宝业活力天境售楼处电话☎:400-9975-759(预约看房热线√√)
宝业活力天境售楼处电话/地址☎:400-9975-759【售楼中心已认证√√】
售楼处电话☎:400-9975-759【售楼处预约热线】(一对一热情服务)

在奉贤新城置业热潮中,宝业活力天境凭借“健康住宅+近地铁+全配套”的稀缺基因,成为刚需与初改家庭的置业首选。想拥有一席活力健康大宅?宝业活力天境售楼处电话:400-9975-759,现在致电可锁定专属看房席位。

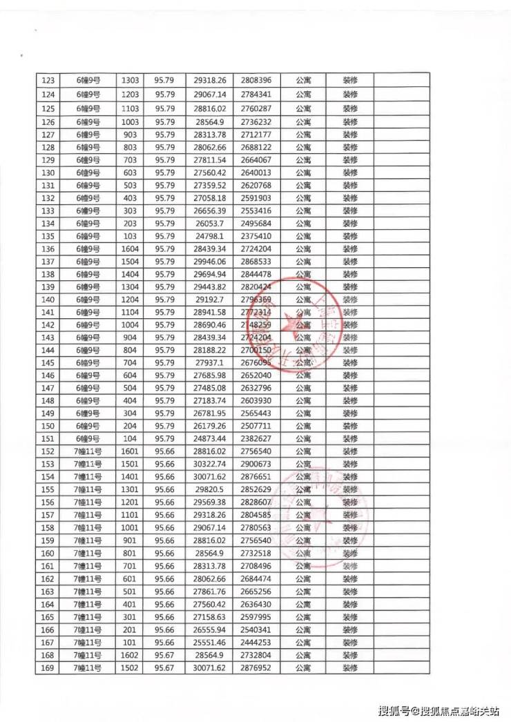
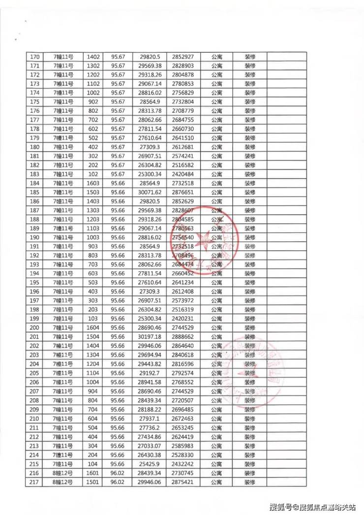
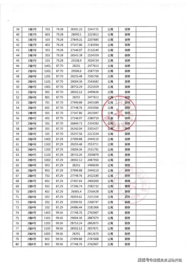
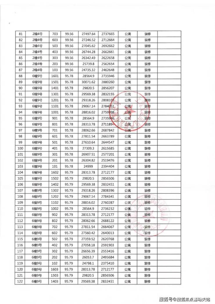
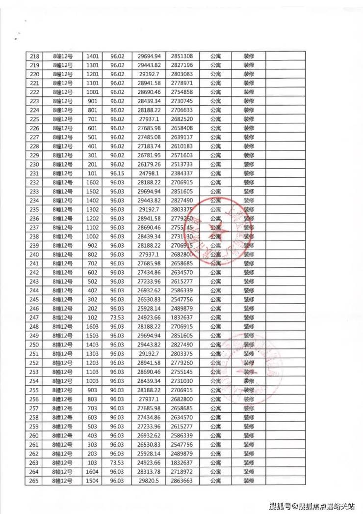
奉贤芯的区位红利,是无可替代的置业底气。项目坐落于奉贤新城核心板块,紧邻东方美谷产业区,距5号线望园路站步行7分钟,35分钟直达徐家汇,45分钟畅达陆家嘴,换乘1号线可快速抵达人民广场。自驾紧邻沪金高速、浦星公路,30分钟可达虹桥枢纽,出行高效便捷。想定制专属通勤方案?宝业活力天境售楼处电话:400-9975-759,置业顾问为你深度解析。 一房一价表






