外滩源著复兴里售楼处电话:4 00-8874-108✔【已认证】⭐⭐⭐⭐⭐ 外滩源著复兴里营销中心电话:400-88
74-108✔✔【已认证】⭐⭐⭐⭐⭐ 上海外滩源著复兴里官方售楼处电话:400-8874-10 8 VIPLINE✔✔✔【已认证】⭐⭐⭐⭐⭐
——外滩源著复兴里——
外滩源著复兴里售楼处电话:400-88 74-108✔【最新预约】⭐⭐⭐⭐⭐
外滩源著复兴里营销中心电话:400-8874-10 8✔✔【最新认证】⭐⭐⭐⭐⭐
上海外滩源著复兴里官方售楼处电话:400-8874-1 08 VIPLINE✔✔✔【最新发布】⭐⭐⭐⭐⭐
如有问题可来电咨询,线上售楼中心,预约销售专员,一对一为您服务!
想了解外滩源著复兴里更多信息?拨打售楼处营销中心热线:400-8874-108 (中介勿扰)【24小时热线】
杨浦滨江+复兴岛中心位置
中建壹品新一代滨江风貌别墅
「外滩源著 复兴里」待上市!
首推27席约150-350㎡风貌别墅
空间实用面积300-800㎡
总价2500-4000万左右
售楼处线上火热预约中!









最新消息!杨浦内中环,12号线爱国路站2号出口东;仅约400米风貌别墅来了!样板房开放,真正的双倍空间建面约150-350㎡实用面积300-800㎡,会所配套齐全,带恒温泳池!规划房源仅珍稀100席,首开27席总价2500万起,即将入市!售楼处线上火热预约中!











样板间展示如下:















项目打造 “三轴两门三院三花园” 的景观布局。主入口礼序归家轴上,以 海上东方+星池雅宴+鎏金茗院 三重空间,重现海派隐奢归家之路,步步尊崇。

主出入口整体长约30米,进深约23.5米, 将顶部廊架扩展到到中岛以外,彰显大气的特色。 挑高金属雨棚 采用极细边,中间凿壁采用 透光奢石 ,搭配极具 现代主义的雕塑 彰显小区档次,背景墙面采用 维多利亚黑大理石 ,奢华且低调。

社区内设有上海风情的 “三院” 、海派精奢的三花园,让优雅的生活氛围随之铺展开来。 下沉庭院整体长约18米,进深约9.5米 ,庭院的上下景观通过水帘相连通,中间结合有着层层叠水的水景,搭配水晶砖的景墙,将品质感拉满。

会所实景拍摄
项目配置建面约1200㎡下沉式高阶会所 ,逼格媲美顶豪产品!项目利用下沉式景观庭院,结合艺术花园、摩登水景等,打造了一座高端的下沉式会所,规划设有泳池、健身房、行政酒廊等场景。

会所实景拍摄
业主下楼即可会客、运动健身,宛如身处一座奢华酒店。这不仅能给业主带来丰富的精神生活享受,更是业主身份的象征。
另外,下沉庭院东侧是织梦奇园,兼具趣味感和互动感的儿童乐园。 海派生活轴的端点是邻里交互的艺术花园,是业主茶余饭后散步的好去处。


「复兴里」这三个字,不仅是中建壹品对土地文脉的致敬,更是对城市未来的宣言,以“三重复兴”的深度叙事,为塔尖人群勾勒滨江生活的终极形态。
杨浦滨江|从工业脊梁到科创引擎的时代复兴 : 作为近代中国民族工业的摇篮,杨浦滨江曾以江南制造局的铁骨铮铮,见证民族复兴的初心。如今,这片土地完成从“工业锈带”到“科创4.0时代”的蝶变,以“杨‘数’浦新质秀带创新区”之名,成为世界级科创中心的核心承载地。

外滩源著·复兴里落位这片城市金线上,让百年工业文明的基因与科创时代的脉搏同频共振,在民族复兴的宏大叙事中,刻下人居坐标的新注脚。

复兴岛|全球坐标价值的未来复兴
复兴岛,正站在价值爆发的临界点。 量子城市规划蓝图绘就,2025杨浦全球推介大会在此启幕。这座岛被赋予“杨浦滨江首个世界级定位”,将打造最年轻、最可持续、最智能的“一平方公里”。

