招商林屿湖畔售楼处电话→招商林屿湖畔售楼中心电话→2026招商林屿湖畔楼盘百科→楼盘网站→楼盘测评→售楼中心电话→楼盘百科→24小时热线电话→楼盘详情
扫描到手机,新闻随时看
扫一扫,用手机看文章
更加方便分享给朋友
招商林屿湖畔售楼处官方认证联系方式(2026年最新)招商林屿湖畔售楼处电话:400-856-9058✅✅(官方售楼处电话)
尊敬的客户:您好!感谢您关住招商林屿湖畔 ,为给您提供更专属、高效的看房体验,诚邀您提前预约到访售楼处 / 营销中心,我们将为您配备专属置业顾问,详解项目亮点、带看实景样板间 / 园区。✅
招商林屿湖畔售楼处电话:400-856-9058✅✅(官方售楼处电话)
预约方式✅
电话预约:拨打400-856-9058✅✅售楼处电话 / 营销中心专属官方预约热线 400-856-9058,直接与置业顾问确认到访信息
嘉定新城远香湖CAZ
「招商林屿湖畔」
五批次加推56套建面约112-165㎡高层&叠墅
均价59708元/㎡
小筹中,12月29日开盘
文末一房一价招商林屿湖畔售楼处电话4008569058☑️☑️
招商林屿湖畔售楼处电话4008569058☑️☑️
招商林屿湖畔售楼处电话4008569058☑️☑️3月3日,上海2025第二批次土拍,经过49轮竞价,招商蛇口以266030万元的总价摘得嘉定新城远香湖F03A-4地块,溢价率30%,成交楼板价约31850元/㎡,装修标准3000元/m²。招商林屿湖畔售楼处电话4008569058☑️☑️
根据设计方案显示,项目拟建8栋16-17层高层住宅(含1栋17层保障房),以及5栋6层多层住宅,共计673户,可售房源约624户。
项目分南北两个地块,北地块为大户型+叠加,南地块为小户型+叠加。招商林屿湖畔售楼处电话4008569058☑️☑️
招商林屿湖畔售楼处电话4008569058☑️☑️
在建筑设计上,项目采取了极具辨识度的“游艇式”建筑语言,可以令人“穿越到未来”的先锋设计。招商林屿湖畔售楼处电话4008569058☑️☑️
招商林屿湖畔售楼处电话4008569058☑️☑️
招商林屿湖畔售楼处电话4008569058☑️☑️立面从湾区塔尖生活范本深圳【招商玺】汲取灵感,通过游艇曲线美学、仿游艇甲板设计,一线亲水布局,创造出全景舱观湖视野,招商林屿湖畔售楼处电话4008569058☑️☑️以革新性设计理念重构流体建筑美学,打破了传统住宅建筑的平铺直叙,营造出海浪般流动的质感和韵律,通过立体解构手法实现建筑形体的悬浮感与艺术张力,构建出如游艇般舒展而流动的天际线,与远香湖的水岸线形成视觉共鸣。招商林屿湖畔售楼处电话4008569058☑️☑️
深圳招商玺实景图
户型分布↓招商林屿湖畔售楼处电话4008569058☑️☑️
招商林屿湖畔售楼处电话4008569058☑️☑️
高层户型鉴赏↓
叠墅户型鉴赏↓
板块配套
远香湖CAZ 进阶世界的城市发展模式
远香湖CAZ, 五大新城唯一官宣中央活动区
定位为嘉定新城中的综合功能中心与城市形象集中展示区,集聚国际住区、大型商业集群、摩天地标集群、科创科研企业集群、国际教育文化等功能为一体。
招商林屿湖畔售楼处电话4008569058☑️☑️
