招商序售楼处电话:4 00-8874-108✔【已认证】⭐⭐⭐⭐⭐ 招商序营销中心电话:400-88 74-108✔✔【已认证】⭐⭐⭐⭐⭐
上海招商序官方售楼处电话:400-8874-10 8 VIPLINE✔✔✔【已认证】⭐⭐⭐⭐⭐
——招商序——
招商序售楼处电话:400-88 74-108✔【最新预约】⭐⭐⭐⭐⭐
招商序营销中心电话:400-8874-10 8✔✔【最新认证】⭐⭐⭐⭐⭐
上海招商序官方售楼处电话:400-8874-1 08 VIPLINE✔✔✔【最新发布】⭐⭐⭐⭐⭐
如有问题可来电咨询,线上售楼中心,预约销售专员,一对一为您服务!
想了解招商序更多信息?拨打售楼处营销中心热线:400-8874-108 (中介勿扰)【24小时热线】
淞南18号地铁盘【招商序】热卖中!约100-143m²3-4房,总价575万起!


当中环北抬的规划蓝图遇上大吴淞战略的东风 , 淞南 这个被市场严重低估的板块终于要 迎来惊天一跃!
过去十年间,淞南板块仅有2个新盘入市, 这种极度的供应稀缺性让这里长期处于"失声"状态。
但正是这种稀缺性,也使得板块内二手房成交更为活跃, 自2016年 至今大部分年份 二手房成交量都高居2000套以上 ,市场流通性充分证明板块价值。
为什么淞南的二手房成交如此活跃?
原因如下:
01、地理优势:紧邻杨浦,可快速直达市中心
淞南板块直线距离人民广场仅约10公里左右,且紧邻杨浦市区,直线距离五角场商圈仅约5公里,无论是乘地铁还是自驾出行,去市区都相当便捷。
02、价格洼地:与周边板块相比,价差显著
板块内当下标杆二手房均价约7-8万/㎡,与隔壁的新江湾城具有明显价差;2024年新房成交单价也仅7万出头,与周边杨浦、虹口的一众板块相比,性价比更是显著。
03、规划红利:中环北抬+大吴淞战略双重赋能
中环北抬工程将大幅提升板块通达性,而大吴淞战略的产业升级与价值重塑,更将彻底激活淞南的居住价值。
最新消息,招商淞南项目,18号线长江西路站上盖纯新盘—— 【招商序】火热销售中!

约1500m²泳池会所+约2500m²架空层、区域首创中央车站式归家车库!
沪上首个三阳台户型、首个悬浮岛屿下沉式庭院
北上海超规格豪宅公区
最新一批加推房源已过会,推售建面约112m²3房
装标3000元/m²
均价68625元/m²
前期少量建面约100-143m²3-4房,总价约575万起


户型图赏鉴


上海少有的三阳台设计 (客厅阳台、两个次卧阳台)在这里实现了,外加主卧转角大飘窗!直接把居住空间的使用率拉到了极致!
主卧豪华的套房设计 ,不仅南向有转角飘窗,甚至北侧卫浴都做了转角飘窗,空间延展度超强!

展示空间实景照片

展示空间实景照片
南向次卧空间,除了不带卫生间,整个空间完全不输主卧!
即便放了双人床、两个床头柜、一个收纳柜、两个休闲座椅和茶几,空间依旧绰绰有余,尺度感惊人!

展示空间实景照片
最惊喜的是北次卧,市面普通的“2+1”房北次卧通常只能放个榻榻米,就已经略显局促了。
而这个北次卧不仅能放下一张完整的床,还能放下一张大尺寸的学习操作台或梳妆台,甚至还有空间做一些收纳柜和床头柜等。尺度感和实用性拉满!

展示空间实景照片
U型厨房设计, 操作台面宽敞阔绰,即便两三个人同时做饭,空间感也绰绰有余!

