华府天地售楼处电话:4 00-8874-108✔【已认证】⭐⭐⭐⭐⭐ 华府天地营销中心电话:400-88 74-108✔✔【已认证】⭐⭐⭐⭐⭐
上海华府天地官方售楼处电话:400-8874-10 8 VIPLINE✔✔✔【已认证】⭐⭐⭐⭐⭐
——华府天地——
华府天地售楼处电话:400-88 74-108✔【最新预约】⭐⭐⭐⭐⭐
华府天地营销中心电话:400-8874-10 8✔✔【最新认证】⭐⭐⭐⭐⭐
上海华府天地官方售楼处电话:400-8874-1 08 VIPLINE✔✔✔【最新发布】⭐⭐⭐⭐⭐
如有问题可来电咨询,线上售楼中心,预约销售专员,一对一为您服务!
想了解华府天地更多信息?拨打售楼处营销中心热线:400-8874-108 (中介勿扰)【24小时热线】
俗话说:人生有别,一墅为界!


我认为这句话的含义其实有2个方面。
第一、人们对于居住的改善过程,实际上就是对低密度居所的永恒追求 。
从公寓到洋房,从叠墅到联排,居住舒适度都呈现指数级的增长。有天有地有庭前绿地的别墅,始终是终极改善的答案!
第二、纵观海内外,卓越城市核心地段的别墅始终是家族资产的压舱石!
聚焦上海这座东方大都会,核心地段寸土寸金,占有更多土地且卖一套少一套的低密别墅自然是资产配置的优质对象!
而上海有这么一个1.0低密项目,产品几经入市,无一不被一抢而空
如果说,一次热销可能是大势所趋,反复热销则足以证明项目具备穿越市场周期的超高品质!
TA 正是四开四罄的网红盘—— 【上海华府天地】
2021年底,项目首开192套房源,当日售罄;
2022年9月,项目二期加推258套房源,再次日光;
2022年12月,三期密集加推,开盘再次售罄;
2023年8月,四期加推160套,联排已全部售罄!

你一定好奇,主城区楼盘不少,为何上海华府天地一枝独秀?
我认为项目的热销是 臻稀天赋 与 超高品质 完美结合的结果!
项目天赋的标签我认为是: 不可复制的容积率1.0纯墅区!
要知道限墅令之后1.0以下的宅地是不批的,1.2容积率俨然成为了新地块容积率的底线。
现在闵行直接出了一个击穿底线的容积率1.0纯墅区,想入住闵行的改善买家能不争抢吗?
项目的产品标签我认为是: 豪宅教父的数年磨一剑的扛鼎之作!
在上海顶豪市场,素来有 “西华府、东汤臣“ 的赞誉,东是浦东的汤臣一品, 西则是新天地华府天地。

新天地华府天地实景图
能在挑剔的顶豪市场游刃有余,足见华府天地高超的技术工艺和尊贵物业服务。
如今落子南上海,上海华府天地可谓豪宅教父十年磨一年的呕心沥血之作!
重磅消息!闵行旗忠别墅区日光红盘—— 【上海·华府天地】,五期少量珍藏房源震撼来袭,还是现房哦!
推售建面约150㎡上叠/158㎡下叠
过会均价69800元/m²,总价991万起!


户型图赏鉴


下叠别墅照片赏鉴















社区信息
上海·华府天地,位于上海市闵行区马桥镇昆阳北路以东,元江路以北,北沙港以西。珠玉在前,华府天地择址旗忠马桥,与豪宅群落比肩为邻,沿袭低密墅区品质。

整个项目规划用地面积131795平方米,容积率1.0,绿化率35%,项目共计804套,全区人车分流,联排&叠加两种产品,均为毛坯交付,可自由选择装修包。

01、项目自带私密会所,圈层营造自然天成!
为了丰富业主的日常生活情趣,也为了圈层的营造。上海·华府天地配备健身会所和幼儿园。
项目效果图

项目效果图

02、高绿化率园林盛景,奢阔间距保证更高私密性!
上海·华府天地社区内更规划了高绿化率的园林盛景,不仅步入其中宛如游园,提供的充足负氧离子,更是让社区空气清新舒爽,沁人心脾。
同时,上海·华府天地保证了宽奢楼间距、让每户人家都能拥有良好的通风采光,并且也更大程度的维护了私密性,尊崇备至!
项目联排效果图