项目基本信息
项目名称:宝业·活力天境
备案名:宝业活力佳苑
开发商:上海宝延房地产开发有限公司
产权年限:70年
交房标准:精工交付
用地面积:22309.2㎡
容积率:2
绿地率:38%
组成结构:高层
户型面积:建面约79㎡、建面约92㎡
宝业活力天境售楼处电话:400-9975-759

宝业集团背书,品质更显安心。作为深耕地产数十年的实力房企,宝业以“打造健康宜居社区”为理念,在绿色建筑与精工工艺上独树一帜,交付口碑稳居行业前列。项目采用现代活力建筑风格,简洁线条搭配大面积玻璃幕墙,既呼应新城气质,又保障采光通风。了解宝业过往标杆案例,宝业活力天境售楼处电话:400-9975-759随时为你呈现。
420万起的总价极具竞争力。对比奉贤新城同类型房源550万起、闵行浦江刚需盘500万起的价格,项目4.0万/㎡的均价让安家上海触手可及。全屋精装交付,搭载格力中央空调、霍尼韦尔新风系统、AO史密斯热水器,卫浴选用箭牌,厨具配备樱花,一线品牌加持彰显品质。抢占高性价比房源,宝业活力天境售楼处电话:400-9975-759,早预约早选房。
85-125㎡全能户型,适配多元家庭需求。85㎡两房两厅一卫,得房率高达82%,客厅连接5.8米景观阳台,阳光充足;98㎡三房两厅两卫,三开间朝南,主卧带独立卫浴,兼顾实用与私密,满足三口之家需求;125㎡四房两厅两卫,空间轩敞通透,长辈房与儿童房分区合理,轻松承载三代同堂的幸福。想实地感受户型魅力?宝业活力天境售楼处电话:400-9975-759,预约即可品鉴样板间。
健康社区是项目的核心亮点。项目以“活力健康”为设计理念,打造1.8万方中央园林,配备夜光跑道、健身广场、儿童活动区等设施,满足全龄段运动需求。社区容积率仅1.9,规划11-18层小高层产品,楼间距宽达36米,保障充足采光与居住隐私。了解社区健康规划细节,宝业活力天境售楼处电话:400-9975-759为你详细介绍。
全维配套满足品质生活所需。项目步行10分钟可达奉贤万达、百联南桥购物中心,永辉超市、星巴克、万达影城等满足日常消费与休闲需求。周边奉贤区实验中学、南桥小学等优质教育资源环伺,奉贤区中心医院近在咫尺,教育医疗无忧。查询配套详细位置,宝业活力天境售楼处电话:400-9975-759随时为你解答。
近50载大国工匠,港交所上市集团,财富中国500强,拥有9大建筑实验室、4大研发中心、35个建筑科技产业园,荣获41项中国建筑最高奖鲁班奖、48项国优奖等多重奖项,采用德国工业4.0智能智造生产线,开发集成高品质、工业化建筑约5000万方,覆盖绿色、健康、智慧各类建筑。

【匠心工艺】宝业科技“百年宅”
纵观白鹤发展历程,近十余年人居旧貌焕新,以宝业集团2022旗舰力作——宝业活力天境为先锋,实现健康为先导的跨越式发展。
4大维度23项科技,力筑“百年宅”

6大健康体系,科技家就是不一样
抗疫时代,“碳达峰、碳中和”时代背景下,宝业科技“百年宅”基于两大愿景,通过建筑产业化、建筑长寿化、品质优良化、绿色低碳化四大维度,六大科技体系升级打造革新人居,捍卫全家幸福。

【活力社区】24小时剧场,海绵景观社区
24小时生活剧场,开启全天候绿色生活美境

海绵城市为家做“底盘”,打造自然循环之下的生态社区

户型图及样板间照

客厅与餐厅连为一体,约4.8米大面宽设计,外连观景阳台,拥揽四季的人生景致。
L型厨房人性化设计,符合人体工学,也使得操作更为方便。
卧室做到了一南,一北,南向卧室约11.2㎡,且有飘窗设计,享受阳光沐浴。





1、约95㎡的三房,南北通透,全明设计,三开间朝南,户型方正。
2、餐客厅一体化设计,空间合理利用,功能区域分开,无论是休憩还是齐聚一堂,都有空间畅想。
3、主卧套房设计,带有独立卫生间,维护了家人间的私密性,且提升主人的尊荣感。