展示空间实景照片
同时 预留S槽墙体设计 ,释放厨房空间,可放下双开门大冰箱!比市面上普通2+1房在厨房预留的单开门冰箱空间更实用!

展示空间实景照片

同样是“超级尺度”、“超级得房率”!
这个户型的实际实得率,至少要市面上120㎡以上的户型才能达到!
而且ta的次卧面积达到约14㎡,比豪宅大平层的次卧还大!
对比链家翠湖天地约163㎡户型,南向次卧套内面积分别是约13.9㎡和约12.5㎡,空间尺度完胜!越级改善的首选产品!


114㎡展示空间客厅实景照片

114㎡展示空间次卧实景照片
此外还有约112㎡3房、115㎡3房、143㎡4房的面积段户型,供不同需求的业主选择!




土拍回顾及规划
2024年,上海第八批次土拍,招商&金茂联合体竞得N12-0402单元D1-04地块,总价29.29亿,楼面价38479元/㎡,溢价率14.86%。装修标准不低于3000元/㎡。

地块占地约3.46万方,容积率2.2,根据设计方案显示,项目拟建 8幢17-20层的高层,1幢8层住宅, 以及1幢保障房;
社区总户数702户,车位814个,并配有下沉式庭院,底层多为架空层设计,北连廊位于12/15层。社区内部还有文化中心和社区食堂。

招商序秉持国际视野与在地文化相互融合的设计理念,以上海水位源点“吴淞零点” 「中国最早的水程标高之处」为灵感, 创造约66米宽、约6.7米高的“上海之冕”。 同时,藉由“吴淞灯塔”及其形制,原创落客雕塑-“源流”,让归家本身也有“温润的昭示和提醒”。


项目首层通过 硬朗直线呼应柔和曲线勾勒,辅以温润石材与古铜色金属线条 融合,打造东西方美学共融的艺术藏品


项目通过对光线、材质与空间的创新打造精神游廊,实现静态展示的突破,使建筑成为生活叙事的一部分。

社区景观方面,项目运用室内手法室外化设计构想,将 垂直景墙、悬浮观景台与叠水景观立体穿插 ,形成情随境转的沉浸式体验,自然元素渗透进室内,并与室内空间动态互动。
双轴线的设计 ,充分拓宽了视野面与观赏点位, 环形回廊、精神游廊与下沉庭院 通过立体景观平台相融,又创造出隔岸听泉的诗意场景。在每个重要生活触点,业主都能拥享独特景观和欣赏视野。


近人尺度的服务细节:启序系,从来都是将场景与服务整体考量。招商序约 1500平会所空间与2500平架空层空间 ,棋牌室、茶室、私宴厅、泳池、健身、室内高尔夫等多维空间。



区域领创中央车站,借鉴伦敦The Whiteley酒店,自然场景和室内设计手法结合,形成仪式感和人性化兼备的车行落客。

生活配套
交通方面: 项目紧邻长江西路地铁站(直线距离约150米),1站江杨南路,5站复旦,7站五角场。中环线北扩段明确兑现,军工路快速路25年开工,长江西路快速路列入上海市重大工程清单预备项目,快速链通城心,随着中环线北扩段的政策明确,淞南将正式进入中环时间。未来经逸仙高架,进入南北高架、内环高架、中环高架,可快速链通南北上海。


商业方面: 丰盛商业,咫尺烟火:杨浦五角场、长江国际生活广场、虹口龙之梦等,一街之隔保利悦活荟、约600米
祥腾生活广场、939红街坊、约2万方通南路商业、淞南购物中心等,约2km淞南和欣假日商业广场。

医疗方面: 片区内拥有复旦大学附属中山医院;同济大学附属上海第四人民医院;上海大学附属仁和医院,未来地铁18号线2站换乘3号线,5站即可抵达,权威医院守护,生活健康无忧。