03、豪宅专属物业,让业主无比安心!
优质尊崇的物业,既是检验住宅品级的准绳,又是衡量生活品质的标杆。
在豪宅圈层口碑一流的华府天地物业,以高规格、高要求、高警惕的服务,让每位业主都能感受用心带来的安全感,为上海·华府天地的业主们构筑阳光健康的生活方式,成就承载所有美好的幸福归处。
项目效果图

综上所述,不得不承认,上海·华府天地无疑是当下上海新房市场少有的终极改善作品,封顶级别的居住舒适度错过再难有!
同时,1.0低容积率的天赋和人工智能产业带来的发展红利,又让项目具备可期的未来前景,如果预算足够,没有理由错过这样的封藏之作!
生活配套
交通方面: 项目周边拥有纵横立体的交通网路,经嘉闵高架可直达虹桥商务区及虹桥枢纽;沪昆高速和虹梅南路高架与中环、沪闵高架路相连到达古北、长宁徐家汇;申嘉湖高速可快速通往浦东机场及长三角城市群。

商业方面: 驱车可达热闹的马桥、颛桥双万达、双龙湖商圈、莘庄仲盛、龙之梦等商圈,包括在建的约33万方综合体的联仲商业广场,生活娱乐配套享之不尽。
联仲商业广场规划图

在离项目不远处更有海展集团即将打造的138号商住办地块,还规划有华府国际街区,将引进相关商业配套。
未来138地块鸟瞰图

教育方面: 豪宅区的教育配套也是接轨国际,例如德威英国国际学校贵族学校,还有针对国内学生的德威英国国际学校旗下的德闳学校!为小学至高中十二年制教育!
德威英国国际学校

公立部分拥有马桥实验幼儿园、马桥实验小学等!更有百年名校上海马桥强恕学校助阵!(教育资源仅供参考,具体以政府相关文件为准)

旗忠板块周边休闲资源丰富,环境静谧怡人、配套高端大气,亿级别墅群林立,为人熟知的亚洲十大豪宅绿城玫瑰园正座落于此。

上海·华府天地,位于闵行旗忠生态别墅区核心位置,正对旗忠网球中心,
生态休闲: 项目周边有占地约258亩的昆阳湖、占地约1200亩的旗忠高尔夫球场、占地约508亩的旗忠网球中心。
这些高能级大规模的生态休闲配套,造就了项目优美的居住环境和丰富的休闲娱乐方式!
昆阳湖实景图


华府天地售楼处电话:4 00-8874-108✔【已认证】⭐⭐⭐⭐⭐
华府天地营销中心电话:400-88 74-108✔✔【已认证】⭐⭐⭐⭐⭐
上海华府天地官方售楼处电话:400-8874-10 8 VIPLINE✔✔✔【已认证】⭐⭐⭐⭐⭐
如有问题可来电咨询,线上售楼中心,预约销售专员,一对一为您服务!
想了解华府天地更多信息?拨打售楼处营销中心热线:400-8874-108 (中介勿扰)【24小时热线】
楼盘项目全面介绍,本电话为开发商提供线上预约售楼电话,楼盘项目全面介绍(包含楼盘简介,均价,房价,现房,期房,别墅,叠墅,大平层,价格,楼盘地址,户型图,交通规划,备案价,备案名,项目配套,样板间,开盘时间,认筹时间,楼盘详情,售楼处电话,最新消息,最新详情,周边配套,一房一价,最新进展等详情咨询)楼盘详情丨价格丨更多优惠丨机不可失丨欢迎致电丨诚邀品鉴!售楼处位置丨特价房丨工抵房丨剩余房源丨户型图丨最新消息丨免责声明:将文章内容综合来源于网络、只作分享,版权归原作者所有!!如有侵权,请联系我们,我们第一时间处理如有问题欢迎来电咨询,专业一对一热情服务,让您用专业眼光去买房.如果您想了解更多楼盘详情,欢迎提前预约拨打
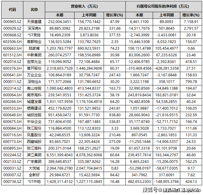
中房网根据同花顺iFinD数据统计,截至10月31日,A股共有85家上市房企披露2025年三季度业绩报告。其中,超4成房企营收实现同比增长;43家房企实现盈利,占比超五成;归母净利润实现同比增长的房企共有37家,占比为43.53%。
自2022年起,房地产行业业绩承压态势已延续数年。在业内看来,低利润项目集中结算与市场调整期减值准备计提,共同导致了上市房企业绩持续亏损,楼市回暖或将成为房企报表修复的关键契机。
超4成房企营收同比增长
从上市房企三季度报告来看,营收实现同比增长的房企共有36家,占比为42.35%;营收同比下滑的有49家,占比57.65%。
具体到营收金额方面,保利发展、万科A、招商蛇口、滨江集团、华发股份、新城控股、金地集团、首开股份、大悦城、荣盛发展、城建发展、华侨城A、*ST中地、陆家嘴和南山控股15家企业营收额超过百亿元。其中,保利发展、万科A和招商蛇口分别以1737.2亿元、1613.9亿元和897.66亿元的营收居于A股上市房企前三位。

