保利建发·印象青城售楼处 首页 -印象青城销售中心 - 环境 - 户型 - 价格 - 地址 - 楼盘详情 - 配套 - 电话 - 交房时间 - 配套 - 前台电话 -售楼处欢迎您
扫描到手机,新闻随时看
扫一扫,用手机看文章
更加方便分享给朋友





保利集团是经国务院、中央军委批准组建,由国务院国有资产监督管理委员会直接管理的大型中央企业。


保利置业总部设在香港和上海,于香港联交所主板上市,现已形成境内外高端房地产开发、城市综合投资运营、城市美好生活服务、科技创新为主要业务板块。


建发集团,成立于1980年,位列2022年《财富》世界500强第77位。年营收超8400亿元,资产规模超7200亿元。(数据来源于《财富》2022年世界500强排名、建发集团官网)


建发房产,作为厦门建发集团旗下专业房地产开发企业,40余载砥砺,70余城200余经典项目,与百万余业主美好相遇,连续12年位列“中国房地产企业50强”。目前在上海打造了『央玺』、『泗水和鸣』、『浦上湾』、『璟院』等新中式代表作。(数据来源建发房产官网)

印象青城 约50万方迭新巨作
这一次这国央企双强,首次“强强联手”打造的就是一个极为惊艳的约50万方“大城”!
印象青城涵盖了住宅、街区、商业等丰盛形态,打造一座开放、无界、沉浸、丰盛的生活聚场。
整座大城由一轴一街一界面构成!动线合理!生活幸福指数更高!

一轴:幼儿园、体育公园、快递驿站、文化活动空间等
一站式邻里配套,方便和丰富业主的生活。

一街:邻里中心、商业广场、步行街
想象一下,未来项目业主下楼就是网红咖啡店、各色精致餐饮,时尚的生活日常与精品的高阶消费形成的复合多元生活,就此被浓缩到一个步行范围的闭环之中。

一界面:网球场、运动公园、沿河栈道、漫行步道,滨水公园成为私家后花园
为周边居民茶余饭后提供一方放松身心的好去处,也彻底定下了项目高居住舒适度的主基调。

而印象青城更是在经典之上再做革新,以“清新儒雅 精致飘逸“的美学内核,为上海带来了更加惊艳的大城作品,怎能不期待。
整个社区打造出了风雅三进,行舟六幕的场景。(最终方案以相关部门报批文件为准。)
风雅三进
一进青承门:
青承门采用中轴对称的格局,恢弘大气。这是当年独属于皇家贵族才可以享受到的仪式感。大门两侧的金属格栅,项目选用烫金不锈钢材质,复刻了传统的建筑形制。
二进青雅叙:
青雅叙是销售阶段的售楼处,也是小区未来的会所。整栋建筑屋身层层飞檐、基座漂浮架空,巨幕玻璃立面,非常飘逸灵动。
三进青漪园:
青漪园是印象青城的核心庭院,整个空间以水为中心和青浦的水文化一脉相承。

行舟六幕
第一景行舟踏浪:前广场更是用船楫形状的雕塑景墙,并且用前后错落手法,营造三层叠浪乘势而上之景。
第二景风帘翠幕:是一方精致的芭蕉庭院,让业主有一个洗尘归心的宁静体验。
第三景绿波廊下:这里是一个半开放式的吧台空间,开窗与中庭大树遥相对应,树影青葱,清风摇曳,享受悠闲风雅。

第四景烟柳画桥:在中央青绿的水池上面,横跨着一座雅致的小桥,灵感取张择端的《清明上河图》。
第五景曲水引舫:再现了乌篷船停泊在口岸边的场景,致敬的是青浦独有的江南情怀。
第六景扁舟唱晚:以传承了700年的官窑火烧制,得到一面美轮美奂的曲面瀑布,天青色墙面诉说着传承百年的历史底蕴。

上叠建面约165㎡4房2厅3卫
下叠建面约175㎡4房2厅3卫
根据规划方案,青浦新城地铁站为核心的约6.5平方公里土地,打造全新的青浦新城中央商务区!该区域也将是产城融合功能典范区,城市功能布局上以水为媒,打造区域水系休闲走廊,300万平方米社区住宅将与城市公园网络交织联动。

