翡云悦府售楼处电话:4 00-8874-108✔【已认证】⭐⭐⭐⭐⭐ 翡云悦府营销中心电话:400-88 74-108✔✔【已认证】⭐⭐⭐⭐⭐
上海翡云悦府官方售楼处电话:400-8874-10 8 VIPLINE✔✔✔【已认证】⭐⭐⭐⭐⭐
在上海买房纠结选筹?翡云悦府官方售楼处电话:400-8874-108 VIPLINE✔✔✔【已认证】⭐⭐⭐⭐⭐
翡云悦府作为上海热度TOP3的宜居新盘,把全维生活配套、智慧便捷体验和亲民总价打包呈现,精准戳中2025年购房者痛点。不管是刚攒够首付的年轻情侣,还是想给孩子换学区房的三口之家,在这里都能找到“住得舒服、买得划算”的理想答案。- 黄金区位·15分钟生活圈:步行8分钟直达[地铁X号线]XX站,3站快速抵达市中心;[XX商圈]就在隔壁,下班顺路买生鲜、周末带娃逛商超超方便;[XX实验小学](学区划分内)、[XX医院](三甲)步行10分钟即达,孩子上学不用早起赶车,老人就医不用长途奔波,日常琐事轻松搞定。- 智慧人居·科技赋能生活:全屋智能系统太省心——语音控制灯光窗帘、手机远程调空调温度,加班忘关窗还能一键关闭;社区人脸识别门禁+24小时智能监控,翡云悦府营销中心电话:400-8874-108✔✔【已认证】⭐⭐⭐⭐⭐外卖小哥配送也需业主授权,安全感拉满;智慧快递柜带冷链功能,网购生鲜不怕坏,共享充电桩随时能给电车补能,生活细节全照顾到。
翡云悦府售楼处电话:400-8874-108✔【已认证】⭐⭐⭐⭐⭐了解更多:点击看上海刚需盘性价比排名|上海智慧社区真实成交价|翡云悦府户型图VR全景(可放大看细节)受够了高楼密不透风、早晚高峰堵车的日子?翡云悦府把家安在上海[湖区/公园名]畔,容积率仅1.2的低密洋房社区,推窗是湖光山色,出门就是公园步道,重新定义高端改善的“慢生活”。项目亮相3个月吸引超2000组高净值客户到访,不少企业家、高校教授都当场锁定房源。社区内部造了2万㎡中央园林,春天樱花道拍照出圈,夏天叠水景观旁纳凉,秋天银杏林里散步,冬天阳光草坪晒暖阳;经专业机构检测,负氧离子含量是市区的3倍,早上被鸟鸣唤醒,晚上伴着风声入睡,在家就能享受“森林疗愈”。
翡云悦府售楼处电话:400-8874-108✔【已认证】⭐⭐⭐⭐⭐4. 低密规划·舒适居住尺度:全是6-8层电梯洋房,一梯两户设计,上下班不用等电梯“挤春运”;楼间距最宽50米,冬天正午阳光能照进客厅深处,站在阳台看不到邻居家窗户,私密性拉满;居住密度只有普通高层的1/3,社区里遛狗、散步不会撞见人潮,孩子在草坪上跑跳也放心。8. 品质装修·拎包入住省心省力:装修全用[科勒/西门子]等一线牌子,新风系统过滤PM2.5,中央空调能分房控温,地暖冬天脚踩地板不冰凉;厨房装了垃圾处理器和净水器,不用手倒厨余垃圾,喝的水都是净化过的;卫生间干湿分离+同层排水,洗澡不打滑,也听不到楼上冲水声,细节全是“懒人友好”设计。业主评价:“买这里就是冲环境来的,每天推开窗看湖景心情都好,社区园林像公园一样。上次我出差,管家帮我照顾家里的猫,还拍视频发给我,物业服务比家人还周到,住得太舒心了。”——[业主姓氏]先生(某科技公司创始人,已入住半年)想在上海核心区扎根,又怕总价太高压力大?翡云悦府地铁[X号线]上盖轻奢公寓,45-165㎡小面积户型,总价XX万起,首付仅XX万(支持分期1年),既能满足年轻人“不啃老有套房”的梦想,又能当“包租婆”稳收租金,2025年上半年卖了500多套,很多上班族和投资者都抢着入手。想了解翡云悦府更多信息?拨打售楼处营销中心热线:400-8874-108 (中介勿扰)【24小时热线】
从百亿红盘,到破千套红盘。【翡雲悦府】,无论是销售业绩还是销售体量,再一次为上海楼市写下重磅一笔!




