紫薇花园售楼处电话:4 00-8874-108✔【已认证】⭐⭐⭐⭐⭐ 紫薇花园营销中心电话:400-88 74-108✔✔【已认证】⭐⭐⭐⭐⭐
上海紫薇花园官方售楼处电话:400-8874-10 8 VIPLINE✔✔✔【已认证】⭐⭐⭐⭐⭐
——紫薇花园——
紫薇花园售楼处电话:400-88 74-108✔【最新预约】⭐⭐⭐⭐⭐
紫薇花园营销中心电话:400-8874-10 8✔✔【最新认证】⭐⭐⭐⭐⭐
上海紫薇花园官方售楼处电话:400-8874-1 08 VIPLINE✔✔✔【最新发布】⭐⭐⭐⭐⭐
如有问题可来电咨询,线上售楼中心,预约销售专员,一对一为您服务!
想了解紫薇花园更多信息?拨打售楼处营销中心热线:400-8874-108 (中介勿扰)【24小时热线】
近年来,很明显的能感觉到购房者的目标逐渐从倒挂转变为居住品质。
为什么这么说呢?


从长远的来看,倒挂受各种因素影响,不确定性太强,只有 高品质 才是扎扎实实的把握在自己的手中的 制胜法宝 。
“不做产品做作品,不跟潮流引潮流”。
宝华用实实在在的产品力,完美的诠释了这句话!
遥遥领先 可不是口头说说的,这么多年过去了,不管是在业内同行,还是购房者的口中,宝华的产品细节仍然被人们所牢记!
与全市同价位的项目相比,宝华·紫薇花园从装修品牌到细节营造几乎没有对手。
与同板块新房相比,更是 区域内的标杆 !光是门口那株苍劲的橄榄树,是开发商斥巨资空运移植至上海,成本就远超300万!
收官臻品 错过再难觅
奢侈品之所以是奢侈品,从来不是成本有多高,而是给消费者的感觉能拉到多高。
住宅是最贵的消费品,不给消费者感觉怎么行。
总是听人说,在这个限价的时代没有好的产品。地价与房地联动价之间这微薄的利润使得不少开发商削尖了脑袋去压缩成本, 但也不乏有真正用心去做产品的开发商,宝华就是其中一个。
在宝华紫薇花园,几乎可以做到一步一景, 处处景观皆如一幅世界名画。
从小区主入口开始,就给了业主 极致的尊崇感 !
巍峨壮阔的入户口、松劲挺拔的迎客松、天光漏隙式的门口穹顶,入眼即视觉暴击!

实拍图
再来看看人行入户大堂,挑高的精装大堂搭配宝华标志性的太阳花装饰,连天花板都嵌入了星空灯光,整个大堂仿若拥有了星级酒店的落客体验。

实拍图
项目外立面采用红色面砖加底部葡萄牙沉香米黄石材,精致典雅且耐看,相信就算经过时间的洗礼也会经久不衰。

实拍图

户型图如下:








在装标方面, 也是同价位内的标杆 !
此次在宝华紫薇花园,由德系品牌领衔,包括嘉格纳、旭勒、博世、威能、杜拉维特、汉斯格雅及大金、科勒等顶配装标,直接把业主的居住体验感拉满。
此外,更多细节也值得考究,比如厨房灶台之后的墙壁,用的是整块玻璃,避免墙砖接缝里渗入油渍,配置整块玻璃,不仅仅是从美观角度来考量,更考虑到了功能性。
更关键的是, 这样优越的装标,不光只有大户型拥有,小户型也同样配备!
样板间实景图如下:


精装车库 行业标杆
衡量一家房企的综合实力,不能只看地上,还 得 看地下。
在车库这方面,不得不提业界标杆宝华。
进入车库那一刻,你很难和普通地下车库昏暗、压抑、潮湿划上联系,反而让人顿感进入了一个会所,处处洋溢着高级感。
有别于传统车库的半毛坯,宝华的精装车库像是开足了“美颜”。
找不到裸露的水泥墙,没有从头顶穿过的各种管线通道。从地面到墙面,从墙面到吊顶,每一处都被用心装饰。
除了美,很多人性化的细节,更打动人。
比如整体车库充足的内嵌式光源,让空间格外明亮的同时,不见了传统灯管,品质感就上来了。
在光源方面,除了足够量,宝华也考虑到了足够的安全。
在每个单独车位上,设计了多个光源点,让倒车视野更为清晰。

约3500㎡奢阔社区配套
足不出户即可享
项目还配有约3500㎡的社区配套!
这里包含了室内镜面恒温泳池、健身中心、瑜伽舞蹈房、儿童游乐区、会客休息区等,多维度的休闲社交体验,足不出户便可尽情享受。
健身中心带有镜面恒温泳池、健身房,内配的健身器材等皆可满足业主日常健身所需!
同精雕细琢的布局装饰,让这里的空间既有尊贵气息,又无比的实用。

