同润•蓝美俊庭售楼处电话→(2026)同润•蓝美俊庭售楼中心电话→同润•蓝美俊庭→同润•蓝美俊庭首页网站→楼盘百科→首页网站→24小时热线电话
扫描到手机,新闻随时看
扫一扫,用手机看文章
更加方便分享给朋友



自2019年8月自贸区临港新片区正式揭牌,政策的红利席卷至楼市,经历去年“短暂”的“抢房”期后,哪怕1年后的今天,临港的新房项目依旧备受购房者和投资客们的关注。
据上海克而瑞统计,2020年1-10月,临港新片区今年已累计出让公告地块100幅,其中产业类地块31幅、商办类地块41幅、住宅类地块28幅,受政策红利影响,未来这一区域,配套将会非常完善,发展上限也将会非常高,房价未来也将“水涨船高”。

回顾上海的发展历史,不难发现,一个板块的崛起,离不开“超高规划+大资金的配套建设”,像碧云、张江等国际板块,就是前例,未来临港新城板块,或有可能成为下一个“国际板块”。

临港是上海2035规划中唯一的一个新一轮改革开放的先行试验区,双特政策支撑下源源不断的人才导入,惠南板块,北靠祝桥航空城、西邻迪士尼度假区、东临临港新城,属于三大国际板块的中央位置,位置突出,未来将与张江“科技研发”相辅相成的“智能制造”产业园区,产城合一的国际智能新镇。
在售产品:高层住宅+叠加别墅
精致住宅:建筑面积88㎡,92㎡住宅均价:2.4万~2.5万
住宅总价:220万~258万
舒适叠加:建筑面积150㎡,160㎡
叠加均价:3.2万~3.5万
叠加总价:480万~600万
交房时间:现房
产 权:70年住宅
交付标准:简装;叠墅:毛坯
容 积 率:1.8
【同润蓝美俊庭】位于临港自贸区惠南板块,项目北临天然河道——团芦港、南临南芦公路、西临南团公路、东临大团高级中学;项目占地面积约6.7万㎡、建筑面积约16.5万㎡、容积率1.8、绿化率35%,由9幢18层小高层、25幢叠加别墅组成、共1134户。
【同润•蓝美俊庭】采用南低北高的排列布局,加上超大的栋距,让每栋楼都能拥有非常好的采光和景观视野。
【同润•蓝美俊庭】采用南加州的建筑风格,外立面采用文化石和暖黄色涂料,搭配红色的筒瓦、烟囱、铁艺栏杆等建筑,尽现南加州原乡风情。
【同润•蓝美俊庭】景观以“南加州风情”为蓝本,秉承“城市中的花园,花园中的住宅”的设计理念,循地块肌理,采用十字景观轴设计,在小区景观轴上布置有玫瑰花园、休闲草坪、水景广场等加州景观场景,营造都市人久违的心灵居所。
【同润•蓝美俊庭】自带私家会所,里面包含:露天泳池、网球场、健身房、棋牌室、桌球室、乒乓球室、儿童娱乐天地、多功能厅等设施设备,为邻里之间的休闲与社交生活提供场所。
【同润•蓝美俊庭】地处浦东惠南板块,属大浦东重点打造的居住片区,左拥自贸区,右揽迪斯尼。发展潜力巨大,周围环境怡人,交通配套完善,地铁16号线惠南站,将陆家嘴、龙阳路、张江高科技园区、惠南、临港新城等区域一线贯通。
地铁方面:离项目最近的地铁是16号线惠南东站(步行约10.3KM),距离非常远,但项目门口有3个公交站点,6条公交线路,龙大专线,龙港快线能直达16号线龙阳路站,和新场站,浦东23路,惠临专线,大泥线到达惠南商圈及16号线惠南站。
自驾方面:项目紧临南芦公路,可接驳:川奉南公路、沪芦高速、上海绕城高速、申嘉湖高速等上海主干道,可快速到达上海各各个热门商圈,尽享便捷出行的悠享生活。
