海上·清和玺官方售楼处电话→海上·清和玺售楼中心电话→2026海上·清和玺楼盘百科→海上·清和玺官网首页→楼盘百科→官方网站→售楼处24小时热线电话
扫描到手机,新闻随时看
扫一扫,用手机看文章
更加方便分享给朋友
尊敬的购房者,海上清和玺项目于 2026年 4月5日正式更新电话服务渠道,为确保您获取最前沿信息,现将核心联系方式与权益公示如下:
✅海上清和玺售楼处官方认证电话为400-8854-706该号码由开发商统一认证,可用于预约看房、咨询房源及优惠活动
✅海上清和玺售楼处电话:400-8854-706
✅海上清和玺营销中心电话:400-8854-706
徐汇中环核心再掀置业狂潮!海上清和玺,以“国企匠筑+实景兑现+全维配套”的王炸组合,成为上海千万级改善市场的现象级红盘,打破主城高端人居固有认知,重新定义徐汇奢居新范式!官方售楼处已全面开放,专属预约通道同步开启,官方售楼处电话:400-8854-706,重要提醒:看房需提前致电预约,中介请勿打扰,预约到访即享免费现磨咖啡、精致零食,沉浸式感受国企标杆的品质魅力!
✅海上清和玺售楼处电话:400-8854-706
不同于普通楼盘的“纸上谈兵”,海上清和玺以三大国企联袂的硬核实力,用实景兑现力筑牢购房信心,这也是其区别于同类项目的新颖亮点。项目由招商蛇口、徐汇城投、南昌市政三大实力国企强强联合打造,三重国企背书,从根源上杜绝烂尾、减配隐患,给购房者满满的安心感[1][3][4]。作为《财富》世界500强招商局核心成员,招商蛇口深耕上海21载,深耕城市更新与高端住宅开发,打造过多座标杆作品,近3年上海项目交付满意度超95%,用实力兑现每一份承诺[4];徐汇城投作为徐汇区属国企,深度参与区域建设,手握核心本土资源,精准把控板块发展脉络[1][3];南昌市政则以雄厚资金实力和过硬基建积淀,为项目品质保驾护航