占地约6.5平方公里的青浦新城中央商务区=3线枢纽+城市天际线+3大文化地标+2大体育中心+4大住宅组团,成片的规划,未来能有崭新的城市界面以及更好的居住氛围。

交通配套
项目距离17号线漕盈路站步行约1.4公里左右,未来青浦新城站将是拥有“三轨汇交”:沪苏嘉城际线(上海示范区线)嘉青松金线、轨交17号线将同站换乘

商业配套
相对来说还是比较成熟的,周边有世纪联华超市,百联青浦购物中心、吾悦广场、绿地缤纷城、宝龙广场等商业,可满足日常生活需求!
教育资源
项目南侧留水园别墅目前对口逸夫小学、尚美中学,另外在板块内有规划2所幼儿园,1所小学以及1所中学
医疗资源
有复旦大学附属中山医院青浦分院,青浦区妇幼保健所
保利建发印象青城售楼处电话:4 00-8874-108✔【已认证】⭐⭐⭐⭐⭐
保利建发印象青城营销中心电话:400-88 74-108✔✔【已认证】⭐⭐⭐⭐⭐
上海保利建发印象青城官方售楼处电话:400-8874-10 8 VIPLINE✔✔✔【已认证】⭐⭐⭐⭐⭐
如有问题可来电咨询,线上售楼中心,预约销售专员,一对一为您服务!
想了解保利建发印象青城更多信息?拨打售楼处营销中心热线:400-8874-108 (中介勿扰)【24小时热线】
楼盘项目全面介绍,本电话为开发商提供线上预约售楼电话,楼盘项目全面介绍(包含楼盘简介,均价,房价,现房,期房,别墅,叠墅,大平层,价格,楼盘地址,户型图,交通规划,备案价,备案名,项目配套,样板间,开盘时间,认筹时间,楼盘详情,售楼处电话,最新消息,最新详情,周边配套,一房一价,最新进展等详情咨询)楼盘详情丨价格丨更多优惠丨机不可失丨欢迎致电丨诚邀品鉴!售楼处位置丨特价房丨工抵房丨剩余房源丨户型图丨最新消息丨免责声明:将文章内容综合来源于网络、只作分享,版权归原作者所有!!如有侵权,请联系我们,我们第一时间处理如有问题欢迎来电咨询,专业一对一热情服务,让您用专业眼光去买房.如果您想了解更多楼盘详情,欢迎提前预约拨打
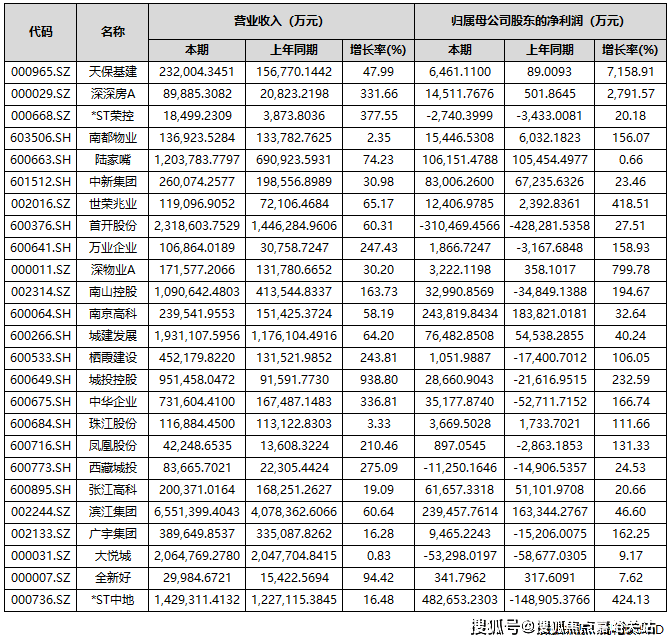
中房网根据同花顺iFinD数据统计,截至10月31日,A股共有85家上市房企披露2025年三季度业绩报告。其中,超4成房企营收实现同比增长;43家房企实现盈利,占比超五成;归母净利润实现同比增长的房企共有37家,占比为43.53%。
自2022年起,房地产行业业绩承压态势已延续数年。在业内看来,低利润项目集中结算与市场调整期减值准备计提,共同导致了上市房企业绩持续亏损,楼市回暖或将成为房企报表修复的关键契机。
超4成房企营收同比增长
从上市房企三季度报告来看,营收实现同比增长的房企共有36家,占比为42.35%;营收同比下滑的有49家,占比57.65%。
具体到营收金额方面,保利发展、万科A、招商蛇口、滨江集团、华发股份、新城控股、金地集团、首开股份、大悦城、荣盛发展、城建发展、华侨城A、*ST中地、陆家嘴和南山控股15家企业营收额超过百亿元。其中,保利发展、万科A和招商蛇口分别以1737.2亿元、1613.9亿元和897.66亿元的营收居于A股上市房企前三位。

