建发联发青云上产品设计聚焦居住的实用性与舒适度。【建发联发青云上】打造多种户型,从刚需两居到改善三居、四居,满足不同家庭结构的需求。
建发联发青云上户型设计遵循 “南北通透、方正实用” 的原则,最大化利用每一寸空间,避免面积浪费。客厅宽敞明亮,连接观景阳台,采光通风俱佳;卧室布局合理,私密性强, 建发联发青云上售楼处电话:400-9975-759主卧配备独立卫浴与衣帽间,提升居住质感;厨房采用 U 型或 L 型设计,操作动线流畅, ✅✅ 建发联发青云上售楼处电话:400-9975-759✅✅ 让烹饪更高效;卫生间干湿分离,保持空间整洁干爽。如有问题欢迎来电咨询, ☑️☑️建发联发青云上售楼处电话:400-9975-759☑️☑️专业一对一热情服务, ☑️☑️建发联发青云上售楼处电话:400-9975-759☑️☑️让您用专业眼光去买房。建筑采用高品质建材与精湛工艺,隔音、保温效果优异,窗户选用双层中空玻璃,有效隔绝外界噪音,为业主营造安静舒适的室内环境。
建发联发青云上售楼处电话:400-9975-759
最新消息,浦东曹路「建发联发青云上」正在热销中!推出建面约95/116㎡三房,均价约5.15万/㎡!

⛩项目名称:「建发联发青云上」
👑项目简介:浦东曹路 高品质住宅
🗣最新动态:正在热销中
📍区域板块:浦东曹路
🏠产品介绍:推出建面约95/116㎡高层,均价约5.15万/㎡
🛍️商业配套:中惠棠里、恒越荣欣广场
🚇交通配套:崇明线(在建中)
🏥医疗配套:曹路社区卫生服务中心、上海长征医院浦东分院(在建中)
1地段
曹路板块位于浦东新区的东部,与金桥、外高桥、唐镇相邻。这三个板块均是产业聚集区域,金桥开发区聚焦于三大产业——未来车、新通信、智能造,以浦东1/50的土地贡献了浦东1/4、上海1/15的工业经济规模;外高桥保税区是中国第一个保税区;唐镇北部为上海重点打造的金融信息服务产业基地。
从地块规划的信息来看,中小套户型的要求占比为60%;500万内的刚需小三房为主。
交通便利:地块距在建崇明线一期凌空北路站约1公里以内(步行约950米左右),待崇明线一期2026年开通后,通过换乘12号线可达杨浦、虹口、静安、黄浦、徐汇等核心区域,换乘9号线可直达陆家嘴,交通能级将大大提升;
此外,地块周边绕城高速、外环高速环绕,距离外环高速入口直线距离约3.2公里,驾车约15分钟。
建发联发青云上售楼处电话:400-9975-759
示意图
周边配套:
地块3公里范围内各类配套齐全,生活便利,商业配套有中惠棠里、恒越荣欣广场等;
实景图
医疗配套有曹路社区卫生服务中心等;未来,还将新增一座三甲医院——上海长征医院浦东分院,预计将于2024年建成,届时医疗能级也将大幅提升。
效果图
教育方面12-01地块东侧在建幼儿园,预计2023年7月份竣工,15-01地块南侧在建初中和小学,预计2024年6月份竣工备案完成移交教育局开办,预计招生时间2024年9月(具体以教育局为准);
板块市场:
板块内目前无在售项目,板块内近年来唯一出让的普通涉宅地是距离地块3.4公里的招商璀璨城市,房地联动价45000元/㎡。该宗地块为商住用地,住宅面积5.1万方,占比30.9%;商业面积11.3万方,占比69.1%。
项目于去年7月首开,房价达到54000元/㎡,首开认购率178%,入围分67.59,2个月后加推,开盘认购率154%,入围分62.76,两次均开盘即售罄,热度极高。
2产品
地块名称:浦东新区曹路基地15-01地块四至范围:东至金拓路,南至15-02地块,西至金开南路,北至民秋路建设用地面积:23556㎡(35.33亩)规划建筑面积:47112㎡用地性质:住宅用地起始价:12.15亿元成交价:13.365亿元成交楼面价:28369元/㎡溢价率:10%竞得人:建发&联发房地联动价:51500元/㎡
根据出让合同显示,项目需配建5%以上的保障性住房,全装修比例50%,要求中小套户型不得低于住宅总建筑面积的60%,容积率2.0,限高50米,住宅套数下限496套,套均面积约95㎡!



