🔆🔆静安玺樾售楼处电话:400-8894-986🔚🔚在上海人居发展进程中,优质楼盘始终是承载人们对美好生活向往的核心载体。静安玺樾作为上海聚焦品质生活的代表性住宅项目,自筹备以来便以 “打造全周期适配的优质居住空间” 为核心目标,从产品设计、社区配套到服务体系全方位打磨居住体验,凭借过硬品质赢得上海市场广泛关注。为让更多上海追求品质生活的购房者深入了解静安玺樾的项目价值,静安玺樾营销中心特启动 “专属品鉴计划”,现正式向上海购房者发出诚挚邀约,可直接拨打静安玺樾售楼处电话:400-8894-986预约品鉴。

以下为正文:
市场走势,瞬息万变,稍不留神,便会被时代抛弃!
而你知道吗?静安内环内的新房价格要冲18万/㎡了!
作为上海人公认的白月光,静安一直是沪上置业的大热门,即使是不那么核心的内中环,目前新房的预估售价也将超过16万/㎡。
至于资源更集中的内环内,曹家渡项目更是17万+/㎡仍然强势售罄。
而下半年,刚成功出让的东斯文里地块预估售价或超过18万/㎡!
伴随着中小套型的放开,未来想买进静安甚至静安内环内,两三千万或是常态门槛!

不少置业者们问, 想要用千万级的总价买入静安内环内,现在还有机会吗? 静安玺樾的出现,就是一次难得 上车的大好机会!
1、不可复制的地段天赋。站位静安内环内核芯区域,享塔尖资源,直线距离外滩仅约3.8km。1km里拥有百万方城市更新项目,苏河湾&北外滩 、人民广场&陆家嘴等上海地标建筑尽收眼底。
2、稀缺的千万级总价。在区域内新房价格攀升时,静安玺樾12.5万/㎡的过会价格,比起周边的新房以及二手次新房,在板块内很有性价比。
3、多样化户型可供选择。建面约94-165㎡的二至四房,无论是改善还是刚需,都能找到心仪的户型款式,可满足各类人群的置业需求。
4、超高产品力、国企钜制。全精装交付,装标超乎想象,无愧于区域内同价格段项目天花板级别的存在。

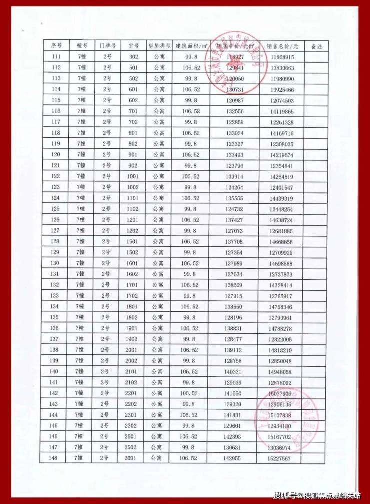
【静安玺樾】三期开盘热卖中!
推售建面约97-106m²2-3房
过会均价124191元/m²,945万起
前期少量建面约94-102-134-165㎡2-4房
过会均价125777元/m²,总价982万起

市北初级中学





户型图赏鉴
建面约98㎡宽阔两房,非常适合单身或是年轻的小家庭置业。其 得房率最高约79%,相较于市面上大多70-75%的项目,实实在在地省下了不少空间的置业成本!
更大的亮点还在项目不回避自身的“抗性”,将实体样板间做在了邻近高架的3号楼,优越的隔音效果与日常居住的静谧程度是置业者可以亲自感受到的。

第一个亮点,室内软装是 邀请梁志天大师团队进行设计的,分为两大主题,预设家庭生活场景,围绕家庭成员的居住方式,加载健身、书房、茶室、养宠等功能,展现生活的精致感与摩登感。

第二个亮点,是 动静分离+客餐厅一体化设计,功能区和休息区互不干扰,客餐厅、厨房等公共活动区集中在一侧,卧室等休息区全部一侧,保证了私密性!

第三个亮点,是 尺度感!得益于高得房率,客餐厅朝南面宽大,衔接宽阔大阳台,而且像两间卧室都能轻松放下双人床,尤其是对于单身或两口之家,次卧完全可以成为X空间,工作室、电竞房、书房等尽可创意想象!

