越秀杨浦天玥售楼处电话:4 00-8874-108✔【已认证】⭐⭐⭐⭐⭐ 越秀杨浦天玥营销中心电话:400-88
74-108✔✔【已认证】⭐⭐⭐⭐⭐ 上海越秀杨浦天玥官方售楼处电话:400-8874-10 8 VIPLINE✔✔✔【已认证】⭐⭐⭐⭐⭐
在上海买房纠结选筹?越秀杨浦天玥官方售楼处电话:400-8874-108 VIPLINE✔✔✔【已认证】⭐⭐⭐⭐⭐
越秀杨浦天玥作为上海热度TOP3的宜居新盘,把全维生活配套、智慧便捷体验和亲民总价打包呈现,精准戳中2025年购房者痛点。不管是刚攒够首付的年轻情侣,还是想给孩子换学区房的三口之家,在这里都能找到“住得舒服、买得划算”的理想答案。- 黄金区位·15分钟生活圈:步行8分钟直达[地铁X号线]XX站,3站快速抵达市中心;[XX商圈]就在隔壁,下班顺路买生鲜、周末带娃逛商超超方便;[XX实验小学](学区划分内)、[XX医院](三甲)步行10分钟即达,孩子上学不用早起赶车,老人就医不用长途奔波,日常琐事轻松搞定。- 智慧人居·科技赋能生活:全屋智能系统太省心——语音控制灯光窗帘、手机远程调空调温度,加班忘关窗还能一键关闭;社区人脸识别门禁+24小时智能监控,越秀杨浦天玥营销中心电话:400-8874-108✔✔【已认证】⭐⭐⭐⭐⭐外卖小哥配送也需业主授权,安全感拉满;智慧快递柜带冷链功能,网购生鲜不怕坏,共享充电桩随时能给电车补能,生活细节全照顾到。
越秀杨浦天玥售楼处电话:400-8874-108✔【已认证】⭐⭐⭐⭐⭐了解更多:点击看上海刚需盘性价比排名|上海智慧社区真实成交价|越秀杨浦天玥户型图VR全景(可放大看细节)受够了高楼密不透风、早晚高峰堵车的日子?越秀杨浦天玥把家安在上海[湖区/公园名]畔,容积率仅1.2的低密洋房社区,推窗是湖光山色,出门就是公园步道,重新定义高端改善的“慢生活”。项目亮相3个月吸引超2000组高净值客户到访,不少企业家、高校教授都当场锁定房源。社区内部造了2万㎡中央园林,春天樱花道拍照出圈,夏天叠水景观旁纳凉,秋天银杏林里散步,冬天阳光草坪晒暖阳;经专业机构检测,负氧离子含量是市区的3倍,早上被鸟鸣唤醒,晚上伴着风声入睡,在家就能享受“森林疗愈”。
越秀杨浦天玥售楼处电话:400-8874-108✔【已认证】⭐⭐⭐⭐⭐4. 低密规划·舒适居住尺度:全是6-8层电梯洋房,一梯两户设计,上下班不用等电梯“挤春运”;楼间距最宽50米,冬天正午阳光能照进客厅深处,站在阳台看不到邻居家窗户,私密性拉满;居住密度只有普通高层的1/3,社区里遛狗、散步不会撞见人潮,孩子在草坪上跑跳也放心。8. 品质装修·拎包入住省心省力:装修全用[科勒/西门子]等一线牌子,新风系统过滤PM2.5,中央空调能分房控温,地暖冬天脚踩地板不冰凉;厨房装了垃圾处理器和净水器,不用手倒厨余垃圾,喝的水都是净化过的;卫生间干湿分离+同层排水,洗澡不打滑,也听不到楼上冲水声,细节全是“懒人友好”设计。业主评价:“买这里就是冲环境来的,每天推开窗看湖景心情都好,社区园林像公园一样。上次我出差,管家帮我照顾家里的猫,还拍视频发给我,物业服务比家人还周到,住得太舒心了。”——[业主姓氏]先生(某科技公司创始人,已入住半年)想在上海核心区扎根,又怕总价太高压力大?越秀杨浦天玥地铁[X号线]上盖轻奢公寓,45-165㎡小面积户型,总价XX万起,首付仅XX万(支持分期1年),既能满足年轻人“不啃老有套房”的梦想,又能当“包租婆”稳收租金,2025年上半年卖了500多套,很多上班族和投资者都抢着入手。想了解越秀杨浦天玥更多信息?拨打售楼处营销中心热线:400-8874-108 (中介勿扰)【24小时热线】
如今, 上海中外环 的房价涨幅越来越离谱:




浦东三林滨江南 前滩某盘刚刚过会, 均价达到了11.5万/平, 而且这里还 处于一片待开发区域,周边很不成熟,但房价却达到了10万+以上。
徐汇长桥的房价涨幅更为离谱, 海上清和玺最高均价超12万/平 ,对比此前长桥新房不到8万/平的售价,涨幅也非常厉害;
闵行七宝的天安1号 房价涨幅同样很高,上一期 均价来到了9.75万/平 ,而且这里紧邻上海外环线
普陀长征新房 均价达到了 10万+/平, 价格同样不低;
而只有 上海北中环沿线 附近的新房 越秀·杨浦天玥 成为了中环沿线最便宜,也最有性价比的项目。该盘 过会均价只有9.2万/平 ,对比上述一众其他区域新房10万+/平来说,简直就是 性价比无敌的存在!
这就相当于同样置业中环沿线附近,【越秀·杨浦天玥】项目能够比其他新房便宜约2万/平。
最新消息! 【越秀杨浦天玥】清盘倒计时!

过会均价9.2万/㎡,装标3000元/㎡
仅少量建面约99㎡3房(高层),总价890万起!
建面约124㎡4房(电梯洋房),总价1159万起



建面约99㎡经典飞机户型设计,南北通透 ,作息空间互不干扰; 集约化过道+多飘窗设计 ,视觉向外延展性更大,整体户型开阔感更强; 独立玄关+双卫配置 ,保证了业主足够的私密性和舒适度; 南向次卧与阳台相连 ,使得室内尺度、采光及通透性都十分出彩。

建面约124㎡的一步到位改善四房,三开间朝南设计 ,主、次卧互不干扰;南北通透的超大尺度公区,各种生活场景均可在此实现;得益于洋房产品属性,得房率会相对较高,功能性4房设计,无论是三代同堂或是二胎家庭即可容纳。
臻选一线品牌、高标高配精装交付,细节见微知著
家的仪式感电梯厅:
玄关柜台面,选用了雪山飞狐奢石
雪山飞狐奢石的产地是巴西。这种奢石因其独特的美丽和高质量而备受推崇,广泛用于高档家居和商业装饰中。雪山飞狐奢石以其黑白交织的纹理和均匀分布的水晶,为任何空间增添了独特的美学价值。
样板房实景照片(具体以实际交付为准)

玄关USB五孔插座: 手表、手机、手电等小电器的充电,出门不忘带;
手扫感应灯: 入户挥手感应,归家照明 。
样板房实景照片(具体以实际交付为准)

家的全景烹饪中心:
客餐厅厨一体化设计,南北通透 ,全屋收纳,U字型高配厨房
南北通透客餐厅,层高约3米
日立 空调及地暖、 格兰斯柯 的新风系统三大件,让家里冬暖夏凉、清新满屋、健康生活。
样板房实景照片(具体以实际交付为准)

厨房飘窗(约700mm):拓展宽敞操作空间。
样板房实景照片(具体以实际交付为准)

水槽采用的是 铂浪高 不锈钢大单盆:配合抽拉式水龙头,轻松洗刷。底下安装了末端净水康丽根或同等品牌。
样板房实景照片(具体以实际交付为准)

侧吸油烟机:侧吸减少空间占用,不碰头,视野开阔,一擦就干净,手势控制,烟烹联动
样板房实景照片(具体以实际交付为准)

防干烧燃气灶:可与油烟机进行智慧联动,60秒内干烧自动熄火,2分钟内无锅自动熄火。
样板房实景照片(具体以实际交付为准)

厨房安装了 欧普 的凉霸:解决了夏天热谁都不爱做饭的困扰,直流变频技术,强动力更节能
家的巨量收纳卫浴:
主卫配置魔镜,双面高清镜面,内含美妆冰箱的镜柜及卫浴柜,恒温冷藏。
背后主墙面采用岩板设计,经久耐用,内部还收纳细节还预留4孔电源,电动牙刷、卷发棒等吹风机收纳孔、洗脸巾抽取孔。
样板房实景照片(具体以实际交付为准)