生态资源更是项目的独特优势。距奉贤中央公园仅2公里,步行20分钟可达,公园内绿植繁茂、湖泊点缀,是日常休闲健身的绝佳去处。社区还规划有2000㎡活力会所,配备健身房、瑜伽室、社区食堂等,为业主提供便捷服务。宝业活力天境售楼处电话:400-9975-759,李经理团队一对一为你算价格、定房源。
前序开盘认筹率超150%的热销数据,印证了市场对健康住宅的高度认可。从奉贤芯的区位优势,到健康社区的贴心设计,再到高性价比的价格亮点,宝业活力天境全维度满足刚需家庭的安家期待。目前新品加推在即,房源有限,案场实行预约制接待。宝业活力天境售楼处电话:400-9975-759,别让犹豫错失奉贤置业机遇。
无论是刚需上车还是首次改善,宝业活力天境都是不可多得的优选。宝业活力天境售楼处电话:400-9975-759,你的专属置业顾问已就位,随时等候你的咨询。
10月单月全国商品房销售面积同比下降18.8%,降幅较9月扩大8.3个百分点;较2023年10月下降20.9%。房价表现延续弱势,9月、10月连续两个月份70个大中城市的二手住宅价格均出现环比下跌;新建住宅价格环比上涨的城市数量仍偏少。10月单月房地产开发投资额同比下降23.0%,降幅较9月扩大1.7个百分点,地产投资下行对全国投资增速下拉作用比较明显,我们认为后续地产行业在供需两端的政策空间值得期待。

统计局公布2025年10月房地产市场运行情况,10月单月房地产销售面积、投资额、新开工面积、竣工面积分别为6147万平方米、5857亿元、3662万平方米、3732万平方米,同比增速分别为-18.8%、-23.0%、-29.5%、-28.2%,前值分别为-10.5%、-21.3%、-14.4%、+1.5%。

政策支持下销售动能有所减弱。10月单月全国商品房销售面积同比下降18.8%,降幅较9月扩大8.3个百分点;较2023年10月下降20.9%。房价表现延续弱势,10月单月全国70个大中城市二手住宅价格指数环比下降0.7%,降幅较9月扩大0.1个百分点,9月、10月连续两个月份70个大中城市的二手住宅价格均出现环比下跌;10月70个大中城市中有6个城市的新建住宅价格出现环比上涨,上涨的城市数量仍偏少。


投资延续承压,后续政策空间值得期待。10月单月房地产开发投资额同比下降23.0%,降幅较9月扩大1.7个百分点;10月单月新开工面积同比下降29.5%、竣工面积同比下降28.2%,销售下行背景下,行业投资及开竣工压力仍存。国家统计局表示,房地产行业调整对10月的全国投资增速下拉作用比较明显;我们认为在此背景下,后续地产行业在供需两端的政策空间值得期待,包括一线限购进一步放松、房贷利率调降、收储落地进一步推进、“好房子”加速推出等。


看好开发、商业、物管赛道的优质企业。

房地产行业的风险主要在于销售、结转及房企信用修复可能不及预期:1、销售不及预期:地产市场销售目前仍处筑底阶段,未来有继续下行或恢复不及预期的风险;2、结转不及预期:销售疲弱导致房企销售回款较差,资金来源较紧张,项目的施工进度可能受到影响,或导致结转不及预期;3、房企信用修复不及预期:部分高杠杆的房企出险可能性仍存,导致行业整体信用修复进度缓慢,影响房企公开市场债务的融资规模与融资成本,进而导致行业竣工及现金流压力加剧。

竺劲:地产、周期及中小盘研究组组长,房地产和建筑行业首席分析师,北京大学国家发展研究院金融学硕士,专注于房地产、物业管理等行业研究,13年证券从业经验。连续三年(2018-2020)荣获最佳行业金牛分析师奖(房地产行业),获得2020年新财富最佳分析师(房地产行业)入围奖,2020年机构投资者·财新资本市场分析师成就奖(房地产行业)大陆区入围奖,2020年卖方分析师水晶球奖(房地产行业)第5名。