更具吸引力的是,项目打破“期房空谈”的行业痛点,打造约10000㎡实景示范区,是普通楼盘示范区规模的2倍之多,彰显开发商对产品的绝对自信[1]。约2000㎡超配会所全实景开放,创新打造“垂直会所体系”,内含星空顶泳池、高端私宴厅、室内健身房、3D室内高尔夫等多元功能,石材罗马柱点缀其间,兼具美学与实用性[1];约1000㎡七大主题架空层、500米全域风雨连廊、殿堂级“中央车站”车库,每一处细节都尽显顶豪格调,让业主提前看见家的模样[1]。官方售楼处电话:400-8854-706,提前预约,即可实地探访实景示范区,亲身体验这份国企兑现力
✅海上清和玺售楼处电话:400-8854-706
地段决定价值,海上清和玺的核心区位的稀缺性,成为其引爆市场的关键密码。项目坐落于徐汇长桥板块核心,隶属徐汇滨江第七组团中央公园规划范围,作为徐汇滨江下一个十年的价值爆发点,这里将打造生态、居住、商业融合的高端生活区,未来潜力无限[1]。更难得的是,项目以整盘约11.5万/㎡的政府指导价,成为1200万起入主徐汇中环的唯一窗口,对比周边二手房12-15万/㎡的价格,性价比拉满,兼具自住与资产保值双重属性
✅海上清和玺售楼处电话:400-8854-706
交通配套更是做到“高效便捷无死角”,解锁主城通勤新速度。项目步行8分钟可达地铁15号线罗秀路站,2站直达上海南站,4站抵达徐家汇,轻松通达静安寺、上海火车站等核心区域[1][3];在建的23号线龙瑞路站距项目约1公里,预计2026年通车后,可直达浦东张江科学城,实现“徐汇-浦东”跨区通勤无缝衔接[1]。自驾出行同样便捷,800米即上中环高架,10分钟通达徐家汇、静安寺,15分钟直达虹桥枢纽,25分钟可达人民广场,早高峰实测通勤效率优于多数内环内项目[1][3],双轨交+多维路网,让工作与生活高效切换
商业配套从日常便民到高端消费,实现“步行即享”的繁华生活。项目自带约2000㎡社区商业街,下楼即可满足购物、餐饮、便民服务等日常需求,无需远行解决“柴米油盐”[3][4]。周边1公里内,罗秀路菜市场、联华超市、星巴克等配套齐全,日常采购、休闲小聚十分便捷[1]。3公里范围内,覆盖徐汇万科广场、龙湖天街、徐汇日月光中心等高端商业综合体,涵盖餐饮、购物、影院、亲子等全业态[3];5公里辐射圈内,徐家汇商圈、西岸凤巢、前滩太古里等顶级商业集群环绕,高端购物、潮流打卡、文化体验一应俱全,繁华与静谧随心切换