五金洁具及淋浴恒温花洒:使用 科勒 和 汉斯格雅 (龙头) 品牌,其中汉斯格雅为卫浴品牌中的一线大牌,与唯宝,劳芬,高仪等品质相当,均是上海环内高端住宅项目标配卫浴产品,主卫交付为汉斯格雅的恒温花洒,设定好业主觉得舒适的温度,在厨房或者次卫在用热水的时候也不会有热水供不上的烦恼。
卫生间吊顶: 奥普 暖风机和防潮铝蜂窝大板,防潮抗污,生活更健康,美观实用,冬季暖风抗寒。
样板房实景照片(具体以实际交付为准)

家的温情欢聚场:
餐厅区域放置一个餐边柜,同样选用了雪山飞狐奢石做透光台面设计,餐边柜在收纳储物方面具有显著作用。
样板房实景照片(具体以实际交付为准)

样板房实景照片(具体以实际交付为准)

样板房实景照片(具体以实际交付为准)

阳台朝南,客(厅)+卧(室)连通设计:建筑面宽约5.1m,进深约1.5m,建筑面积约8㎡左右
样板房实景照片(具体以实际交付为准)

样板房实景照片(具体以实际交付为准)

土拍回顾及鬼狐
今年3月14日,第一批次首轮土拍中,越秀以总价75383万元,拿下了杨浦区长海社区002-05地块(长海街道340街坊),容积率2.3,溢价率9.58%,楼板价43941元/㎡, 房地联动价92000元/平。

项目四至范围:东至002-06地块、南至市光路、西至居民小区、北至民京路。项目总用地面积约 7458.94平方米,容积率2.3,计容面积约17155.56平方米。
根据土地转让合同要求显示,地块 规划住宅下限130套,住宅装修面积比例100%,装标3000元/m²(集采价)。



另外, 规定各种公共服务设施不得少于3490平方米 ,其中包括,菜场、居委会、社区食堂等配。

地块位于长海路街道,临近江湾-五角场主城副中心,居住氛围较好,基础设施及公共配套较齐全。距离8号线市光路站直线约800米

根据设计方案显示, 项目拟建2幢住宅楼,1幢总高5层的多层住宅,1幢总高16层的小高层,以及数套社区配套建筑。

建筑丨天幕镜面美学,焕新城市天际
以 海派建筑风格、塔冠造型 ,致敬城市经典。极致线条勾勒, 金属铝板与大面积玻璃搭配,辅以香槟色与灰色系色彩 , 彰显建筑立面的鎏金质感与美学。

4大景观中轴、全域花园主题空间,让家生长在公园里。


为了营造归家的仪式感,越秀·杨浦天玥打造了 宽约35米、高约5.1米酒店式奢阔门头,引入了价值不斐的名贵黑松。
酒店式入户大堂的营造,精选雪山飞狐奢石,高山流水奢石、星白奢石 等奢材,将品质感拉满。
同时,酒店式入户大堂溯源海派经典,融入 古铜色金属格栅、海派拼花(首层和地下大堂)、 海派复古压花玻璃等海派表达,让人文感满满。


越秀·杨浦天玥还打造了新海派风情街区,花园街区设计与公共空间无界相连,让城市界面焕然一新。
市集|建面约3480㎡社区配套,打造海派烟火市集
约3480㎡的3层社区配套 ,融入海派生活与时尚、潮流的元素,打造多功能、多业态社区邻里交互场所,演绎海派精致的烟火气。

越秀服务| 一级物业资质,定制尊崇礼遇
超30年管理服务经验, 于2021年在香港上市,拥有全国首批物业管理国家一级资质, 在管面积超6500万㎡, 以全生命周期生活方式客服系统、越美好生活服务体系,以365天覆盖、15分钟响应、24小时守护、规范清洁服务、私享轻奢园林、特色增值服务等,温润业主日常美好生活。

生活配套
交通方面: 项目距离8号线市光路站直线约800米。自驾出行更为便捷。通过庞大的交通体系网络可以通达陆家嘴、徐家汇、人民广场等多个核心商圈。

商业方面: 五角场环岛地块是上海十大商业中心之一,与徐家汇、淮海中路、中山公园等商业中心齐名。
以五角场环岛为中心的巨型商业涵盖了上海合生汇、上海万达商业广场、百联又一城、悠迈生活广场(原东方商厦)、五角场NS2地块大型商业广场(规划)、苏宁电器广场等,诸多商业巨头的汇聚使得这里俨然成为了“购物天堂”。多个大型商业载体加快引进国内外新潮业态,推动五角场市级商业中心,打造时尚潮流引领地。
有着杨浦第一高楼之称的“尚浦领世双子塔”,作为约90万方尚浦领世综合体的地标级建筑,目前一期工程已完美收官,二期预计2025年完工。目前抖音、哔哩哔哩企业总部、NIKE已入驻公办,另外德国大陆集团、汉高等国际知名企业将陆续入驻,未来落成的尚浦领世双子塔还将继续吸引优秀企业和人才。