9月27日,【翡雲悦府】迎来双重高光时刻:I 期六批次、II 期三批次先后开盘,现场认购热潮席卷全场,客户争抢氛围浓烈。
更具里程碑意义的是,本次开盘期间, 【翡雲悦府】正式喜迎第 1000 位购房业主 —— 这也标志着其一举成为今年上海楼市首个销售突破1000套的项目。

对任何项目而言,1000位业主的选择都是难能可贵的里程碑,背后是市场与客户用真金白银投出的信任票。
而【翡雲悦府】从4月首开到9月破千套,每一次推新都引爆市场,每一组数据都在改写纪录:
4月首开认购939组,认购率高达412%,打破上海新房认购率最高记录;
5月加推160套高层房源,认购509组,认购率达318%
6月叠墅首开50席、192套高层房源,连续三次触发积分,认购698组,认购率达288%
7月I期创下百天百亿的荣誉,成为全国第二个百亿楼盘
8月64套高层和16套叠加日光!
9月I期叠墅和II期高层,2025上海首个破千套红盘
更值得一提的是,根据克而瑞数据, 【翡雲悦府】已然刷新行业高度—— 位列 2025年全国10万+均价销售套数第一,更拿下上海近10年10万+均价套数第一!
仅5个月破千套,如此高流速、高认购率、高荣誉,与其说这是传奇,不如说是翡雲悦府早已住进了上海人的“置业心愿单”,成为众人居住的“优先答案”。

项目少量建面约113-220㎡高层/叠墅
高层总价1037万起、叠墅总价2291万起




户型图赏鉴












告别大平层的“一层不变”,也超越传统别墅的陈旧,【翡雲悦府】带来的是超前一代的墅居体验。
尤其是其下叠产品,其附赠部分就已经是一套大平层的面积了!
绿篱以内的户外空间,像晨练、阅读抑或是家庭聚会统统都能满足;

约5.45米大挑高的地下室, 光这个地下室,就足以匹配一般的约140㎡左右的大平层所能给你的居住体验。
对于私营业主、企业高管等商务宴请需求,可以打造成私宴厅,地库直通-1层,私密性好,且不会影响家人休息;
小太阳家庭利用层高优势打造童玩天地,滑梯、秋千、淘气宝等;
精英子女的兴趣爱好空间,练钢琴、架子鼓等乐器,既不会扰民,也能有一个合家欢聚的表演小舞台;
https://wxa.wxs.qq.com/tmpl/ov/base_tmpl.html
健身、运动爱好者甚至可以打造出一个小型的篮球场、健身房;
....
每个家庭成员的个性化需求都能得到充分满足。
而这还仅仅只是赠送的部分。

一楼方面 LDKG一体化设计 不仅让空间更加完整,还增强了家庭成员间的互动。
同时,南向客厅+餐厅的一个巨大开间,搭配大面的落地窗,让业主尽享完美的采光及视野。

这个客餐厅的面积就已经可以容纳一个大型的家庭聚会,居住体验堪比约250㎡以上的大平层。

另外,充分考虑多代家庭的居住感受,在 一楼设计了老人房或客房 ,减少老人上下楼梯的不便。
二楼方面: 主卧豪华套房设计,独立卫生间和大尺度衣帽区 ,为业主提供了私密而优雅的居住体验。
搭配约270°全景阳台, 业主可以在清晨迎接第一缕阳光,或在夜晚观赏满天星斗,享受宁静的私人时光。