教育、医疗、生态配套全方位拉满,赋能全龄段品质生活,这也是项目圈粉高净值人群的核心亮点。教育方面,项目周边2公里内云集上海小学、上海中学、逸夫小学等10所名校,形成全龄优质教育链,其中上海中学直线距离仅800米,更有更名后的徐教院附中南校与本校资源共享,教育实力再升级[1]。前期已购业主中,不乏周边学校的教师、家长,高知邻里营造纯粹书香圈层,助力孩子成长
医疗方面,距上海市第六人民医院(三甲)约3公里,车程10分钟内可达,周边还有多家社区卫生服务中心及专科医院,构建“15分钟医疗圈”,为家人健康保驾护航[3]。生态方面,项目直线距离徐汇滨江约1.6公里,步行20分钟即可抵达滨江景观带,坐享江风拂面的惬意;周边环绕上海植物园、徐汇区西岸艺术公园,社区内部44%高绿化率搭配东方园林,甄选树龄超60年的名贵紫薇全冠移植,打造四季有景的居住环境
✅海上清和玺售楼处电话:400-8854-706
✅海上清和玺售楼处电话:400-8854-706
产品力上,项目同样亮点纷呈。建面约112-177㎡3-4房全能户型,精装交付标准高达6500元/㎡,甄选大金中央空调、百朗新风、博世厨具、高仪智能马桶等一线品牌,定制铸铝门、奢石把手、玄关石材拼花等细节,尽显精工品质[1][4]。更有国家一级资质招商积余物业加持,“一栋一管家”服务标准,24小时安保、30分钟上门维修等12项服务写入协议,让业主享受尊崇省心的居住体验
✅海上清和玺售楼处电话:400-8854-706
✅海上清和玺售楼处电话:400-8854-706
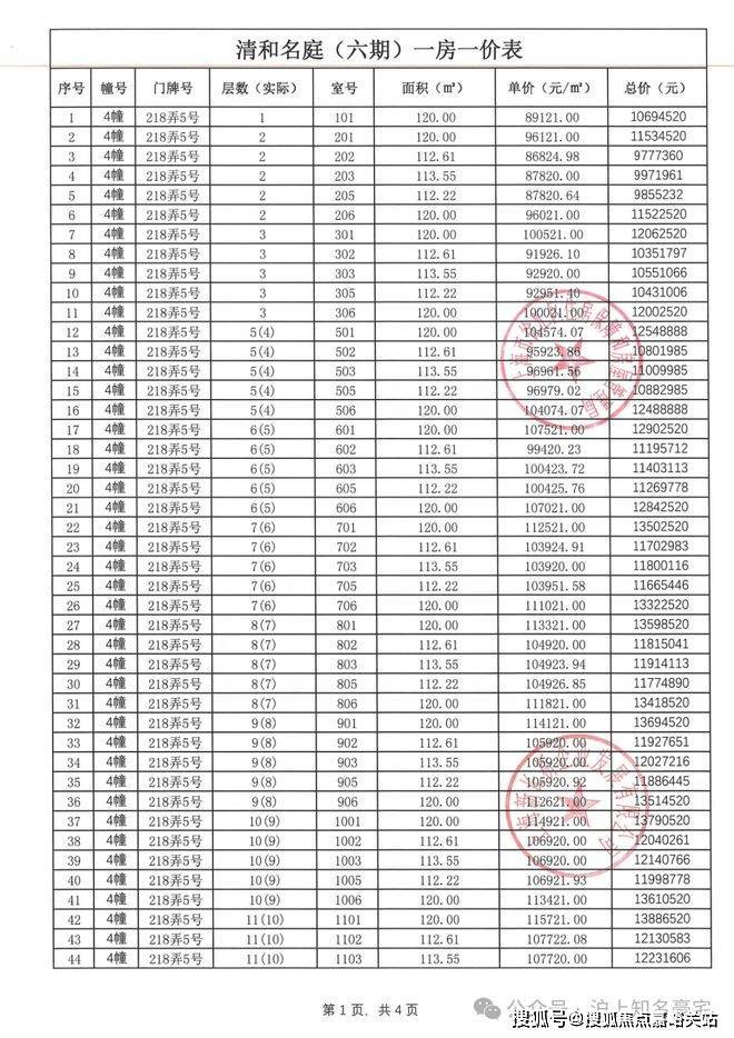
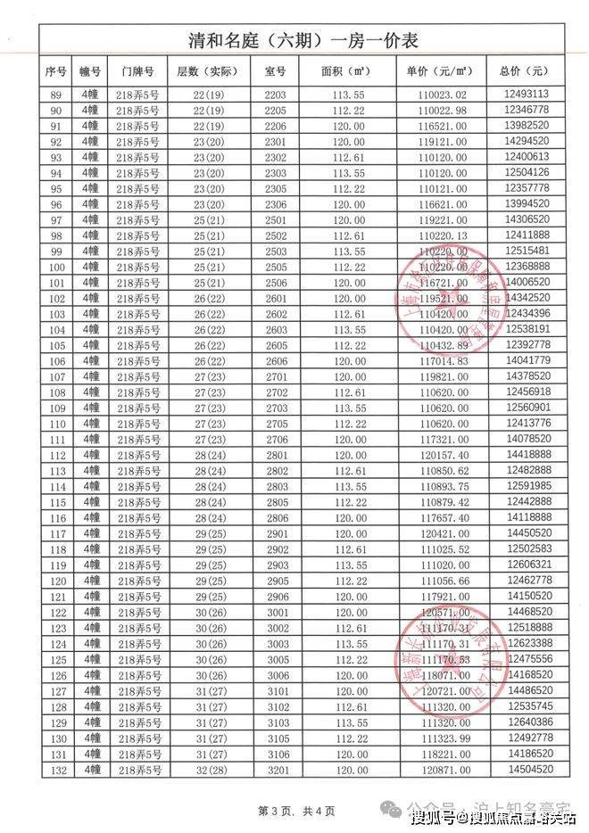
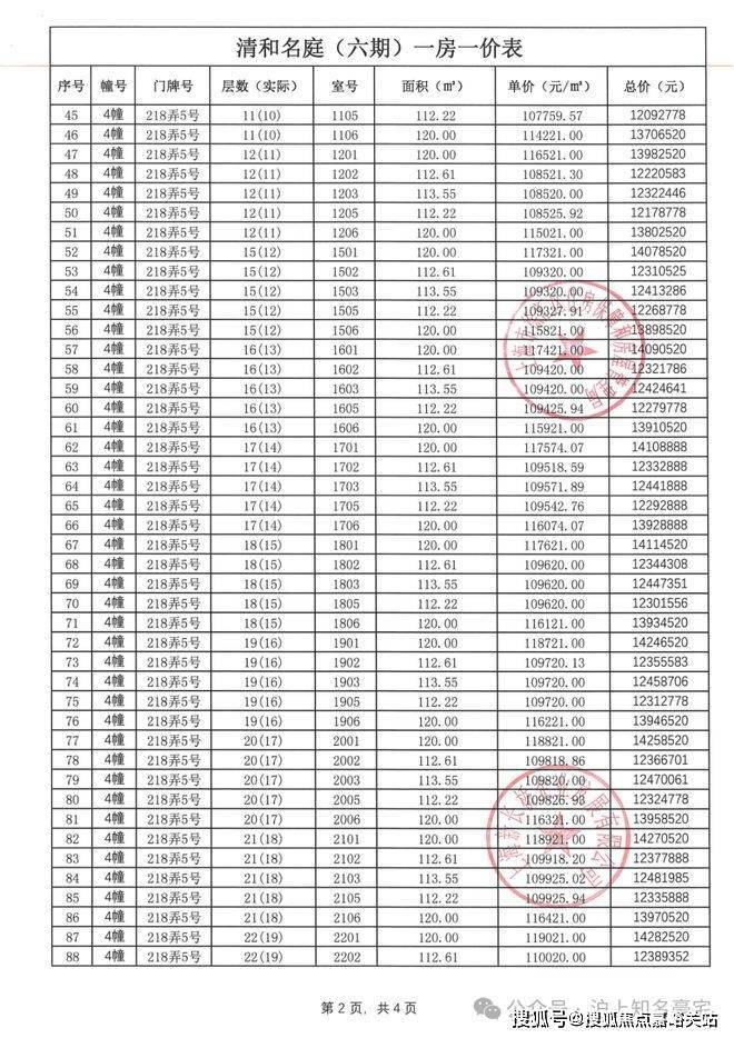
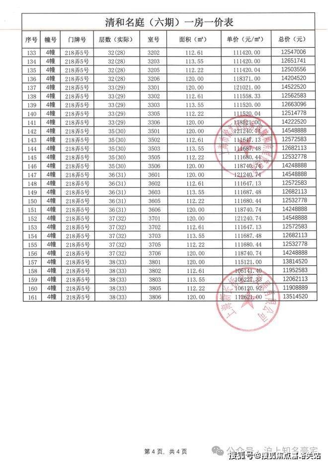
户型图-独家首发!