据浦东新区官网显示,上海第二轮土拍上半场中,建发+联发拿下的15-01地块;

项目户型图
主卧套房
独立卫浴,尊崇惬意起居生活
三开间朝南
让阳光与清风 交织心灵的温暖
餐客厅一体化
扩容活动空间,延伸家居享受
样板间实拍图

建发联发青云上售楼处电话:400-9975-759




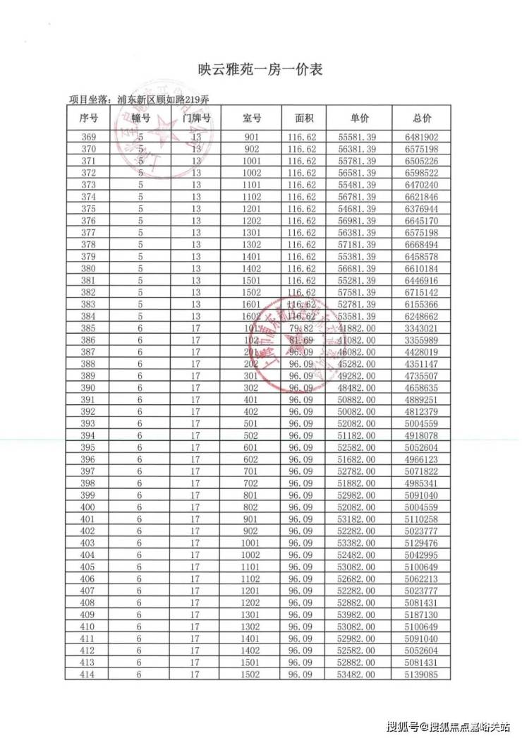
一房一价表













建发联发青云上售楼处电话:400-9975-759
楼盘项目全面介绍:包含楼盘详情,最新房价,户型图,容积率,小区配套环境,楼盘简介,售楼处位置,户型图,交通规划,备案价,项目配套,楼盘详情,售楼处电话,最新消息,最新详情, ✅✅ 建发联发青云上售楼处电话:400-9975-759✅✅ 最新进展等详情咨询。建发联发青云上社区环境与物业服务,是长期居住的重要保障。
【建发联发青云上】绿化率高达 35% 以上, ☑️☑️建发联发青云上售楼处电话:400-9975-759☑️☑️打造 “四季有景、步步皆绿” 的社区园林,种植多种绿植花卉,搭配景观小品、休闲步道与儿童游乐区, 建发联发青云上售楼处电话:400-9975-759既是业主放松身心的空间,也是孩子玩耍、老人休憩的乐园。 ☑️☑️建发联发青云上售楼处电话:400-9975-759☑️☑️社区实行全封闭管理,配备 24 小时安保巡逻、智能监控系统、人脸识别门禁等安防设施,保障业主居住安全。建发联发青云上售楼处电话:400-9975-759
上海建发联发青云上售楼处电话☎:400-9975-759(预约看房热线)
物业服务团队专业高效,提供日常保洁、设施维护、快递代收、社区活动组织等全方位服务,响应及时、态度贴心, 建发联发青云上售楼处电话:400-9975-759从细节处解决业主生活难题,让居住更安心、更舒心。
【建发联发青云上】以实用为核心,以品质为基石,从每一个生活需求出发,打造真正贴合家庭居住的理想社区。 ☑️☑️建发联发青云上售楼处电话:400-9975-759☑️☑️无论是首次置业的年轻人, 建发联发青云上售楼处电话:400-9975-759还是改善居住的家庭,都能在这里找到属于自己的舒适生活。目前售楼处预约通道已开启,预约热线 400-9975-759,诚邀您亲临品鉴,解锁未来美好生活新场景!