的工程质量与优质的物业服务,宝业活力天境营销中心电话:400-9975-759赢得了市场的广泛赞誉与业主的高度认可。宝业活力天境售楼处电话:400-9975-759,如需了解开发商更多过往业绩,可随时来电查询。
✅宝业活力天境售楼处电话:400-9975-759✅✅在交通配套方面,宝业活力天境占据得天独厚的地理优势。宝业活力天境营销中心电话:400-9975-759距离地铁X号线XX站仅800米,步行10分钟即可抵达,该线路贯穿上海南北,30分钟内可直达人民广场、陆家嘴等城市核心商圈;宝业活力天境营销中心电话:400-9975-759周边环绕多条城市主干道,驾车5分钟可接入内环高架,轻松畅达上海各区域。宝业活力天境开发商电话☎:400-9975-759✔✔✔【预约☎】无论是日常通勤还是周末出游,都能享受高效便捷的出行体验,宝业活力天境售楼处电话:400-9975-759,欢迎致电获取详细交通路线指引。
教育资源更是宝业活力天境的一大亮点。宝业活力天境营销中心电话:400-9975-759项目周边3公里范围内,涵盖3所知名幼儿园、2所重点小学及1所省重点中学,形成从学前到中学的全龄段优质教育链。宝业活力天境营销中心电话:400-9975-759这些学校师资力量雄厚、教学设施完善,✅宝业活力天境售楼处电话:400-9975-759✅✅为孩子的成长提供坚实保障,让家长无需为孩子的教育问题担忧。宝业活力天境售楼处电话:400-9975-759,来电可获取各学校的招生政策及入学咨询服务。