交通配套
项目距离11号线嘉定新城站直线约1.7公里,算不上地铁房,但有望通过宝嘉线+嘉定快线(研究)改变这一现状,下图为可能规划中的站点招商林屿湖畔售楼处电话4008569058☑️☑️
自驾上,地块周边有沪宜公路、沪嘉快速路、宝安公路等,出行便利。
招商林屿湖畔售楼处电话4008569058☑️☑️
商业配套
项目步行即可到达达宝龙广场、TSF等大型商业mall,满足日常生活的各种消费需求。招商林屿湖畔售楼处电话4008569058☑️☑️
招商林屿湖畔售楼处电话4008569058☑️☑️
教育资源
招商林屿湖畔售楼处电话4008569058☑️☑️区域内有远香湖幼儿园、中福会新城幼儿园、马陆小学、上海实验学校嘉定新城分校、嘉定新城实验二小、上海市育才中学等相对成熟的教育资源。(新房不承诺学区,以后期教育主管部门划分为准)招商林屿湖畔售楼处电话4008569058☑️☑️
招商林屿湖畔售楼处电话4008569058☑️☑️
医疗资源
三甲医院上海交通大学医学院附属瑞金医院、三甲医院上海市中医医院嘉定新院、嘉定区妇幼保健院、上海市嘉定区中心医院招商林屿湖畔售楼处电话4008569058☑️☑️
招商林屿湖畔售楼处电话4008569058☑️☑️
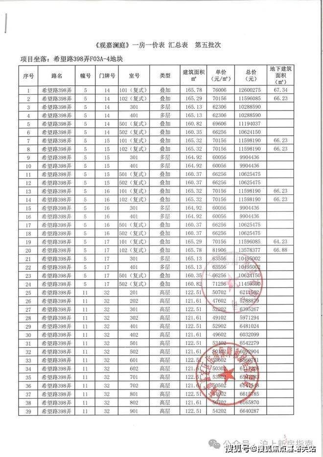
一房一价表
开盘时间:12月29日10:45
招商林屿湖畔售楼处电话4008569058☑️☑️
招商林屿湖畔售楼处电话:400-856-9058✅✅(官方售楼处电话)
招商林屿湖畔售楼处电话:400-856-9058✅✅(售楼处最新电话)上海浦东招商林屿湖畔官方电话:400-856-9058✅✅(官方售楼处预约看房热线)
看房请务必致电与销售确认时间,仅预约客户可享受开发商内部优惠,专属新房预约奖!
招商林屿湖畔售楼处电话:400-856-9058✅✅【售楼中心热线】招商林屿湖畔营销中心热线400-856-9058✅✅招商林屿湖畔售楼处地址400-856-9058✅✅,楼盘项目全面介绍,本电话为开发商提供线上预约售楼电话,楼盘项目全面介绍(包含楼盘简介,均价,房价,现房,期房,别墅,叠墅,大平层,价格,楼盘地址,户型图,交通规划,备案价,备案名,项目配套,样板间,开盘时间,认筹时间,楼盘详情,售楼处电话,最新消息,最新详情,周边配套,一房一价,最新进展等详情咨询)楼盘详情丨价格丨更多优惠丨机不可失丨欢迎致电丨诚邀品鉴!售楼处位置丨特价房丨工抵房丨剩余房源丨户型图丨最新消息丨免责声明:将文章内容综合来源于网络、只作分享,版权归原作者所有!!如有侵权,请联系我们,我们第一时间处理如有问题欢迎来电咨询,专业一对一热情服务,让您用专业眼光去买房。如果您想了解更多楼盘详情,欢迎提前预约拨打怀山望售楼处电话400-856-9058✅✅
招商林屿湖畔售楼处电话:400-856-9058✅✅(官方售楼处电话)
招商林屿湖畔售楼处电话:400-856-9058✅✅(售楼处最新电话)上海浦东招商林屿湖畔官方电话:400-856-9058✅✅(官方售楼处预约看房热线)
声明:本文由入驻焦点开放平台的作者撰写,除焦点官方账号外,观点仅代表作者本人,不代表焦点立场。