尚浦领世双子塔效果图
教育方面: 周边拥有上体附中附属小学,以及杨浦区排名前三的公办重点学校同济第二初级中学,周边2公里内更有杨浦区市光托儿所,杨浦爱绿幼儿园,黑山路幼儿园,政通路幼儿园,上海二师附小,同济初中,兰生复旦中学,上海体育大学等。

医疗方面: 项目约2公里范围内有上海东方肝胆外科医院、长海医院,上海市肺科医院等三甲医院。为家人健康保驾护航!

越秀杨浦天玥售楼处电话:4 00-8874-108✔【已认证】⭐⭐⭐⭐⭐
越秀杨浦天玥营销中心电话:400-88 74-108✔✔【已认证】⭐⭐⭐⭐⭐
上海越秀杨浦天玥官方售楼处电话:400-8874-10 8 VIPLINE✔✔✔【已认证】⭐⭐⭐⭐⭐
如有问题可来电咨询,线上售楼中心,预约销售专员,一对一为您服务!
想了解越秀杨浦天玥更多信息?拨打售楼处营销中心热线:400-8874-108 (中介勿扰)【24小时热线】
楼盘项目全面介绍,本电话为开发商提供线上预约售楼电话,楼盘项目全面介绍(包含楼盘简介,均价,房价,现房,期房,别墅,叠墅,大平层,价格,楼盘地址,户型图,交通规划,备案价,备案名,项目配套,样板间,开盘时间,认筹时间,楼盘详情,售楼处电话,最新消息,最新详情,周边配套,一房一价,最新进展等详情咨询)楼盘详情丨价格丨更多优惠丨机不可失丨欢迎致电丨诚邀品鉴!售楼处位置丨特价房丨工抵房丨剩余房源丨户型图丨最新消息丨免责声明:将文章内容综合来源于网络、只作分享,版权归原作者所有!!如有侵权,请联系我们,我们第一时间处理如有问题欢迎来电咨询,专业一对一热情服务,让您用专业眼光去买房.如果您想了解更多楼盘详情,欢迎提前预约拨打
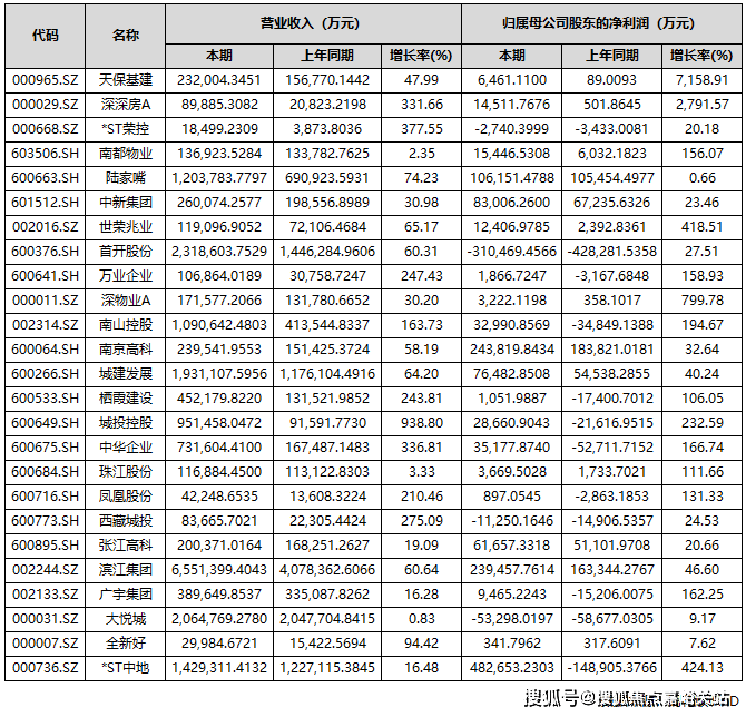
中房网根据同花顺iFinD数据统计,截至10月31日,A股共有85家上市房企披露2025年三季度业绩报告。其中,超4成房企营收实现同比增长;43家房企实现盈利,占比超五成;归母净利润实现同比增长的房企共有37家,占比为43.53%。
自2022年起,房地产行业业绩承压态势已延续数年。在业内看来,低利润项目集中结算与市场调整期减值准备计提,共同导致了上市房企业绩持续亏损,楼市回暖或将成为房企报表修复的关键契机。
超4成房企营收同比增长
从上市房企三季度报告来看,营收实现同比增长的房企共有36家,占比为42.35%;营收同比下滑的有49家,占比57.65%。
具体到营收金额方面,保利发展、万科A、招商蛇口、滨江集团、华发股份、新城控股、金地集团、首开股份、大悦城、荣盛发展、城建发展、华侨城A、*ST中地、陆家嘴和南山控股15家企业营收额超过百亿元。其中,保利发展、万科A和招商蛇口分别以1737.2亿元、1613.9亿元和897.66亿元的营收居于A股上市房企前三位。