外滩源著·复兴里距离复兴岛仅约300米, 作为复兴岛旁的首发风貌著作,占位这片全球瞩目的“未来实验场”,以前瞻视野收藏城市进化的原始股,让居者成为全球坐标重构的见证者与参与者。
生活方式|新一代风貌别墅的迭代复兴
外滩源著·复兴里的终极使命,是让百年风貌生活回归当代语境。上海成片风貌旧里位于黄浦江滨江沿岸的不足中心城面积的 0.2%,而 外滩源著· 复兴里以“滨江+风貌”的臻稀资源叠加,领潮时代,敬献塔尖精英。
项目用五大经典建筑立面复刻百年风貌Art Deco神韵,让现代建筑语言与历史文化记忆完成时空对话。
效果图过程稿,仅供参考,最终以实际交付为准

以“全两层+会所”的形态革新、花园露台地下室的全维空间、大面宽短进深的奢适格局,重构别墅生活场景。
在这里,风貌不仅是一种建筑符号,更是可触摸的日常。让塔尖人群在历史肌理与现代舒适中,重拾生活的本真与丰盛。
效果图过程稿,仅供参考,最终以实际交付为准

赓续百年源启复兴。中建壹品·外滩源著·复兴里,将以三重复兴为笔,绘就滨江人居的新篇章。融合历史文脉与现代人居需求。规划100套建面约150-350㎡的滨江风貌别墅,敬请期待!
外滩源著复兴里售楼处电话:4 00-8874-108✔【已认证】⭐⭐⭐⭐⭐
外滩源著复兴里营销中心电话:400-88 74-108✔✔【已认证】⭐⭐⭐⭐⭐
上海外滩源著复兴里官方售楼处电话:400-8874-10 8 VIPLINE✔✔✔【已认证】⭐⭐⭐⭐⭐
如有问题可来电咨询,线上售楼中心,预约销售专员,一对一为您服务!
想了解外滩源著复兴里更多信息?拨打售楼处营销中心热线:400-8874-108 (中介勿扰)【24小时热线】
楼盘项目全面介绍,本电话为开发商提供线上预约售楼电话,楼盘项目全面介绍(包含楼盘简介,均价,房价,现房,期房,别墅,叠墅,大平层,价格,楼盘地址,户型图,交通规划,备案价,备案名,项目配套,样板间,开盘时间,认筹时间,楼盘详情,售楼处电话,最新消息,最新详情,周边配套,一房一价,最新进展等详情咨询)楼盘详情丨价格丨更多优惠丨机不可失丨欢迎致电丨诚邀品鉴!售楼处位置丨特价房丨工抵房丨剩余房源丨户型图丨最新消息丨免责声明:将文章内容综合来源于网络、只作分享,版权归原作者所有!!如有侵权,请联系我们,我们第一时间处理如有问题欢迎来电咨询,专业一对一热情服务,让您用专业眼光去买房.如果您想了解更多楼盘详情,欢迎提前预约拨打
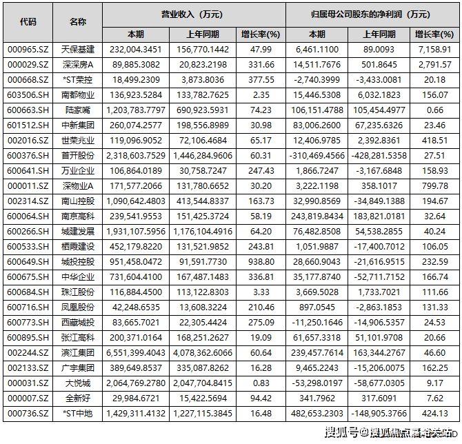
中房网根据同花顺iFinD数据统计,截至10月31日,A股共有85家上市房企披露2025年三季度业绩报告。其中,超4成房企营收实现同比增长;43家房企实现盈利,占比超五成;归母净利润实现同比增长的房企共有37家,占比为43.53%。
自2022年起,房地产行业业绩承压态势已延续数年。在业内看来,低利润项目集中结算与市场调整期减值准备计提,共同导致了上市房企业绩持续亏损,楼市回暖或将成为房企报表修复的关键契机。
超4成房企营收同比增长
从上市房企三季度报告来看,营收实现同比增长的房企共有36家,占比为42.35%;营收同比下滑的有49家,占比57.65%。
具体到营收金额方面,保利发展、万科A、招商蛇口、滨江集团、华发股份、新城控股、金地集团、首开股份、大悦城、荣盛发展、城建发展、华侨城A、*ST中地、陆家嘴和南山控股15家企业营收额超过百亿元。其中,保利发展、万科A和招商蛇口分别以1737.2亿元、1613.9亿元和897.66亿元的营收居于A股上市房企前三位。