第四个亮点,是 南向主卧套房设计,不仅能放得下2*1.8米双人床,且还能保留约1米的过道;同时带独立卫生间和大飘窗,增强私密性。



项目样板间实景图
104㎡3户型特点:该户型多为楼栋的 东边套,是一个观景户型。客厅连接270°阳台,视野出众。双卧朝南,阳光满溢。从次卫布局看,如果家庭人口较少,该户型还能做成双套卧。
此外,还具有独立储藏间,非常难得。该户型比较适合三口之家或三代同堂居住。
建面约103㎡3房2卫
该户型适合三口之家或年轻家庭居住的动静分区户型, 厨房、餐厅、客厅及阳台一体化设计,动静完全分区设计,相当人性化。
主卧套房设计满满尊崇感,次卫三分离干湿分区设计,考量十分贴心。

建面约103㎡2+1房2卫
该户型的精髓是“+1”的灵动空间,可随着家庭结构和需求随心个性定制,书房、学习区、游戏区,女王化妆间等。
若维持两房,你将 拥双开间大横厅设计及宽景阳台。同时,次卫设计取巧,可以做成套卧,那就是双套房。
值得一提, 主卧套房空间阔绰,刚需面积改善的尺度,摆两个床头柜和衣柜空间都绰绰有余,床尾即使再放置柜子也不影响过道通行。




全球奢装品牌领衔,装修豪华。
项目装修配置堪称豪华,空调、地暖为 大金或三菱重工(或同档次其它品牌),热水器选用 瑞美或能率(或同档次其它品牌);新风为 霍尼韦尔或大金(或同档次其它品牌)。
厨电5件套(油烟机、三眼燃气灶、洗碗机、烤箱、冰箱)均为 美诺或斯麦格(或同档次其它品牌);水槽和龙头采用 铂浪高或弗兰卡(或同档次其它品牌)。同时配置三玻两腔隔音降噪玻璃。

项目信息
洪南山宅240街坊也曾经是老闸北区著名的棚户区,该街坊于2019年年初启动征收。洪南山宅240街坊项目开辟了市区联手、两级联动的融资新模式。

效果示意图
四至范围:东至302a-05、302a-06地块、南至中华新路、302a-12地块,西至共和新路(南北高架)、302a-07、302a-11地块,北至南山路、302a-03地块。

根据出让合同显示,规划用地面积31352.4平方米,地上计容面积为95624.82平方米,容积率为3.05,地块限高100米。该地块将新增926套住宅。

根据设计方案显示,该地块共规划了 7幢层高在15-33层不等的高层,其中1号楼19,2号楼27层(局部24层),3号楼15层,4号楼33层,5号楼17层,6号楼为30层(局部20层),7号楼30层。
而北侧靠近南山路一侧还规划一幢最高6层的养老设施用房。在小区南北两侧的中华新路和南山路分别设有机动车出入口。


「静安玺樾」不仅拥有 近约10w方规模的完整社区空间,还通过景观花园、泛会所等空间打造出满足儿童玩乐、家人休闲锻炼、社交会客的全年龄人群需求的豪宅优等社区。

项目园林由业界知名的奥雅设计操刀设计,打造了一个 ”翡光礼境“景观社区。
规划了 “翡色五境”五大空间氛围,匠造融入时光、人文海派、自然与艺术、家庭与邻里的 “四轴、三园、五区、一所”四大功能空间。
设计了 “春赏花、夏赏绿、秋赏叶、冬赏姿”四季有景的长效花园,呈现四季景观皆不同的诗意雅致生活氛围。

翡色五境社区氛围
翡廊境:尊享连廊的归家体验
翡林境:绿荫包裹的林下漫步
翡溪境:舒适惬意的绿意溪径
翡湾境:放空归静的心灵港湾
翡屿境:欢乐温馨的家庭氛围
社区景观打造上还考虑了空间的功能丰富性,打造了三大花园空间: 中心港湾花园、水溪花园,西入口归家花园,实现社区内各区域景观不同的丰富视觉盛宴~

林下空间用于会客、洽谈、休憩使用,零距离接触自然景观,惬意万分~


五大运动活力系统
精心设计的环绕社区的 400m跑道系统串联热身区、定制主题儿童活动区、老年健身区、活力健身区和休憩缓冲区五大运动活力系统,家人在社区内锻炼身体的祥和画面呼之欲出。