商业配套方面:项目自带部分沿街商业,周边还有:永晖消费品综合市场(步行约410米)、上海金团集贸市场(步行约1.1KM)、沃天百联购物中心(步行约1.2KM)、家润多大团店(步行约1.3KM)等商业配套,完全能够满足日常一站式购物、娱乐、休闲的生活需求,尽享璀璨城市生活;
教育资源方面:项目周边拥有完善的教育配套,可以满足全龄化的教育需求,如:
幼儿园:三墩幼儿园(步行约1.2KM)、向日葵幼儿园(步行约1.5KM)、曦辰幼儿园(步行约1.9KM)、大团镇幼儿园(步行约2.0KM)等;
中小学:大团高级中学(步行约100米)、大团中学(步行约980米)、向阳小学(步行约1.2KM)、大团小学(步行约1.7KM)等;
医疗资源方面:项目周边有:大团社区医院(步行约980米)、光明中医院(步行约9.8KM)、复旦大学附属浦东医院(步行约12.7KM)等医疗配套,能够为您和家人提供全方位的健康保障。
左拥自贸区 右揽迪斯尼
同润蓝美俊庭售楼处电话:4 00-8874-108✔【已认证】⭐⭐⭐⭐⭐
同润蓝美俊庭营销中心电话:400-88 74-108✔✔【已认证】⭐⭐⭐⭐⭐
上海同润蓝美俊庭官方售楼处电话:400-8874-10 8 VIPLINE✔✔✔【已认证】⭐⭐⭐⭐⭐
如有问题可来电咨询,线上售楼中心,预约销售专员,一对一为您服务!
想了解同润蓝美俊庭更多信息?拨打售楼处营销中心热线:400-8874-108 (中介勿扰)【24小时热线】
楼盘项目全面介绍,本电话为开发商提供线上预约售楼电话,楼盘项目全面介绍(包含楼盘简介,均价,房价,现房,期房,别墅,叠墅,大平层,价格,楼盘地址,户型图,交通规划,备案价,备案名,项目配套,样板间,开盘时间,认筹时间,楼盘详情,售楼处电话,最新消息,最新详情,周边配套,一房一价,最新进展等详情咨询)楼盘详情丨价格丨更多优惠丨机不可失丨欢迎致电丨诚邀品鉴!售楼处位置丨特价房丨工抵房丨剩余房源丨户型图丨最新消息丨免责声明:将文章内容综合来源于网络、只作分享,版权归原作者所有!!如有侵权,请联系我们,我们第一时间处理如有问题欢迎来电咨询,专业一对一热情服务,让您用专业眼光去买房.如果您想了解更多楼盘详情,欢迎提前预约拨打
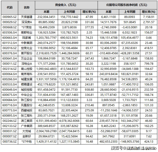
中房网根据同花顺iFinD数据统计,截至10月31日,A股共有85家上市房企披露2025年三季度业绩报告。其中,超4成房企营收实现同比增长;43家房企实现盈利,占比超五成;归母净利润实现同比增长的房企共有37家,占比为43.53%。
自2022年起,房地产行业业绩承压态势已延续数年。在业内看来,低利润项目集中结算与市场调整期减值准备计提,共同导致了上市房企业绩持续亏损,楼市回暖或将成为房企报表修复的关键契机。
超4成房企营收同比增长
从上市房企三季度报告来看,营收实现同比增长的房企共有36家,占比为42.35%;营收同比下滑的有49家,占比57.65%。
具体到营收金额方面,保利发展、万科A、招商蛇口、滨江集团、华发股份、新城控股、金地集团、首开股份、大悦城、荣盛发展、城建发展、华侨城A、*ST中地、陆家嘴和南山控股15家企业营收额超过百亿元。其中,保利发展、万科A和招商蛇口分别以1737.2亿元、1613.9亿元和897.66亿元的营收居于A股上市房企前三位。