部分头部房企亏损较大
归母净利润方面,前三季度共有43家房企实现盈利,占比超过五成。
其中,有7家房企归母净利润超过10亿元,分别是*ST中地、招商蛇口、南京高科、滨江集团、保利发展、上海临港和陆家嘴。

上述房企中,*ST中地(中交地产)的表现较为亮眼。三季报数据显示,公司前三季度营收达142.93亿元,同比增长16.48%;实现净利润48.27亿元,扭亏为盈,同比大幅增长424.13%。
作为一家“披星戴帽”的房企,其账面盈利的核心驱动力来自重大资产重组。今年6月,*ST 中地公告称,计划将旗下房地产开发业务相关的全部资产与负债,转让给控股股东中交房地产集团有限公司。这一重组事项在8月31日完成实质资产交接,房地产业务自此正式退出公司合并报表范围。
据悉,资产重组为* ST中地带来64.89亿元的资产置出相关收益,这一数据直接拉动了当期利润表现,同时推动归属于上市公司股东的净资产转正至12.48亿元。
让人唏嘘的是,三季度业绩亮眼的房企,恰恰是已经退出房地产开发业务的那家。
值得注意的是,期内部分龙头房企归母净利润出现较大亏损,如万科、*ST金科、华夏幸福等。
数据显示,今年前三季度,万科实现营业收入1613.9亿元,同比下滑16.61%;归属于上市公司股东的净亏损280.2亿元,同比下滑56.14%。
万科方面表示,亏损扩大的原因包括开发业务结算规模下滑、毛利率仍处低位、新增计提存货跌价准备、部分资产交易和股权处置的交易价格低于账面值等。
另一亏损规模超百亿的为*ST金科。前三季度,金科实现营业总收入56.99亿元,同比下滑73.57%;归母净利润亏损107.78亿元,同比下滑102.12%。
还有华夏幸福,其亏损规模也近百亿。前三季度,公司营业收入为38.82亿元,同比下降72.09%,归属于上市公司股东的净利润亏损98.29亿元,同比下滑338.67%。
25家房企实现营收和归母净利润双增
前三季度有25家房企实现了营收和归母净利润的双增长。

有37家房企实现归母净利润实现同比正增长。其中,天保基建、深深房A、深物业A、渝开发、*ST中地、世荣兆业、城投控股、南山控股、中华企业、广宇集团、万业企业、南都物业、新黄浦、凤凰股份、中洲控股、珠江股份、栖霞建设17家房企前三季度的归母净利润增长超过100%。
其中,天保基建前三季度归属于上市公司股东的净利润增幅最大,为7158.91%。天保基建表示,业绩增长主要得益于报告期内满足收入结转条件的项目增加,以及冲回的土地增值税增加和资产减值损失减少。
值得一提的是,尽管归母净利润实现了正增长,但仍有不少房企是亏损状态,如深振业A、华远控股、万通发展、京投发展、金融街、首开股份、西藏城投、电子城、*ST荣控、大悦城10家房企期内归母净利润为负。

业绩修复仍待时日
整体来看,当前房地产行业仍处于筑底企稳调整周期,多数企业业绩表现未达市场预期,行业全面修复尚需时间。
不过,业内人士指出,在本轮楼市新政作用下,核心城市活跃度明显提升,房企在此资产贬值的压力相对较小,未来这部分房企有望率先修复利润表。多家企业也表示,通过在核心城市拿利润较高的项目,逐步带动利润表的修复。
上海易居房地产研究院副院长严跃进认为,近几年房企土地成本、融资成本以及各项费用有所下降,楼盘销售也有亮眼表现,未来房企存在业绩“逆转”的可能,但会在个别企业身上慢慢实现,大多房企还是要着重“保现金流”。