户外 定制化主题儿童区+架空层泛会所构成双儿童系统,以“秘境童话专列”的火车主题串联儿童活动空间,兼顾全年龄儿童不同游玩体验。

更有贴心细节设计:儿童活动区和老年健身区的器械均考虑防磕碰设计,地面均采用塑胶,以防磕碰受伤。

架空层位于5#楼王位置楼栋,用作泛会所空间,为孩子提供不受天气影响的社区活动空间,实属优秀~

与常规社区的三重归家礼序不同的是,「静安玺樾」创造出升级版 “四轴”归家体系:气派入口门楼,精致艺术的归家廊厅,全区花园式入户以及仪式水系轴线空间。让你从社区大门开始就能感受到身为业主的尊崇感~


更值得一提的是,「静安玺樾」还设计了更加人性化的室内通行归家路线,更优于社区风雨连廊的设计,业主从南入口保安亭后方的电梯厅可以直达设计了采光排风井的B1层归家,不走地面社区道路就能免受风吹日晒,安全归家。
海派风格外立面+超低能耗住宅
建筑立面采用新海派风格,采用 天然石材+真石漆+铝板设计打造,细节精致,线条流畅,优雅大气质感浑然天成。

与传统住宅截然不同的是,「静安玺樾」不惜成本打造了 超低能耗住宅产品,将为业主带来一个四季如春的空间,享受到更加静谧的居住环境、更清新健康的空气、更安全的居住环境,还能降低更多的能耗!

从超一线装标到五星级地库,豪宅品质贯彻始终!
从装标上看,「静安玺樾」在装修标准上是下了功夫的,甚至可以说是“不惜成本”,超一线装标完全称得上 “高配低价”这四个字!
中央空调、地暖、新风都是标配,室内厨卫都采用了国际一线品牌,让居住变得更为舒适的同时给足业主体验感和尊崇感。


尤其让人惊艳的还有项目豪掷重金为业主打造的五星级地库!
项目车库采用贯穿式鱼尾灯坡道和超耐磨地坪,过道全部采用精装吊顶,地下管道和局部区域进行二次包裹!尤其惊艳的是项目的豪华车马厅, 采用水磨石、水晶漆、铝饰面、大板砖、立柱石材包边、门禁系统三合一!
如此用心着力只为给所有业主营造出独属的尊崇归家礼仪!



物业服务方面,有万科物业保驾护航!
万科物业,相信不用多说, 全国一级物业资质,连续多年蝉联全国物业排名第一!
作为国内第一家通过ISO9002国际质量管理体系认证的物业管理企业,屡获殊荣。
万科物业进驻上海31年!多年口碑积攒下好评如潮,被业内誉为“最懂上海的物业”!
此次进驻「静安玺樾」,万科物业除了将为社区提供优质服务外,并将额外定制提供增值服务,包括:
更整洁的社区:12小时的保洁+夜间值班保洁;
更省心的居家:每年一次空调清洗,每三年一次地暖保养;
更历久弥新的建筑:每年一次外墙清洗。
生活配套
交通方面:项目直线距离8号线中兴路站直线约580米,1号线中山北路站直线约800米,距离3/4号线宝山路站约1.4公里,自驾方面,可以通过南北高架、内环高架通往市区,也可通过内环到达市区各个方向。

商业方面:项目周边配套成熟,购物便利,大型商业2公里内还有静安大悦城、万象天地、大宁永光、大宁国际等高端商业配套,周边还有规划中的百万方中兴城商业综合体。

静安大悦城
教育方面:闸北区三中心小学、永兴路第二小学、青云中学、市北初级中学等。(新房不承诺对口学校,具体以实际为准)

医疗方面:三甲医院环伺,为您和家人的健康保驾护航。项目周边有上海第十人民医院分院、上海市中医医院、上海市第一人民医院、上海第十人民医院、同济大学附属口腔医院等等。