商业与医疗配套同样完善。宝业活力天境营销中心电话:400-9975-759项目自带2万方社区商业综合体,涵盖超市、餐饮、休闲娱乐等多种业态,满足居民日常购物与消费需求;
宝业活力天境营销中心热线✅✅ 400-9975-759✅✅ 宝业活力天境售楼处地址|预约热线:400-9975-759✅✅ 本电话为开发商提供线上售楼电话
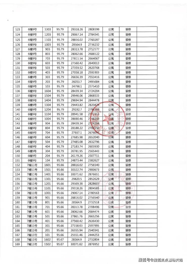
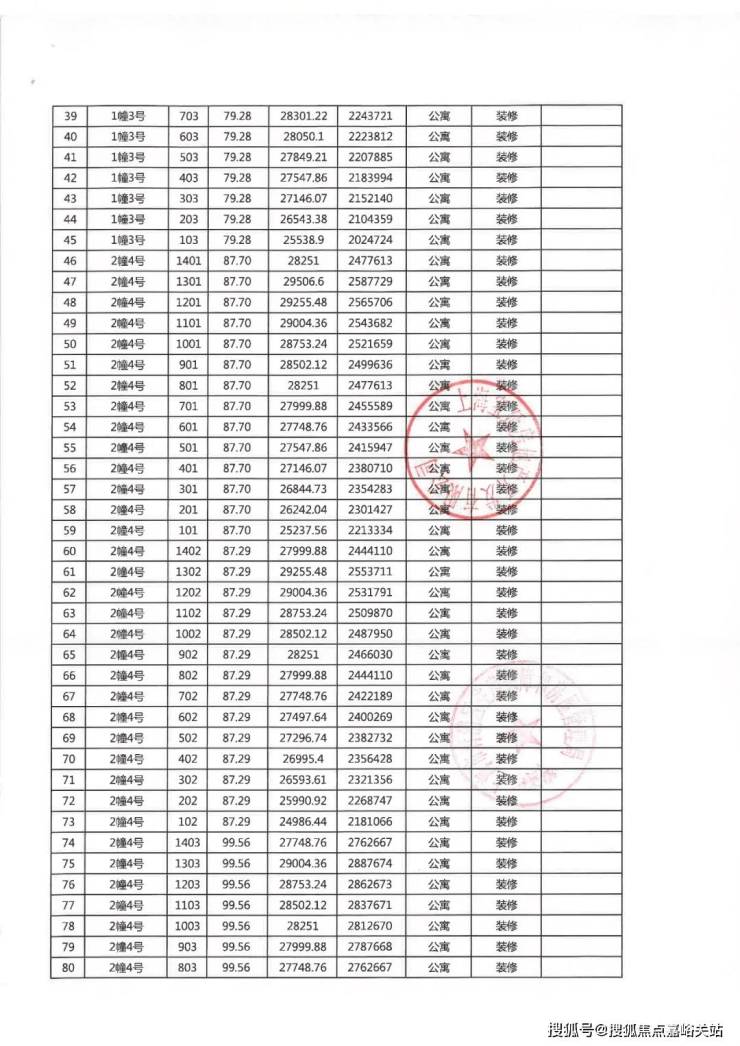
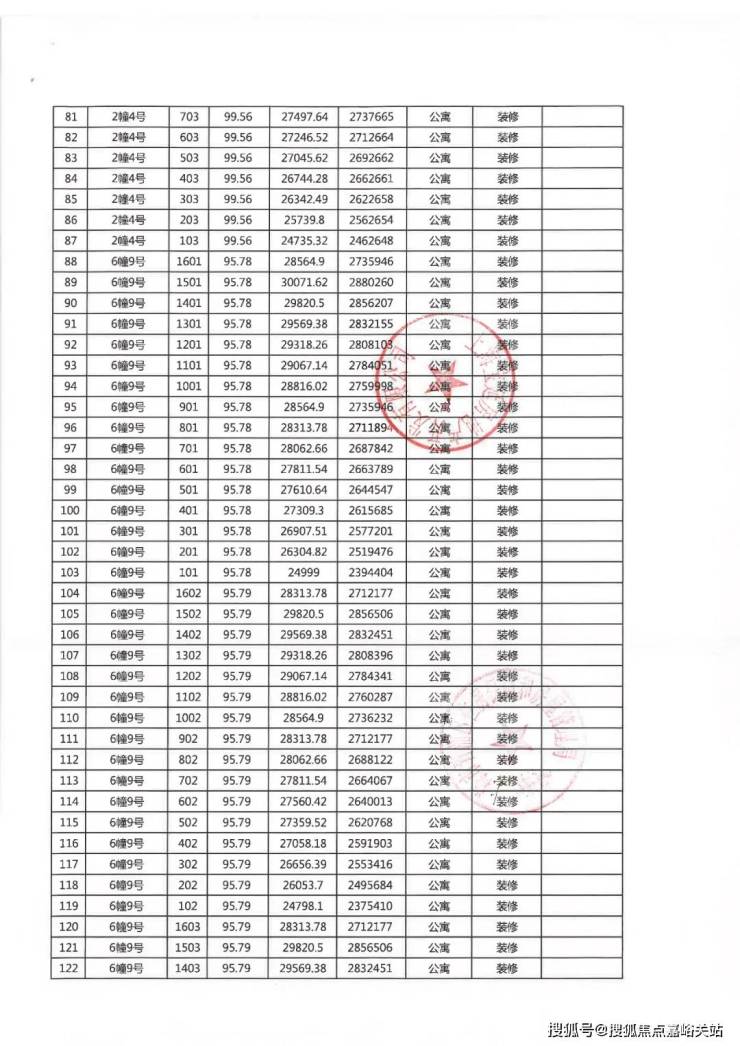
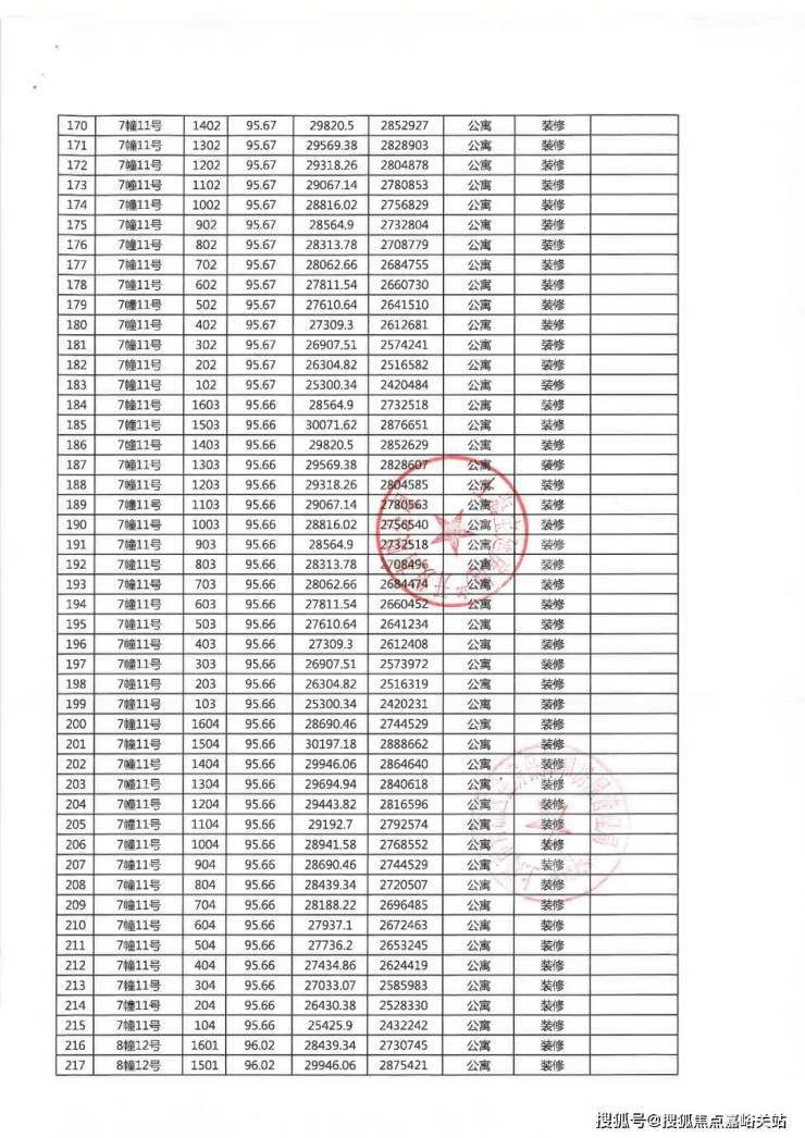
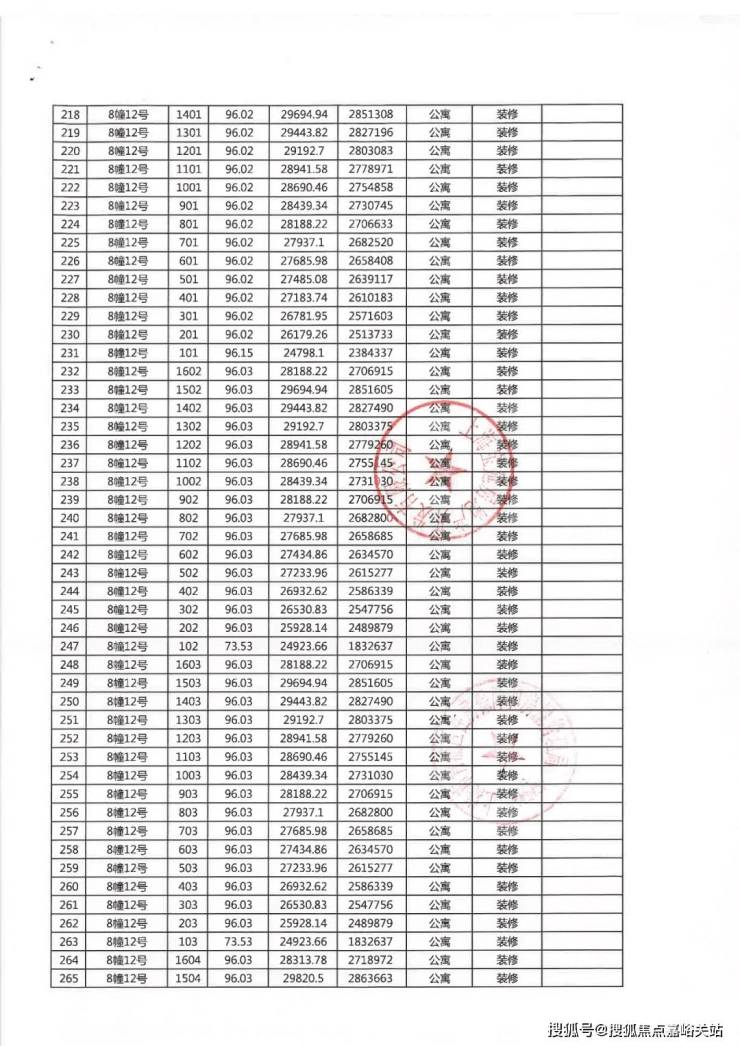
一房一价表