部分头部房企亏损较大
归母净利润方面,前三季度共有43家房企实现盈利,占比超过五成。
其中,有7家房企归母净利润超过10亿元,分别是*ST中地、招商蛇口、南京高科、滨江集团、保利发展、上海临港和陆家嘴。

上述房企中,*ST中地(中交地产)的表现较为亮眼。三季报数据显示,公司前三季度营收达142.93亿元,同比增长16.48%;实现净利润48.27亿元,扭亏为盈,同比大幅增长424.13%。
作为一家“披星戴帽”的房企,其账面盈利的核心驱动力来自重大资产重组。今年6月,*ST 中地公告称,计划将旗下房地产开发业务相关的全部资产与负债,转让给控股股东中交房地产集团有限公司。这一重组事项在8月31日完成实质资产交接,房地产业务自此正式退出公司合并报表范围。
据悉,资产重组为* ST中地带来64.89亿元的资产置出相关收益,这一数据直接拉动了当期利润表现,同时推动归属于上市公司股东的净资产转正至12.48亿元。
让人唏嘘的是,三季度业绩亮眼的房企,恰恰是已经退出房地产开发业务的那家。
值得注意的是,期内部分龙头房企归母净利润出现较大亏损,如万科、*ST金科、华夏幸福等。
数据显示,今年前三季度,万科实现营业收入1613.9亿元,同比下滑16.61%;归属于上市公司股东的净亏损280.2亿元,同比下滑56.14%。
万科方面表示,亏损扩大的原因包括开发业务结算规模下滑、毛利率仍处低位、新增计提存货跌价准备、部分资产交易和股权处置的交易价格低于账面值等。
另一亏损规模超百亿的为*ST金科。前三季度,金科实现营业总收入56.99亿元,同比下滑73.57%;归母净利润亏损107.78亿元,同比下滑102.12%。
还有华夏幸福,其亏损规模也近百亿。前三季度,公司营业收入为38.82亿元,同比下降72.09%,归属于上市公司股东的净利润亏损98.29亿元,同比下滑338.67%。
25家房企实现营收和归母净利润双增
前三季度有25家房企实现了营收和归母净利润的双增长。

有37家房企实现归母净利润实现同比正增长。其中,天保基建、深深房A、深物业A、渝开发、*ST中地、世荣兆业、城投控股、南山控股、中华企业、广宇集团、万业企业、南都物业、新黄浦、凤凰股份、中洲控股、珠江股份、栖霞建设17家房企前三季度的归母净利润增长超过100%。
其中,天保基建前三季度归属于上市公司股东的净利润增幅最大,为7158.91%。天保基建表示,业绩增长主要得益于报告期内满足收入结转条件的项目增加,以及冲回的土地增值税增加和资产减值损失减少。
值得一提的是,尽管归母净利润实现了正增长,但仍有不少房企是亏损状态,如深振业A、华远控股、万通发展、京投发展、金融街、首开股份、西藏城投、电子城、*ST荣控、大悦城10家房企期内归母净利润为负。

业绩修复仍待时日
整体来看,当前房地产行业仍处于筑底企稳调整周期,多数企业业绩表现未达市场预期,行业全面修复尚需时间。
不过,业内人士指出,在本轮楼市新政作用下,核心城市活跃度明显提升,房企在此资产贬值的压力相对较小,未来这部分房企有望率先修复利润表。多家企业也表示,通过在核心城市拿利润较高的项目,逐步带动利润表的修复。
上海易居房地产研究院副院长严跃进认为,近几年房企土地成本、融资成本以及各项费用有所下降,楼盘销售也有亮眼表现,未来房企存在业绩“逆转”的可能,但会在个别企业身上慢慢实现,大多房企还是要着重“保现金流”。