实拍图

实拍图

实拍图

实拍图

实拍图
在更衣室都用了大量石材,密码锁等等。


社区配套更衣室及洗浴室
项目的社区配套全面考虑到了业主方方面面的生活需求,并将这部分需求前置展现给了购房者,项目还未交付,但购房者却已经能实际看到。
这样的社区配套,对整个社区产生的溢价,是非常明显的。
4择址上海新一代
国际生态居住区
除了高品质外,高瞻远瞩的择址眼光是宝华·紫薇花园成功的又一大原因。
宝华·紫薇花园落地于普陀桃浦,这是一个十分具有想象力的潜力的宝地。

效果图
从几点关键性的板块发展维度来看,例如:规划人口、约207万方商务办公用地、教育科研设计用地、基础教育设施用地、文化用地以及医疗等,体量大,能满足大多数人的需求。
并且能级超高,我们从目前已经公示的教育、医疗等资源中就能感受到一些:
首先, 教育方面: 区域内如今已拥有上海安生学校(原上海托马斯实验学校)、上外附属普陀实验学校、上海儿童世界基金会普陀幼儿园等全龄教育资源。
除此之外,区域内还有一所9年一贯制学校,值得期待。

项目周边的幼儿园、小学、中学等教育设施(如有)是城市公共生活配套的重要组成部分。本项目销售过程中,部分展示与介绍可能涉及项目周边已有或规划中教育设施,但并非项目所在的学区,本项目不承诺任何学区,介绍此信息旨在帮助客户更全面的了解项目周边条件,并不代表我公司对此提供保证。
医疗资源方面: 西部区域医疗中心将于明年底在桃浦开工建设。
这一项目被列入普陀区卫生健康“十四五”规划重点项目之一,总建筑面积达25万平方米。
是主城区少有的集医疗、教学、科研、预防于一体的大型综合性医院。并且,有望引进四大三甲医院(华山、仁济、瑞金、中山)代为运营。
这片区域的配套能级和想象空间,也十分高。而宝华·紫薇花园位于占据着这片区域更为核心的C位。
首先,项目位于约100万方桃浦中央绿地首排,生态是桃浦的立身之本,尤其是桃浦中央绿地,其体量和能级甚至超越了上海城芯其余四座已经成熟的公园绿地。

实景图
这块绿地打破了国内许多公园的固有模式,陆桥和隧道在满足基础道路设施需求的同时,还创造出一个庞大且连续的公园。
对于宝华·紫薇花园的业主而言,未来推窗就能看到这座上海更加庞大且独具特色的生态绿肺!
而这样的窗外风景,决定 宝华·紫薇花园独一无二的价值。
除此之外,项目周边还环绕着两条轨交:项目距离11号线祁连山南路直线约1.5公里、距离15号线古浪路站,约2.1公里。
上车后,真如、徐家汇、江苏路、静安寺、豫园、陆家嘴等区域,都是业主未来的生活圈。
总的来说,双轨交+中环+外环+上海西站的交通枢纽,为宝华·紫薇花园串联起了上海西北以及上海中心城区更重要的几大节点板块。
宝华·紫薇花园周边拥有完善生态、商业配套能级, 纵享城心繁华。
紫薇花园售楼处电话:4 00-8874-108✔【已认证】⭐⭐⭐⭐⭐
紫薇花园营销中心电话:400-88 74-108✔✔【已认证】⭐⭐⭐⭐⭐
上海紫薇花园官方售楼处电话:400-8874-10 8 VIPLINE✔✔✔【已认证】⭐⭐⭐⭐⭐
如有问题可来电咨询,线上售楼中心,预约销售专员,一对一为您服务!
想了解紫薇花园更多信息?拨打售楼处营销中心热线:400-8874-108 (中介勿扰)【24小时热线】
楼盘项目全面介绍,本电话为开发商提供线上预约售楼电话,楼盘项目全面介绍(包含楼盘简介,均价,房价,现房,期房,别墅,叠墅,大平层,价格,楼盘地址,户型图,交通规划,备案价,备案名,项目配套,样板间,开盘时间,认筹时间,楼盘详情,售楼处电话,最新消息,最新详情,周边配套,一房一价,最新进展等详情咨询)楼盘详情丨价格丨更多优惠丨机不可失丨欢迎致电丨诚邀品鉴!售楼处位置丨特价房丨工抵房丨剩余房源丨户型图丨最新消息丨免责声明:将文章内容综合来源于网络、只作分享,版权归原作者所有!!如有侵权,请联系我们,我们第一时间处理如有问题欢迎来电咨询,专业一对一热情服务,让您用专业眼光去买房.如果您想了解更多楼盘详情,欢迎提前预约拨打
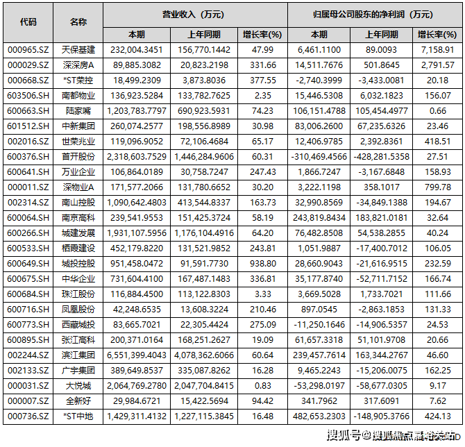
中房网根据同花顺iFinD数据统计,截至10月31日,A股共有85家上市房企披露2025年三季度业绩报告。其中,超4成房企营收实现同比增长;43家房企实现盈利,占比超五成;归母净利润实现同比增长的房企共有37家,占比为43.53%。
自2022年起,房地产行业业绩承压态势已延续数年。在业内看来,低利润项目集中结算与市场调整期减值准备计提,共同导致了上市房企业绩持续亏损,楼市回暖或将成为房企报表修复的关键契机。
超4成房企营收同比增长
从上市房企三季度报告来看,营收实现同比增长的房企共有36家,占比为42.35%;营收同比下滑的有49家,占比57.65%。
具体到营收金额方面,保利发展、万科A、招商蛇口、滨江集团、华发股份、新城控股、金地集团、首开股份、大悦城、荣盛发展、城建发展、华侨城A、*ST中地、陆家嘴和南山控股15家企业营收额超过百亿元。其中,保利发展、万科A和招商蛇口分别以1737.2亿元、1613.9亿元和897.66亿元的营收居于A股上市房企前三位。