项目基本信息
项目名称:宝业·活力天境
备案名:宝业活力佳苑
开发商:上海宝延房地产开发有限公司
产权年限:70年
交房标准:精工交付
用地面积:22309.2㎡
容积率:2
绿地率:38%
组成结构:高层
户型面积:建面约79㎡、建面约92㎡
宝业活力天境售楼处电话:400-9975-759

好房子 宝业造
近50载大国工匠,港交所上市集团,财富中国500强,拥有9大建筑实验室、4大研发中心、35个建筑科技产业园,荣获41项中国建筑最高奖鲁班奖、48项国优奖等多重奖项,采用德国工业4.0智能智造生产线,开发集成高品质、工业化建筑约5000万方,覆盖绿色、健康、智慧各类建筑。

【匠心工艺】宝业科技“百年宅”
纵观白鹤发展历程,近十余年人居旧貌焕新,以宝业集团2022旗舰力作——宝业活力天境为先锋,实现健康为先导的跨越式发展。
4大维度23项科技,力筑“百年宅”

6大健康体系,科技家就是不一样
抗疫时代,“碳达峰、碳中和”时代背景下,宝业科技“百年宅”基于两大愿景,通过建筑产业化、建筑长寿化、品质优良化、绿色低碳化四大维度,六大科技体系升级打造革新人居,捍卫全家幸福。

【活力社区】24小时剧场,海绵景观社区
24小时生活剧场,开启全天候绿色生活美境

海绵城市为家做“底盘”,打造自然循环之下的生态社区

户型图及样板间照

客厅与餐厅连为一体,约4.8米大面宽设计,外连观景阳台,拥揽四季的人生景致。
L型厨房人性化设计,符合人体工学,也使得操作更为方便。
卧室做到了一南,一北,南向卧室约11.2㎡,且有飘窗设计,享受阳光沐浴。





1、约95㎡的三房,南北通透,全明设计,三开间朝南,户型方正。
2、餐客厅一体化设计,空间合理利用,功能区域分开,无论是休憩还是齐聚一堂,都有空间畅想。
3、主卧套房设计,带有独立卫生间,维护了家人间的私密性,且提升主人的尊荣感。




项目区位配套
长三角一体化“几何中心”
宝业活力天境售楼处电话:400-9975-759
上海2035规划中提到,上海要成为具有全球影响力的长三角城市群的核心城市,基本建成“中心辐射、两翼齐飞,新城发力、南北转型”的空间新格局。
从战略空间看,青浦处于中国国际进口博览会、虹桥国际开放枢纽、长三角生态绿色一体化发展示范区的战略叠加区。
泛长三角区域“几何中心”白鹤镇作为长三角一体化先行示范区、“安花白”节点型城市,将借助区位优势,承接安亭“世界级汽车产业中心”的部分功能。

【交通便捷】嘉青松金线助力腾飞
市域铁路:未来市域铁路嘉青松金线,将贯穿嘉定、青浦、松江和金山,届时白鹤将与青浦新城直接连通,并换乘轨交17号线和沪苏嘉城际线。
双维交通:坐享轨交11号线与轨交17号线青浦“纵贯线”交通辐射,坐享长三角节点交通优势

