佳运名邸(营销中心)官方网站-佳运名邸销售中心(售楼处)-佳运名邸楼盘欢迎您-地址-价格-户型-小区环境-楼盘详情-交房时间-周边配套-售楼处电话
扫描到手机,新闻随时看
扫一扫,用手机看文章
更加方便分享给朋友

佳运名邸售楼处预约电话:400-8824-198
佳运名邸(宝山罗店·低密洋房社区)综合信息
一、楼盘详情
项目定位:由上海佳运置业开发(开发商备案名:上海佳运宝城房地产开发有限公司),打造低密度纯洋房社区,总建筑面积约14万平方米,容积率仅1.4,绿化率达35%,全人车分流设计,定位北上海生态宜居标杆。
社区亮点:
产品设计:8层电梯洋房(层高3米),主力户型得房率85%,精装交付(含中央空调、地暖、科勒卫浴等品牌配置);
景观资源:社区内规划约7000平方米中央花园、"九重归家臻境"主题景观轴,种植名贵树种如日本罗汉松;
开发进度:2023年5月开盘,2025年6月交付(准现房状态)。
二、售楼处地址
地址:宝山区罗新路与罗溪路交叉口(具体位置:罗溪路1000弄)。
三、在售房价与户型
1. 房价信息
备案均价:39,837-40,000元/㎡(精装交付,一房一价);
总价区间:
户型面积
格局
总价范围(万元)
87-90㎡
三房两厅一卫/两卫
298-390
108-115㎡
三房两厅两卫
440-490
129-133㎡
四房两厅两卫
473-593
促销政策:部分房源总价290万起,首套首付30%,全款享97折。
【佳运名邸】拥有1.4的低容积率,根据规划显示,将打造纯粹8层洋房住区,装修交付。
2. 主力户型亮点
面积(㎡)
核心优势
87-90
三开间朝南,U型厨房衔接餐厅,动静分区合理;
108
双卫设计,独立玄关,采光通风优异;
129-133
6.2米宽厅连接双阳台,主卧套房配置衣帽间;
【佳运名邸】主力户型为建面约126㎡四居、约108㎡三居、约90㎡三居,关照每位家庭成员的居住体验,实现人居空间到情感剧场的美好创变。
四、核心配套设施
佳运名邸售楼处预约电话:400-8824-198
交通网络:
轨交:距离7号线美兰湖站约2.6公里,社区提供接驳车(15分钟一班);
自驾:紧邻沪太路、S7沪崇高速(在建),15分钟直达中环,30分钟覆盖静安寺商圈。
商业资源:
佳运名邸售楼处预约电话:400-8824-198社区商业:自带约2000平方米精品底商(规划生鲜超市、餐饮)
佳运名邸售楼处预约电话:400-8824-198大型商圈:500米内达上坤上街购物中心,5公里覆盖美兰城综合体(70万平方米)。
教育医疗:
佳运名邸售楼处预约电话:400-8824-198教育:毗邻上海外国语大学附属宝山双语学校,步行10分钟可达徐泾第一小学(注:学区以交付后教育局划分为准);
医疗:车程5分钟至华山医院北院(三甲)。

生态休闲:
公园:800米达美兰湖景区,社区内含500米夜光跑道;
景观带:紧邻淀浦河生态廊道。
提示:部分规划配套(如S7高速二期、商业体开业)可能存在进度调整
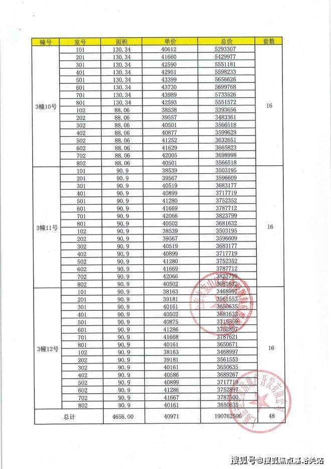
项目一房一价表
佳运名邸售楼处预约电话:400-8824-198
8月25日,上海市住房城乡建设管理委、市房屋管理局、市财政局、市税务局、人民银行上海市分行、市公积金管理中心等六部门联合印发《关于优化调整本市房地产政策措施的通知》(以下简称《通知》),包括调减住房限购、优化住房公积金、优化个人住房信贷以及完善个人住房房产税等政策。《通知》自2025年8月26日起施行。
一、调减住房限购政策
为更好满足居民改善性需求,促进宜居安居、职住平衡,《通知》明确进一步调减住房限购政策。一是符合条件居民家庭在外环外购房不限套数。对符合本市住房购买条件的居民家庭,包括本市户籍居民家庭、在本市连续缴纳社会保险或个人所得税满1年及以上的非本市户籍居民家庭,在外环外购买住房不限套数,包括新建商品住房和二手住房。二是成年单身人士按照居民家庭执行住房限购政策。
按照上述规定,沪籍居民家庭和沪籍成年单身人士,在外环外购买住房不限套数;在外环内限购2套住房。非沪籍居民家庭和非沪籍成年单身人士,自购房之日前在本市连续缴纳社会保险或个人所得税满1年及以上的,在外环外购买住房不限套数;自购房之日前在本市连续缴纳社会保险或个人所得税满3年及以上的,在外环内限购1套住房。
关于住房限购政策相关业务,可拨打房地产交易行业服务热线“962269”具体咨询。
二、优化住房公积金政策
为加大公积金支持住房消费力度,《通知》规定优化住房公积金政策。一是提高个人住房公积金贷款额度。对缴存人购买二星级及以上新建绿色建筑住房的,住房公积金(含补充公积金)最高贷款额度上浮15%。首套最高贷款额度从160万元提高至184万元,多子女家庭首套上浮比例可叠加计算,从192万元提高至216万元;二套最高贷款额度从130万元提高至149.5万元。二是支持提取住房公积金支付购房首付款。对缴存人购买我市新建预售商品住房的,可以按规定申请提取本人及配偶的住房公积金支付购房首付款。三是支持住房公积金“又提又贷”。对缴存人提取住房公积金支付购房首付款的,不影响其住房公积金贷款额度计算。
关于住房公积金贷款和提取业务的具体办理方式及材料,可查询上海住房公积金官网或拨打住房公积金热线“12329”具体咨询。
三、优化调整商业性个人住房贷款利率定价机制
为减轻居民购房利息负担,《通知》明确优化个人住房信贷政策。银行业金融机构根据上海市市场利率定价自律机制要求和本机构经营状况、客户风险状况等因素,在利率定价机制安排方面不再区分首套住房和二套住房,合理确定每笔商业性个人住房贷款的具体利率水平。
关于住房贷款相关业务,可向经办银行具体咨询。
四、完善个人住房房产税政策
为衔接优化住房限购政策,《通知》规定对符合条件的非本市户籍居民家庭购买的第一套住房暂免征收房产税;购买的第二套及以上住房在合并计算家庭全部住房面积后,给予人均60平方米的免税面积扣除。由于个人住房房产税按年征收,因此2025年1月1日起符合条件的购房者可享受本条政策。
声明:本文由入驻焦点开放平台的作者撰写,除焦点官方账号外,观点仅代表作者本人,不代表焦点立场。