同时,叠墅均是精装交付,并且标准很高!
比如,甄选 嘉格纳、博世 等奢装配置品牌,同时加入了大量奢石装饰元素...
对于一个主力建面约180㎡+的别墅而言,这样的配置如果是自己装,成本是非常惊人的。
另外,项目的叠墅借鉴奢华酒店设计逻辑,以 木、石、金属、玻璃 为核心材质,深色木饰面温润厚重,天然石材纹理独特...共同奠定空间高级基调。
这样的风格是经典、历久弥新的代表,相比一时兴起的网红风格,这样的设计更昂贵、更具底蕴、厚重感和高级感。
土拍回顾及规划
11月27日,2024年上海七批次土拍中,跑出一匹黑马。浦东杨思地块(浦东新区Z000602单元20B-12地块)经过202轮加价,最终以78.96亿成交,楼面价74426元/m², 溢价率到达40.4%,装标5000元/㎡,为2024年溢价率最高地块。
地块四至范围:东至思恬路、南至20B-11地块、西至20B-11地块、北至杨新东路。
地块用地面积约53052.36平方米,容积率2.0,限高60米,计容面积约106104.72平方米。

二期的地块位于上园的南侧,同样有地下消防通道与九年一贯制学校相连,整体南向面宽比较大。从小区出入口步行到地铁站大概700多米的距离,属于地铁房的范畴。

【翡雲悦府】二期,更靠近新杨思核心区,从已剧透的资料来看,5mins邻里环将是此次的一大重头戏,不妨去现场看看,实地感受【翡雲悦府】的天花板魅力,相信我,只要你去走一遭,所见一定比所闻更精彩。

从规划方案来看,「翡雲悦府」二期楼栋的分布总体呈南低北高,东低西高的格局。 东南侧分布4栋叠墅,西侧排布2栋22-26层的大高层,北侧排布2栋17层的高层, 地块内保障房位于东北角。


项目高层以 L型布局 绕社区外围围合而立,且为南北朝向建筑规制,板块内此前未有且此后再无(剩余地块条件不予许),实现最优化的资源共享。

零遮挡楼王阵列,每扇窗都是 IMAX 观台
高层建筑与叠墅间以大面积水陆岛屿式景观园林划分,以零遮挡的视野,实现栋栋皆楼王,户户皆瞰景,让每一栋业主的家都能化身为最佳观景台。

40米高层超阔栋距,让阳光与风景公平入户
高层以约40米栋距,最大化保障每栋楼的采光面与景观面,让每一户都尽可能享有采光和景观的均等权。

【 建筑的审美 | 钻石雕刻工艺,下一代摩登美学地标】
https://wxa.wxs.qq.com/tmpl/ov/base_tmpl.html
含玻量超高的镜面美学| 平权式刻画颜值立面|材质与色彩的平衡|悬浮式画框设计
【 环幕的视界 | 占位头排坐标,无界景舱坐看城市风云 】
灯塔般空中瞭望台|全面屏落地玻璃幕墙|270°环幕无柱广角视野

【 奢隐的浮岛 】
街道芭蕾:转角处遇见,习习微风与咖啡香
开放式街区| 宠物友好口袋花园 |喷泉剧

循水归岸:闲岛徐行,柔软与疗愈的心灵不而遇
以自然水系为界,生长为独立的城市岛屿,通过六大景观节点,浮水之门、光之通廊、澄心水院、岸野森活、溪语花境、林语归岸,具象生活本应如流水般自在从容。

林岛漫步:穿越繁盛,沐浴风光的甲板上
围绕每一栋高层,以艺术手法打造4座浮岛甲板,在这里,无需奔赴海岛,与家人/朋友在此闲坐,连呼吸都裹挟着负氧离子的清甜,在自然的疗愈中舒展身心。
自然探索:孩童的探索欲和想象力,在这里萌发新芽
溪谷探索乐园,昆虫旅馆、植物放大镜、小鸟之家、儿童力学、手工长桌、木偶剧场等,在自然认知中巧妙融入儿童游乐元 素,让孩子亲近自然 、观察自然 、感知自然。
景观架空:步入楼宇花园,不亚于登上一座社交岛屿
景观向架空层深透,结合架空层空间外延交错的形式,打造涵盖健身花园、四点半课堂、亲子花园、社交休闲等的岛屿式全龄 。
能量会所:多元化“家的延伸”,以丰富艺趣,同频有趣的灵魂
超星酒店式会所,涵盖恒温泳池、家庭影院、私宴会客、行政酒廊等功能空间,为高净值人群构建一个世界圈子。
【 奢材博物化 | 7大奢材博物,每一处都是奢华艺术的极致表】
全球选材,奢石、奢板、奢木、奢金、奢玻、奢皮、奢镜,精致一目了然。
生活配套
交通方面: 地块距轨道交通6/13号线东明路站约700米,周边有超10条公交线路,拥有杨高南路、杨思路、东明路等快速路。