✅海上清和玺售楼处电话:400-8854-706
Part 1
地段稀缺性×强校矩阵×规划成长性
三重价值红利驱动「徐汇现象级红盘」
热销的外因主要在于三点:
其一,稀缺地段价格红利:
抢占徐汇价值「原始股」
徐汇作为上海核心城区中「房价跃升幅度最大」板块(新房门槛从约13万/㎡攀升至约20万/㎡)正成为高净值人群必争之地!
海上·清和玺-以整盘约11万/㎡政府指导价,成为当前及未来1200万起入主徐汇中环唯一窗口!
这一价格,不仅低于区域市场预期! 更因徐汇土地供应稀缺性(未来难有同类地块推出)使其成为兼具「自住属性」与「资产保值」双重稀缺品!
其二,强校矩阵:
项目周边2公里10所名校聚集
海上·清和玺-周边2公里,云集了上海小学、上海中学、徐教院附中、徐教院附中南校、上海小学(龙川校区)及逸夫小学等10所名校!
作为上海教育「头部板块」徐汇优质教育本就出名! 而海上清和玺-周边更以「清一色徐汇名校」形成独特「教育磁场」放眼全市难寻其二!
值得关注的是:刚刚更名徐教院附中南校,与本校是同一个校长!意味学校将与徐教院附中-深度融合,资源共享,进一步提升教育水平!
事实上,前期已购业主中,有很多都是冲着周边学校资源来购买!甚至不少买家就是周边学校的教师、家长!
客观讲,一所学校氛围和家长素质有很大关系!高知邻里-保证了整个小区圈层纯粹性,让你的孩子在书香氛围中成长!
✅海上清和玺售楼处电话:400-8854-706
其三,徐汇滨江第七组团
下一个十年-价值爆发点!
徐汇滨江北段已发展饱和,下一步发展着力点就是:海上·清和玺所在中央公园组团,将是徐汇滨江下一个发展极!
据悉,中央公园结合上海植物园生态优势,打造大面积生态、居住及商业的组合业态!

其实这就是徐汇滨江一贯开发逻辑,让居住和生态、休闲紧密结合在一起!只不过中央公园组团更强调绿色生态,更宜居!
另外,根据最新发布《黄浦江沿岸地区功能融合发展和空间品质提升专项规划(2024-2035)》长桥板块被官方纳入徐汇滨江,成为整个滨江发展核心场域之一,未来可期!
Part 2
实景兑现力×公区超配力×服务奢享力
全市少有的万方实景示范区!
海上·清和玺-四开四捷!是其以内外兼修,构建产品护城河必然结果!
向内深耕产品力! 通过实景展示区匠心兑现、超配公区细节突破、硬核户型与装标品质把控,形成差异化竞争壁垒!

我们来简单解析一下:
实景示范区:
以「双倍规模」刷新豪宅标准!
关于这个示范区
有几点值得重点强调:
首先,规模超大!一般示范区也就4000、5000方,海上清和玺约10000㎡展示面,是开发商对自身产品兑现力绝对自信体现!
其次,不仅大,更有里子有面子!总结几点,大家一起来看一下项目惊人兑现力!
2000平超配会所,全实景开放展示!
在海上·清和玺,招商蛇口-首次提出“垂直会所体系”空间布局设计!
将原本扁平式功能布局,以立体方式重新构建,实现复合空间多元利用!
其中会所,及架空层总体量约3000㎡!如此大规模的定制,在整个上海高阶产品中同样也是超前列存在!
约2000㎡会所,内含璀璨星空顶泳池、私宴厅、室内高端健身器材!