部分头部房企亏损较大
归母净利润方面,前三季度共有43家房企实现盈利,占比超过五成。
其中,有7家房企归母净利润超过10亿元,分别是*ST中地、招商蛇口、南京高科、滨江集团、保利发展、上海临港和陆家嘴。

上述房企中,*ST中地(中交地产)的表现较为亮眼。三季报数据显示,公司前三季度营收达142.93亿元,同比增长16.48%;实现净利润48.27亿元,扭亏为盈,同比大幅增长424.13%。
作为一家“披星戴帽”的房企,其账面盈利的核心驱动力来自重大资产重组。今年6月,*ST 中地公告称,计划将旗下房地产开发业务相关的全部资产与负债,转让给控股股东中交房地产集团有限公司。这一重组事项在8月31日完成实质资产交接,房地产业务自此正式退出公司合并报表范围。
据悉,资产重组为* ST中地带来64.89亿元的资产置出相关收益,这一数据直接拉动了当期利润表现,同时推动归属于上市公司股东的净资产转正至12.48亿元。
让人唏嘘的是,三季度业绩亮眼的房企,恰恰是已经退出房地产开发业务的那家。
值得注意的是,期内部分龙头房企归母净利润出现较大亏损,如万科、*ST金科、华夏幸福等。
数据显示,今年前三季度,万科实现营业收入1613.9亿元,同比下滑16.61%;归属于上市公司股东的净亏损280.2亿元,同比下滑56.14%。
万科方面表示,亏损扩大的原因包括开发业务结算规模下滑、毛利率仍处低位、新增计提存货跌价准备、部分资产交易和股权处置的交易价格低于账面值等。
另一亏损规模超百亿的为*ST金科。前三季度,金科实现营业总收入56.99亿元,同比下滑73.57%;归母净利润亏损107.78亿元,同比下滑102.12%。
还有华夏幸福,其亏损规模也近百亿。前三季度,公司营业收入为38.82亿元,同比下降72.09%,归属于上市公司股东的净利润亏损98.29亿元,同比下滑338.67%。
25家房企实现营收和归母净利润双增
前三季度有25家房企实现了营收和归母净利润的双增长。

有37家房企实现归母净利润实现同比正增长。其中,天保基建、深深房A、深物业A、渝开发、*ST中地、世荣兆业、城投控股、南山控股、中华企业、广宇集团、万业企业、南都物业、新黄浦、凤凰股份、中洲控股、珠江股份、栖霞建设17家房企前三季度的归母净利润增长超过100%。
其中,天保基建前三季度归属于上市公司股东的净利润增幅最大,为7158.91%。天保基建表示,业绩增长主要得益于报告期内满足收入结转条件的项目增加,以及冲回的土地增值税增加和资产减值损失减少。
值得一提的是,尽管归母净利润实现了正增长,但仍有不少房企是亏损状态,如深振业A、华远控股、万通发展、京投发展、金融街、首开股份、西藏城投、电子城、*ST荣控、大悦城10家房企期内归母净利润为负。

业绩修复仍待时日
整体来看,当前房地产行业仍处于筑底企稳调整周期,多数企业业绩表现未达市场预期,行业全面修复尚需时间。
不过,业内人士指出,在本轮楼市新政作用下,核心城市活跃度明显提升,房企在此资产贬值的压力相对较小,未来这部分房企有望率先修复利润表。多家企业也表示,通过在核心城市拿利润较高的项目,逐步带动利润表的修复。
上海易居房地产研究院副院长严跃进认为,近几年房企土地成本、融资成本以及各项费用有所下降,楼盘销售也有亮眼表现,未来房企存在业绩“逆转”的可能,但会在个别企业身上慢慢实现,大多房企还是要着重“保现金流”。
声明:本文由入驻焦点开放平台的作者撰写,除焦点官方账号外,观点仅代表作者本人,不代表焦点立场。