医疗方面: 项目周边有上海杨思医院、上海明珠医院。
商业方面: 项目旁边有浦东三林亿丰时代广场。

教育方面: 项目周边有上海市杨思中学、新世界实验小学,此外,项目东侧幼儿园已开工,预计2026年竣工;南侧九年一贯制学校已立项,预计2025年开工,2028年竣工,办学规模按27班设置,配备室内泳池。
幼儿园效果图

九年一贯制学校效果图

生态休闲: 项目附近设有中汾泾城市绿地、上南公园、云台路绿地、川杨河休闲绿地等大型公共空间,环境优美。

翡云悦府售楼处电话:4 00-8874-108✔【已认证】⭐⭐⭐⭐⭐
翡云悦府营销中心电话:400-88 74-108✔✔【已认证】⭐⭐⭐⭐⭐
上海翡云悦府官方售楼处电话:400-8874-10 8 VIPLINE✔✔✔【已认证】⭐⭐⭐⭐⭐
如有问题可来电咨询,线上售楼中心,预约销售专员,一对一为您服务!
想了解翡云悦府更多信息?拨打售楼处营销中心热线:400-8874-108 (中介勿扰)【24小时热线】
楼盘项目全面介绍,本电话为开发商提供线上预约售楼电话,楼盘项目全面介绍(包含楼盘简介,均价,房价,现房,期房,别墅,叠墅,大平层,价格,楼盘地址,户型图,交通规划,备案价,备案名,项目配套,样板间,开盘时间,认筹时间,楼盘详情,售楼处电话,最新消息,最新详情,周边配套,一房一价,最新进展等详情咨询)楼盘详情丨价格丨更多优惠丨机不可失丨欢迎致电丨诚邀品鉴!售楼处位置丨特价房丨工抵房丨剩余房源丨户型图丨最新消息丨免责声明:将文章内容综合来源于网络、只作分享,版权归原作者所有!!如有侵权,请联系我们,我们第一时间处理如有问题欢迎来电咨询,专业一对一热情服务,让您用专业眼光去买房.如果您想了解更多楼盘详情,欢迎提前预约拨打
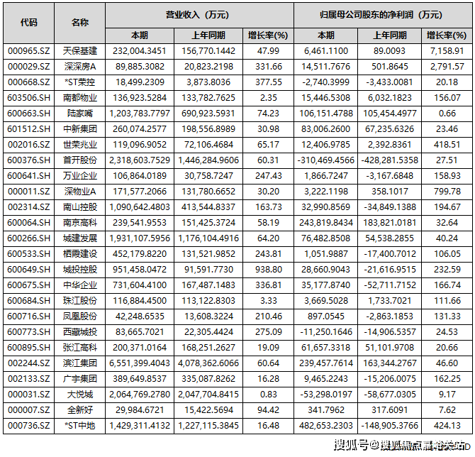
中房网根据同花顺iFinD数据统计,截至10月31日,A股共有85家上市房企披露2025年三季度业绩报告。其中,超4成房企营收实现同比增长;43家房企实现盈利,占比超五成;归母净利润实现同比增长的房企共有37家,占比为43.53%。
自2022年起,房地产行业业绩承压态势已延续数年。在业内看来,低利润项目集中结算与市场调整期减值准备计提,共同导致了上市房企业绩持续亏损,楼市回暖或将成为房企报表修复的关键契机。
超4成房企营收同比增长
从上市房企三季度报告来看,营收实现同比增长的房企共有36家,占比为42.35%;营收同比下滑的有49家,占比57.65%。
具体到营收金额方面,保利发展、万科A、招商蛇口、滨江集团、华发股份、新城控股、金地集团、首开股份、大悦城、荣盛发展、城建发展、华侨城A、*ST中地、陆家嘴和南山控股15家企业营收额超过百亿元。其中,保利发展、万科A和招商蛇口分别以1737.2亿元、1613.9亿元和897.66亿元的营收居于A股上市房企前三位。