【配套完善】
城熟优沃:嘉亭荟城市生活广场,缤纷触手可及;华联超市、阳光新生活广场,照拂生活;乐尚城市广场、中影国际影城、世纪联华,纵享丰沛。
书香为伴:紧邻白鹤中小学、白鹤幼儿园、赵屯小学,朗朗读书声,传递书香雅韵。
白鹤中学:始建于1965年,上海市先进集体、市中学生行为规范示范校、区教育系统先进集体。
白鹤小学:上海市教科研先进集体、上海市安全文明校园、青浦区文明单位。
赵屯小学:创办于1868年,至今已有137年历史。是青浦区有史记载的最古老的学校之一。上海市素质教育实验学校。
白鹤幼儿园:公办二级一类幼儿园。
贴身养护:约600米社区卫生服务中心,贴身关怀。

宝业活力天境
宝业活力天境售楼处电话:400-9975-759
距离大型购物中心XX广场仅2公里,汇聚国内外知名品牌,是休闲购物的绝佳去处。宝业活力天境营销中心电话:400-9975-759医疗方面,周边有三甲医院XX医院及多家社区卫生服务中心,✅宝业活力天境售楼处电话:400-9975-759✅✅先进的医疗设备与专业的医护团队,为居民的健康保驾护航,宝业活力天境售楼处电话:400-9975-759,随时为您解答配套相关疑问。
在价格方面,宝业活力天境充分考虑购房者的需求,推出极具性价比的置业方案。宝业活力天境营销中心电话:400-9975-759目前项目均价为XX元/平方米,相较于同区域同品质楼盘,价格优势明显。