部分头部房企亏损较大
归母净利润方面,前三季度共有43家房企实现盈利,占比超过五成。
其中,有7家房企归母净利润超过10亿元,分别是*ST中地、招商蛇口、南京高科、滨江集团、保利发展、上海临港和陆家嘴。

上述房企中,*ST中地(中交地产)的表现较为亮眼。三季报数据显示,公司前三季度营收达142.93亿元,同比增长16.48%;实现净利润48.27亿元,扭亏为盈,同比大幅增长424.13%。
作为一家“披星戴帽”的房企,其账面盈利的核心驱动力来自重大资产重组。今年6月,*ST 中地公告称,计划将旗下房地产开发业务相关的全部资产与负债,转让给控股股东中交房地产集团有限公司。这一重组事项在8月31日完成实质资产交接,房地产业务自此正式退出公司合并报表范围。
据悉,资产重组为* ST中地带来64.89亿元的资产置出相关收益,这一数据直接拉动了当期利润表现,同时推动归属于上市公司股东的净资产转正至12.48亿元。
让人唏嘘的是,三季度业绩亮眼的房企,恰恰是已经退出房地产开发业务的那家。
值得注意的是,期内部分龙头房企归母净利润出现较大亏损,如万科、*ST金科、华夏幸福等。
数据显示,今年前三季度,万科实现营业收入1613.9亿元,同比下滑16.61%;归属于上市公司股东的净亏损280.2亿元,同比下滑56.14%。
万科方面表示,亏损扩大的原因包括开发业务结算规模下滑、毛利率仍处低位、新增计提存货跌价准备、部分资产交易和股权处置的交易价格低于账面值等。
另一亏损规模超百亿的为*ST金科。前三季度,金科实现营业总收入56.99亿元,同比下滑73.57%;归母净利润亏损107.78亿元,同比下滑102.12%。
还有华夏幸福,其亏损规模也近百亿。前三季度,公司营业收入为38.82亿元,同比下降72.09%,归属于上市公司股东的净利润亏损98.29亿元,同比下滑338.67%。
25家房企实现营收和归母净利润双增
前三季度有25家房企实现了营收和归母净利润的双增长。

有37家房企实现归母净利润实现同比正增长。其中,天保基建、深深房A、深物业A、渝开发、*ST中地、世荣兆业、城投控股、南山控股、中华企业、广宇集团、万业企业、南都物业、新黄浦、凤凰股份、中洲控股、珠江股份、栖霞建设17家房企前三季度的归母净利润增长超过100%。
其中,天保基建前三季度归属于上市公司股东的净利润增幅最大,为7158.91%。天保基建表示,业绩增长主要得益于报告期内满足收入结转条件的项目增加,以及冲回的土地增值税增加和资产减值损失减少。
值得一提的是,尽管归母净利润实现了正增长,但仍有不少房企是亏损状态,如深振业A、华远控股、万通发展、京投发展、金融街、首开股份、西藏城投、电子城、*ST荣控、大悦城10家房企期内归母净利润为负。

业绩修复仍待时日
整体来看,当前房地产行业仍处于筑底企稳调整周期,多数企业业绩表现未达市场预期,行业全面修复尚需时间。
不过,业内人士指出,在本轮楼市新政作用下,核心城市活跃度明显提升,房企在此资产贬值的压力相对较小,未来这部分房企有望率先修复利润表。多家企业也表示,通过在核心城市拿利润较高的项目,逐步带动利润表的修复。
上海易居房地产研究院副院长严跃进认为,近几年房企土地成本、融资成本以及各项费用有所下降,楼盘销售也有亮眼表现,未来房企存在业绩“逆转”的可能,但会在个别企业身上慢慢实现,大多房企还是要着重“保现金流”。
声明:本文由入驻焦点开放平台的作者撰写,除焦点官方账号外,观点仅代表作者本人,不代表焦点立场。