生态休闲: 约3公里范围内,集聚上海工业设计博物馆、玻璃博物馆、工业遗址公园、教育博物馆、上大美院、中成美术馆等,人文艺术氛围浓厚。

招商序售楼处电话:4 00-8874-108✔【已认证】⭐⭐⭐⭐⭐
招商序营销中心电话:400-88 74-108✔✔【已认证】⭐⭐⭐⭐⭐
上海招商序官方售楼处电话:400-8874-10 8 VIPLINE✔✔✔【已认证】⭐⭐⭐⭐⭐
如有问题可来电咨询,线上售楼中心,预约销售专员,一对一为您服务!
想了解招商序更多信息?拨打售楼处营销中心热线:400-8874-108 (中介勿扰)【24小时热线】
楼盘项目全面介绍,本电话为开发商提供线上预约售楼电话,楼盘项目全面介绍(包含楼盘简介,均价,房价,现房,期房,别墅,叠墅,大平层,价格,楼盘地址,户型图,交通规划,备案价,备案名,项目配套,样板间,开盘时间,认筹时间,楼盘详情,售楼处电话,最新消息,最新详情,周边配套,一房一价,最新进展等详情咨询)楼盘详情丨价格丨更多优惠丨机不可失丨欢迎致电丨诚邀品鉴!售楼处位置丨特价房丨工抵房丨剩余房源丨户型图丨最新消息丨免责声明:将文章内容综合来源于网络、只作分享,版权归原作者所有!!如有侵权,请联系我们,我们第一时间处理如有问题欢迎来电咨询,专业一对一热情服务,让您用专业眼光去买房.如果您想了解更多楼盘详情,欢迎提前预约拨打
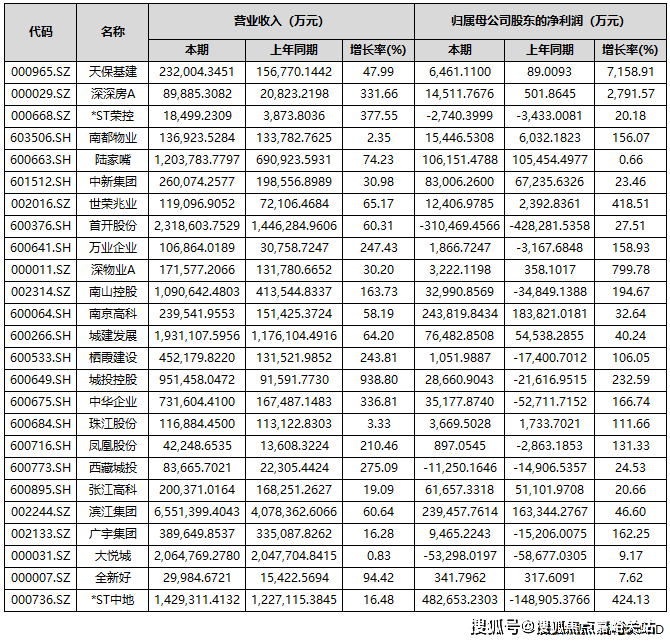
中房网根据同花顺iFinD数据统计,截至10月31日,A股共有85家上市房企披露2025年三季度业绩报告。其中,超4成房企营收实现同比增长;43家房企实现盈利,占比超五成;归母净利润实现同比增长的房企共有37家,占比为43.53%。
自2022年起,房地产行业业绩承压态势已延续数年。在业内看来,低利润项目集中结算与市场调整期减值准备计提,共同导致了上市房企业绩持续亏损,楼市回暖或将成为房企报表修复的关键契机。
超4成房企营收同比增长
从上市房企三季度报告来看,营收实现同比增长的房企共有36家,占比为42.35%;营收同比下滑的有49家,占比57.65%。
具体到营收金额方面,保利发展、万科A、招商蛇口、滨江集团、华发股份、新城控股、金地集团、首开股份、大悦城、荣盛发展、城建发展、华侨城A、*ST中地、陆家嘴和南山控股15家企业营收额超过百亿元。其中,保利发展、万科A和招商蛇口分别以1737.2亿元、1613.9亿元和897.66亿元的营收居于A股上市房企前三位。