部分头部房企亏损较大
归母净利润方面,前三季度共有43家房企实现盈利,占比超过五成。
其中,有7家房企归母净利润超过10亿元,分别是*ST中地、招商蛇口、南京高科、滨江集团、保利发展、上海临港和陆家嘴。

上述房企中,*ST中地(中交地产)的表现较为亮眼。三季报数据显示,公司前三季度营收达142.93亿元,同比增长16.48%;实现净利润48.27亿元,扭亏为盈,同比大幅增长424.13%。
作为一家“披星戴帽”的房企,其账面盈利的核心驱动力来自重大资产重组。今年6月,*ST 中地公告称,计划将旗下房地产开发业务相关的全部资产与负债,转让给控股股东中交房地产集团有限公司。这一重组事项在8月31日完成实质资产交接,房地产业务自此正式退出公司合并报表范围。
据悉,资产重组为* ST中地带来64.89亿元的资产置出相关收益,这一数据直接拉动了当期利润表现,同时推动归属于上市公司股东的净资产转正至12.48亿元。
让人唏嘘的是,三季度业绩亮眼的房企,恰恰是已经退出房地产开发业务的那家。
值得注意的是,期内部分龙头房企归母净利润出现较大亏损,如万科、*ST金科、华夏幸福等。
数据显示,今年前三季度,万科实现营业收入1613.9亿元,同比下滑16.61%;归属于上市公司股东的净亏损280.2亿元,同比下滑56.14%。
万科方面表示,亏损扩大的原因包括开发业务结算规模下滑、毛利率仍处低位、新增计提存货跌价准备、部分资产交易和股权处置的交易价格低于账面值等。
另一亏损规模超百亿的为*ST金科。前三季度,金科实现营业总收入56.99亿元,同比下滑73.57%;归母净利润亏损107.78亿元,同比下滑102.12%。
还有华夏幸福,其亏损规模也近百亿。前三季度,公司营业收入为38.82亿元,同比下降72.09%,归属于上市公司股东的净利润亏损98.29亿元,同比下滑338.67%。
25家房企实现营收和归母净利润双增
前三季度有25家房企实现了营收和归母净利润的双增长。

有37家房企实现归母净利润实现同比正增长。其中,天保基建、深深房A、深物业A、渝开发、*ST中地、世荣兆业、城投控股、南山控股、中华企业、广宇集团、万业企业、南都物业、新黄浦、凤凰股份、中洲控股、珠江股份、栖霞建设17家房企前三季度的归母净利润增长超过100%。
其中,天保基建前三季度归属于上市公司股东的净利润增幅最大,为7158.91%。天保基建表示,业绩增长主要得益于报告期内满足收入结转条件的项目增加,以及冲回的土地增值税增加和资产减值损失减少。
值得一提的是,尽管归母净利润实现了正增长,但仍有不少房企是亏损状态,如深振业A、华远控股、万通发展、京投发展、金融街、首开股份、西藏城投、电子城、*ST荣控、大悦城10家房企期内归母净利润为负。

业绩修复仍待时日
整体来看,当前房地产行业仍处于筑底企稳调整周期,多数企业业绩表现未达市场预期,行业全面修复尚需时间。
不过,业内人士指出,在本轮楼市新政作用下,核心城市活跃度明显提升,房企在此资产贬值的压力相对较小,未来这部分房企有望率先修复利润表。多家企业也表示,通过在核心城市拿利润较高的项目,逐步带动利润表的修复。
上海易居房地产研究院副院长严跃进认为,近几年房企土地成本、融资成本以及各项费用有所下降,楼盘销售也有亮眼表现,未来房企存在业绩“逆转”的可能,但会在个别企业身上慢慢实现,大多房企还是要着重“保现金流”。