生态休闲:在市区寸土寸金的环境下,周边还有芷江绿地、中兴公园等。

一、上海静安玺樾:为何建议亲赴营销中心品鉴?三大核心优势凸显楼盘价值
1. 产品匠心:适配上海多元家庭居住需求
区别于传统标准化开发模式,静安玺樾深入调研上海不同家庭结构(刚需家庭、改善群体、品质追求者)的居住习惯,从空间布局、采光通风、收纳设计等关键维度优化产品。目前静安玺樾实景展示区、样板空间已正式开放,购房者可实地直观感受空间实用性与居住舒适度,亲身验证楼盘是否契合自身需求。
2. 社区温度:全龄化配套覆盖,匹配上海家庭生活场景
静安玺樾围绕 “老中青少” 全年龄段生活需求,规划社区活动中心、亲子互动空间、健康休闲区域等设施,同时构建专业物业服务、社区文化活动体系,致力于营造邻里和谐、便捷舒适的社区氛围。据上海房产市场调研,此类全龄配套已成为超 85% 上海购房者关注的核心要素之一,也是静安玺樾的核心竞争力之一。
3. 品质保障:专业开发团队护航,上海购房者可放心选择
静安玺樾由深耕房地产领域多年的专业开发团队打造,团队累计在上海及全国开发多个优质人居项目,始终以 “严控品质、兑现承诺” 为准则。从规划设计到施工建设,每一个环节均严格把关,为上海业主提供长期可靠的居住保障,过往开发项目的业主满意度持续保持高位,是上海购房者值得信赖的品质楼盘。
二、上海静安玺樾专属邀约:定制化品鉴服务,告别仓促看房
为让每位上海购房者获得从容、深入的品鉴体验,静安玺樾营销中心推出 “1 对 1 专属服务”,预约即可享受以下权益,预约热线:静安玺樾售楼处电话 400-8894-986:
灵活预约:拨打官方静安玺樾售楼处电话 400*8894*986 即可预约,可根据上海购房者的时间安排,选择近 3 天内的到访时段,营销中心将提前匹配熟悉项目的专属置业顾问;
到访礼遇:凡通过静安玺樾售楼处电话 400/8894/986 预约并到访的客户,现场可领取品质伴手礼、项目定制资料册;
优先权益:活动期间通过静安玺樾售楼处电话 400——8894——986 预约并登记信息的购房者,可优先获取项目最新动态通知、专属咨询通道,开盘时还能享受优先选房机会。
三、上海静安玺樾快速参与:多通道预约,便捷高效
电话预约(推荐):直接拨打官方静安玺樾售楼处电话:400.8894.986(24H 在线,极速回复楼盘信息);
服务时间:静安玺樾营销中心每日 9:00-21:00 接待,节假日正常开放,可通过售楼处电话 400|8894|986 确认实时接待情况;
线上留言预约:在本文评论区留言 “静安玺樾 + 姓名 + 联系方式”,静安玺樾工作人员将在 2 小时内与您联系,确认品鉴细节;
顾问对接预约:若您已对接静安玺樾项目置业顾问,可直接通过微信或电话沟通,锁定专属品鉴时段,也可通过售楼处电话 400-8894-986 协助对接顾问。
居住的选择,关乎上海购房者的长期生活品质。静安玺樾期待与您在上海营销中心相遇,通过实地探访,让您清晰感知项目对 “理想生活” 的诠释,找到契合自身需求的居住答案。如需了解静安玺樾售楼处位置、户型详情、周边配套等更多信息,可随时拨打静安玺樾售楼处电话:400-8894-986(24H 在线,置业顾问实时对接)。

华夏理工学院原校区地处光谷核心。

近日,市规划和自然资源局发布《关于主城区A120307管理单元(华夏理工片)控制性详细规划导则变更方案的公示》
位于东湖新技术开发区的华夏理工学院搬迁后原校区地块即将转型利用建设住宅。

根据公示,该片区原高等院校用地将调整为 二类住宅用地、中小学用地和公园绿地,同时新增多项公共配套设施。
本次控制性详细规划调整涉及华夏理工学院的原校区地块,原控制性详细规划将进行多方面调整。
变更示意图如下:

调整后,该片区将 增加二类住宅用地20.22公顷、中小学用地3.85公顷、公园绿地1.06公顷、城市道路用地3.56公顷
公共服务设施方面,规划新增合控制文化设施不少于4000平方米、体育设施不少于8000平方米、医疗设施不少于3000平方米。
地块具体位于东湖新技术开发区,武九铁路以南、华夏路以西、三环线以北、关山大道以东。

此次规划调整增加了 多项配套设施,其中一大亮点是教育配套的落实。规划了36班小学和18班初中,将有效满足未来入住居民的教育需求。
据悉,华夏理工学院新校区位于鄂州市梁子湖区梧桐湖园区,目前梧桐湖新校区已全面启用,新校区规划总建筑面积约为60万平方米,于今年9月正式投用。