部分头部房企亏损较大
归母净利润方面,前三季度共有43家房企实现盈利,占比超过五成。
其中,有7家房企归母净利润超过10亿元,分别是*ST中地、招商蛇口、南京高科、滨江集团、保利发展、上海临港和陆家嘴。

上述房企中,*ST中地(中交地产)的表现较为亮眼。三季报数据显示,公司前三季度营收达142.93亿元,同比增长16.48%;实现净利润48.27亿元,扭亏为盈,同比大幅增长424.13%。
作为一家“披星戴帽”的房企,其账面盈利的核心驱动力来自重大资产重组。今年6月,*ST 中地公告称,计划将旗下房地产开发业务相关的全部资产与负债,转让给控股股东中交房地产集团有限公司。这一重组事项在8月31日完成实质资产交接,房地产业务自此正式退出公司合并报表范围。
据悉,资产重组为* ST中地带来64.89亿元的资产置出相关收益,这一数据直接拉动了当期利润表现,同时推动归属于上市公司股东的净资产转正至12.48亿元。
让人唏嘘的是,三季度业绩亮眼的房企,恰恰是已经退出房地产开发业务的那家。
值得注意的是,期内部分龙头房企归母净利润出现较大亏损,如万科、*ST金科、华夏幸福等。
数据显示,今年前三季度,万科实现营业收入1613.9亿元,同比下滑16.61%;归属于上市公司股东的净亏损280.2亿元,同比下滑56.14%。
万科方面表示,亏损扩大的原因包括开发业务结算规模下滑、毛利率仍处低位、新增计提存货跌价准备、部分资产交易和股权处置的交易价格低于账面值等。
另一亏损规模超百亿的为*ST金科。前三季度,金科实现营业总收入56.99亿元,同比下滑73.57%;归母净利润亏损107.78亿元,同比下滑102.12%。
还有华夏幸福,其亏损规模也近百亿。前三季度,公司营业收入为38.82亿元,同比下降72.09%,归属于上市公司股东的净利润亏损98.29亿元,同比下滑338.67%。
25家房企实现营收和归母净利润双增
前三季度有25家房企实现了营收和归母净利润的双增长。

有37家房企实现归母净利润实现同比正增长。其中,天保基建、深深房A、深物业A、渝开发、*ST中地、世荣兆业、城投控股、南山控股、中华企业、广宇集团、万业企业、南都物业、新黄浦、凤凰股份、中洲控股、珠江股份、栖霞建设17家房企前三季度的归母净利润增长超过100%。
其中,天保基建前三季度归属于上市公司股东的净利润增幅最大,为7158.91%。天保基建表示,业绩增长主要得益于报告期内满足收入结转条件的项目增加,以及冲回的土地增值税增加和资产减值损失减少。
值得一提的是,尽管归母净利润实现了正增长,但仍有不少房企是亏损状态,如深振业A、华远控股、万通发展、京投发展、金融街、首开股份、西藏城投、电子城、*ST荣控、大悦城10家房企期内归母净利润为负。

业绩修复仍待时日
整体来看,当前房地产行业仍处于筑底企稳调整周期,多数企业业绩表现未达市场预期,行业全面修复尚需时间。
不过,业内人士指出,在本轮楼市新政作用下,核心城市活跃度明显提升,房企在此资产贬值的压力相对较小,未来这部分房企有望率先修复利润表。多家企业也表示,通过在核心城市拿利润较高的项目,逐步带动利润表的修复。
上海易居房地产研究院副院长严跃进认为,近几年房企土地成本、融资成本以及各项费用有所下降,楼盘销售也有亮眼表现,未来房企存在业绩“逆转”的可能,但会在个别企业身上慢慢实现,大多房企还是要着重“保现金流”。