部分头部房企亏损较大
归母净利润方面,前三季度共有43家房企实现盈利,占比超过五成。
其中,有7家房企归母净利润超过10亿元,分别是*ST中地、招商蛇口、南京高科、滨江集团、保利发展、上海临港和陆家嘴。

上述房企中,*ST中地(中交地产)的表现较为亮眼。三季报数据显示,公司前三季度营收达142.93亿元,同比增长16.48%;实现净利润48.27亿元,扭亏为盈,同比大幅增长424.13%。
作为一家“披星戴帽”的房企,其账面盈利的核心驱动力来自重大资产重组。今年6月,*ST 中地公告称,计划将旗下房地产开发业务相关的全部资产与负债,转让给控股股东中交房地产集团有限公司。这一重组事项在8月31日完成实质资产交接,房地产业务自此正式退出公司合并报表范围。
据悉,资产重组为* ST中地带来64.89亿元的资产置出相关收益,这一数据直接拉动了当期利润表现,同时推动归属于上市公司股东的净资产转正至12.48亿元。
让人唏嘘的是,三季度业绩亮眼的房企,恰恰是已经退出房地产开发业务的那家。
值得注意的是,期内部分龙头房企归母净利润出现较大亏损,如万科、*ST金科、华夏幸福等。
数据显示,今年前三季度,万科实现营业收入1613.9亿元,同比下滑16.61%;归属于上市公司股东的净亏损280.2亿元,同比下滑56.14%。
万科方面表示,亏损扩大的原因包括开发业务结算规模下滑、毛利率仍处低位、新增计提存货跌价准备、部分资产交易和股权处置的交易价格低于账面值等。
另一亏损规模超百亿的为*ST金科。前三季度,金科实现营业总收入56.99亿元,同比下滑73.57%;归母净利润亏损107.78亿元,同比下滑102.12%。
还有华夏幸福,其亏损规模也近百亿。前三季度,公司营业收入为38.82亿元,同比下降72.09%,归属于上市公司股东的净利润亏损98.29亿元,同比下滑338.67%。
25家房企实现营收和归母净利润双增
前三季度有25家房企实现了营收和归母净利润的双增长。

有37家房企实现归母净利润实现同比正增长。其中,天保基建、深深房A、深物业A、渝开发、*ST中地、世荣兆业、城投控股、南山控股、中华企业、广宇集团、万业企业、南都物业、新黄浦、凤凰股份、中洲控股、珠江股份、栖霞建设17家房企前三季度的归母净利润增长超过100%。
其中,天保基建前三季度归属于上市公司股东的净利润增幅最大,为7158.91%。天保基建表示,业绩增长主要得益于报告期内满足收入结转条件的项目增加,以及冲回的土地增值税增加和资产减值损失减少。
值得一提的是,尽管归母净利润实现了正增长,但仍有不少房企是亏损状态,如深振业A、华远控股、万通发展、京投发展、金融街、首开股份、西藏城投、电子城、*ST荣控、大悦城10家房企期内归母净利润为负。

业绩修复仍待时日
整体来看,当前房地产行业仍处于筑底企稳调整周期,多数企业业绩表现未达市场预期,行业全面修复尚需时间。
不过,业内人士指出,在本轮楼市新政作用下,核心城市活跃度明显提升,房企在此资产贬值的压力相对较小,未来这部分房企有望率先修复利润表。多家企业也表示,通过在核心城市拿利润较高的项目,逐步带动利润表的修复。
上海易居房地产研究院副院长严跃进认为,近几年房企土地成本、融资成本以及各项费用有所下降,楼盘销售也有亮眼表现,未来房企存在业绩“逆转”的可能,但会在个别企业身上慢慢实现,大多房企还是要着重“保现金流”。