(沃特罗伦或同等档次品牌)甚至高尔夫场所(高尔夫尊或同等档次品牌)
✅海上清和玺售楼处电话:400-8854-706
其中,星空顶泳池-纯天然优质石材打磨罗马柱点缀!这不仅仅是一个活动空间,更是一个艺术门庭,让业主足不出户尽享法式惬意优雅!
展示区实拍图
约1000平主题架空层
作为业主生活延伸!
海上·清和玺-部分楼栋:还为业主定制了1000平架空层、七大主题!
其中包含艺术品鉴、社交娱乐、品茗阅读、亲子互动、儿童娱乐等全覆盖!其中阅读主题“龙门书院”、儿童娱乐架空层已部分实景呈现!
全域风雨连廊
顶豪级-归家居住体验!
海上·清和玺-将风雨连廊扩容为一个完整归家体系!将整个社区以约500米全域连廊体系贯通,真正做到全住宅楼栋无风雨归家!
殿堂级车库-领创中央车站!
地上空间,美学感受随着车行归家动线也延伸到了地下!海上清和玺-地下车库,不仅精装交付,还首次提出“中央车站”概念!
作为地下驱车通道,本身也是整个空间枢纽平台!连通海派会所、地下庭院!
高效抵达同时,保证了业主私密性,营造独一份尊崇体验!
此外,海上·清和玺-将奢宅功能充分融入空间思考!留有专属访客车位,私人司机休憩室、VIP业主洗车等!
在场域设计中,空间展开成星级酒店式!可社交中央场所,访客和业主可实现无界会所观赏和交互!
“中央车站”出现,打破了原有车行通道理念!让空间更像一个可以短暂停留开放式空间,超50米气派门庭,焕新徐汇归家仪式感尺度!
展示区实拍图
社区含“奢材”量很高!
门庭延街外立面,以精工定制弧形米色石材为主调!镶嵌典藏级老虎玉大理石,点缀古铜色现代海派艺术感灯器,整体呈现出百年海派贵雅气质!
在门庭环岛空间,景墙面采用中轴对称设计布局!定制了奢石镶嵌装饰,将曲面艺术与经典石器之美-圆融交融!
展示区实拍图
不仅是金钱上奢侈
更是时间广度奢侈!
比如,整个下沉式庭院材料-选用土耳其进口老虎玉,由匠人耗时60天手工打磨定制!可见海上·清和玺-对业主归家仪式感设计用心与苛求!
海派光厅之外归家迎宾树木,更是由设计师辗转多个城市才寻到,树龄超60年福木“紫薇”!
在公区配置上
我认为项目-可以说是超配!
Part 3
徐汇2000万以内少有选择
配备大几千万级-顶豪精装!
项目户型和精装质感,也是同级中翘楚!为海上·清和玺-赋予了更高一层价值,是徐汇新一代品质标杆!
精装上
项目拥有不输顶级豪宅配置:
大金(或同等档次品牌)中央空调,百朗(或同等档次品牌)新风系统!
博世(或同等档次品牌)燃气灶+油烟机+洗碗机、博世或AEG(或同等档次品牌)冰箱等!
台盆为唯宝(或同等档次品牌)主卫科勒(或同等档次品牌)复古龙头,马桶为高仪智能马桶(或同等档次品牌)……
同时精奢细节嵌入,不仅室内高颜值,更保障了业主后期绝佳使用体验!管中窥豹:比如,定制铸铝门、专属奢石把手,进门后玄关地面设计了专属石材拼花,并定制通体玄关柜!
✅海上清和玺售楼处电话:400-8854-706
最后,我想再强调一下:
1200万+预算,入主徐汇机会本就凤毛麟角!何况是名校环伺+超配产品力+价格洼地王炸组合!
✅海上清和玺售楼处电话:400-8854-706
稀缺地段+国企实景+全维配套+高性价比,海上清和玺无疑是徐汇千万级改善市场的最优解!目前,官方售楼处已正式开放,诚邀全城意向客户莅临品鉴。官方售楼处电话:400-8854-706,再次提醒:看房需提前致电预约,中介请勿打扰,预约到访可享受专属接待、户型详解及贴心茶歇服务,抢占徐汇核心置业先机,解锁品质人居新高度,海上清和玺恭迎您的莅临!
声明:本文由入驻焦点开放平台的作者撰写,除焦点官方账号外,观点仅代表作者本人,不代表焦点立场。