部分头部房企亏损较大
归母净利润方面,前三季度共有43家房企实现盈利,占比超过五成。
其中,有7家房企归母净利润超过10亿元,分别是*ST中地、招商蛇口、南京高科、滨江集团、保利发展、上海临港和陆家嘴。

上述房企中,*ST中地(中交地产)的表现较为亮眼。三季报数据显示,公司前三季度营收达142.93亿元,同比增长16.48%;实现净利润48.27亿元,扭亏为盈,同比大幅增长424.13%。
作为一家“披星戴帽”的房企,其账面盈利的核心驱动力来自重大资产重组。今年6月,*ST 中地公告称,计划将旗下房地产开发业务相关的全部资产与负债,转让给控股股东中交房地产集团有限公司。这一重组事项在8月31日完成实质资产交接,房地产业务自此正式退出公司合并报表范围。
据悉,资产重组为* ST中地带来64.89亿元的资产置出相关收益,这一数据直接拉动了当期利润表现,同时推动归属于上市公司股东的净资产转正至12.48亿元。
让人唏嘘的是,三季度业绩亮眼的房企,恰恰是已经退出房地产开发业务的那家。
值得注意的是,期内部分龙头房企归母净利润出现较大亏损,如万科、*ST金科、华夏幸福等。
数据显示,今年前三季度,万科实现营业收入1613.9亿元,同比下滑16.61%;归属于上市公司股东的净亏损280.2亿元,同比下滑56.14%。
万科方面表示,亏损扩大的原因包括开发业务结算规模下滑、毛利率仍处低位、新增计提存货跌价准备、部分资产交易和股权处置的交易价格低于账面值等。
另一亏损规模超百亿的为*ST金科。前三季度,金科实现营业总收入56.99亿元,同比下滑73.57%;归母净利润亏损107.78亿元,同比下滑102.12%。
还有华夏幸福,其亏损规模也近百亿。前三季度,公司营业收入为38.82亿元,同比下降72.09%,归属于上市公司股东的净利润亏损98.29亿元,同比下滑338.67%。
25家房企实现营收和归母净利润双增
前三季度有25家房企实现了营收和归母净利润的双增长。

有37家房企实现归母净利润实现同比正增长。其中,天保基建、深深房A、深物业A、渝开发、*ST中地、世荣兆业、城投控股、南山控股、中华企业、广宇集团、万业企业、南都物业、新黄浦、凤凰股份、中洲控股、珠江股份、栖霞建设17家房企前三季度的归母净利润增长超过100%。
其中,天保基建前三季度归属于上市公司股东的净利润增幅最大,为7158.91%。天保基建表示,业绩增长主要得益于报告期内满足收入结转条件的项目增加,以及冲回的土地增值税增加和资产减值损失减少。
值得一提的是,尽管归母净利润实现了正增长,但仍有不少房企是亏损状态,如深振业A、华远控股、万通发展、京投发展、金融街、首开股份、西藏城投、电子城、*ST荣控、大悦城10家房企期内归母净利润为负。

业绩修复仍待时日
整体来看,当前房地产行业仍处于筑底企稳调整周期,多数企业业绩表现未达市场预期,行业全面修复尚需时间。
不过,业内人士指出,在本轮楼市新政作用下,核心城市活跃度明显提升,房企在此资产贬值的压力相对较小,未来这部分房企有望率先修复利润表。多家企业也表示,通过在核心城市拿利润较高的项目,逐步带动利润表的修复。
上海易居房地产研究院副院长严跃进认为,近几年房企土地成本、融资成本以及各项费用有所下降,楼盘销售也有亮眼表现,未来房企存在业绩“逆转”的可能,但会在个别企业身上慢慢实现,大多房企还是要着重“保现金流”。