“
市场普遍认为,此举将为上海楼市注入强劲动能。
中房报记者 付珊珊丨上海报道
8月25日上午,上海楼市新政“靴子”落地。
没有选择周五下班后的“黄金官宣时间”,也并非传言的月底最后一天,上海楼市新政就在这样一个工作日的早上悄然而至。
消息一出,迅速席卷了地产人的朋友圈。“重磅利好”“外环外不限套数”“利率不分首二套”等关键词快速刷屏。不少近期即将开盘的项目火速响应,其中保利海上印项目更是发布了“重磅新政正当燃,开盘前夜不打烊”的红色海报,宣布将通宵迎客,试图趁势抢收。
这份由市住房城乡建设管理委等六部门联合印发的《关于优化调整本市房地产政策措施的通知》,涵盖了限购松绑、公积金提额、商贷利率并轨、房产税优化等四大维度,被视为促进上海楼市向好发展的有力支持政策。
中指研究院政策研究总监陈文静表示,整体来看,本次上海跟进优化楼市新政,在优化限购、加大公积金政策支持方面与北京较为相似,除此之外,上海进一步降低居民购房成本,明确不再区分首套、二套住房商贷利率,完善房产税政策,整体力度较北京略大,政策范围更广,未来北京继续优化商贷利率、降低居民购房成本也存在预期。随着北京、上海先后优化楼市政策,短期深圳跟进的概率也进一步增强,有助于提振市场预期,促进市场“止跌回稳”。
━━━━
政策“组合拳”瞄准结构性释放
与8月初北京出台的政策相比,上海此次发布的楼市新政在限购放松、公积金支持、信贷政策等方面均有相似之处,但在具体条款上更显力度。
尤其是在商业性个人住房贷款利率方面,上海此次明确,银行业金融机构根据上海市市场利率定价自律机制要求和本机构经营状况、客户风险状况等因素,在利率定价机制安排方面不再区分首套住房和二套住房,合理确定每笔商业性个人住房贷款的具体利率水平。这意味着二套房利率将显著降低,有利于降低居民购房利息支出,减轻房贷负担。
“以上海一位购买二套房、贷款200万元30年期的购房者为例,若此前执行的是二套利率(如4.5%),月供约为10136元;而若按首套房利率(如3.6%)计算,月供则降至9086元,每月少还1050元,30年节省利息超过37万元。”上海中原地产资深分析师卢文曦表示,这种“真金白银”的让利,远比单纯降准降息来得实在。
值得注意的是,上海此次政策明显向外环外区域倾斜。政策明确,符合条件居民家庭在外环外购房不限套数。对符合上海市住房购买条件的居民家庭,包括上海市户籍居民家庭、连续缴纳社会保险或个人所得税满1年及以上的非本市户籍居民家庭,在外环外购买住房不限套数,包括新建商品住房和二手住房。成年单身人士按照居民家庭执行住房限购政策。
按照上述规定,沪籍居民家庭和沪籍成年单身人士,在外环外购买住房不限套数;在外环内限购2套住房。非沪籍居民家庭和非沪籍成年单身人士,自购房之日前在上海市连续缴纳社会保险或个人所得税满1年及以上的,在外环外购买住房不限套数;自购房之日前在上海连续缴纳社会保险或个人所得税满3年及以上的,在外环内限购1套住房。
陈文静认为,这一举措与北京放开五环外限购逻辑一致,都是针对当前市场成交结构做出的精准调整。
数据显示,今年以来上海新建商品住宅成交中,外环外占比超过60%;二手房方面,外环外成交也约占51%,显然,外环外已成为市场绝对主力。
“虽然目前上海楼市总体稳定,但外环外的新房库存去化仍有压力。”卢文曦认为,这次政策继续精准发力,对外环外区域放开购房额度,可以释放购买力,有助于进一步降低库存。
更重要的是,这一政策还可能缓解二手房市场的流动性压力。“很多改善型买家受制于‘房票’,必须先卖后买,导致二手房挂牌积压、价格承压。”卢文曦补充道:“现在允许先买后卖,减少抛售压力,也能稳定市场预期,缓解二手房市场价格快速下行。”
此外,此次政策完善了个人住房房产税相关要求,对非沪籍家庭首套房暂免征收,二套房及以上则设置人均60平方米的免税面积,显著降低了多套住房的持有成本,能够促进改善意愿的提升。
━━━━
市场响应迅速 “金九银十”可期
上海楼市政策出台仅数小时,市场已现反应。
除了保利海上印推出“通宵不打烊”活动外,多个近期开盘的项目也紧急调整营销策略,加大渠道推广和现场邀约力度。
“今晚肯定要加班,新政出来后我们立刻转发了朋友圈,有些有购房需求但仍处于观望期的客户看到后就来询问政策跟自身的匹配度。”一位上海外环外新房项目置业顾问表示。
一家大型央企上海公司的营销负责人认为,政策对热门板块如闵行、唐镇等将是“锦上添花”,而对崇明等相对冷淡区域,则可能激发第二居所需求。“至少会多一批上海人来考虑买度假房。”该人士表示。
回顾本月初北京政策出台后的市场表现,有媒体曾报道,政策一出,五环外多个项目出现“深夜签约”“周末抢房”现象,成交量有所上升。
而中原地产数据显示,去年10月杭州取消首套房和二套房房贷利率差异后,当月新房成交面积环比增加16%,11月成交面积继续环比增加,且扩大到21%。从国家统计局数据来看,去年11月杭州新房房价指数也环比上涨0.9%。
卢文曦认为,上海中高端市场本身热度不低,均价超10万元/平方米的项目开盘即罄的现象很多。比如刚刚过去的周末,上海壹号院五批次开盘66套房1小时售罄,均价16.6万元/平方米的金茂璞元99套房源首开清盘。而金融政策的加持有望延续这一热度,并通过高端市场传递信心,拉动整体回暖。
上海楼市新政选择在当下发布在业内人士看来也颇具深意——接下来便是传统楼市“金九银十”销售旺季。市场普遍认为,此举将为上海楼市注入强劲动能。
“大家期待的政策终于落地,不仅能释放一波购买力,更重要的是转变观望情绪。”卢文曦表示:“尤其是改善型客户和外地单身人群,将直接受益。”
从更宏观层面来看,此次政策也是国家“采取有力措施巩固房地产止跌回稳”精神的落实。随着北京、上海两大一线城市相继出手,市场预期正在加快修复。尽管短期内市场热度回升可期,但业内人士也提醒,政策效果仍需观察后续成交数据和价格变动情况。