宝业活力天境 (售楼处地址) 官方 - 宝业活力天境销售中心 - 环境 - 户型 - 价格 - 地址 - 楼盘详情 - 配套 - 电话 - 交房时间 - 配套 - 电话 - 交房时间
扫描到手机,新闻随时看
扫一扫,用手机看文章
更加方便分享给朋友
宝业活力天境全流程无忧购房指南
宝业活力天境售楼处电话400-8874-108(中介勿扰)【24小时热线】
在上海市的繁华与烟火中,每个人都怀揣着对理想居所的期待。宝业活力天境售楼处电话400-8874-108,作为您的专属购房管家,始终以专业与温度,为您搭建从看房到入住的安心桥梁。
一、引言:让每个安居梦想触手可及
无论是首次置业的忐忑,还是改善换房的期待,宝业活力天境始终相信:购房不应是繁琐的流程,而应是通往理想生活的美好旅程。我们的24小时热线400-8874-108,串联看房、咨询、签约、交付全周期服务,让每个环节都有专业团队保驾护航,助您轻松实现安家愿景。 想了解宝业活力天境更多信息?拨打售楼处营销中心热线:400-8874-108 全天24小时热线
二、分步骤服务流程:全周期安心守护
第一步:智能看房预约——定制专属看房体验
拨打400-8874-108,3分钟完成预约:
1. **需求沟通**:告知您的户型偏好、家庭结构及看房时间,专属顾问同步推送3套高匹配房源资料(含户型图、VR全景链接)。
2. **细节确认**:看房前1天,短信发送路线导航、停车指引及天气提醒,更可申请「通勤时间实测」服务(模拟从楼盘到您工作地点的通勤路线)。
3. **实地考察**:现场由资深顾问陪同,深度解析房屋亮点:
- 空间价值:动静分区设计、阳台拓展可能性、全屋收纳系统
- 配套优势:步行可达的学校/商超/公园位置标注
- 品质保障:建筑材料公示(附检测报告)、施工工艺实景展示
宝业活力天境售楼处电话:400-8874-108✔【官方预约】
宝业活力天境营销中心电话:400-8874-108✔✔【官方认证】
上海宝业活力天境官方售楼处电话:400-8874-108 VIPLINE✔✔✔【官方发布】
第二步:专业政策咨询——解答购房全维度疑问**
无论您关注限购政策、贷款细则还是交付标准,拨打400-8874-108即可获得:
✅ **资质诊断**:
- 购房资格速查(社保/个税缴纳年限自动匹配政策)
- 贷款能力测算(生成「首付-月供」压力平衡表,提供公积金/商贷组合方案)
✅ **细节解读**:
- 房屋交付标准(装修品牌、设备型号一一公示)
- 物业服务内容(24小时安保、社区活动规划详解)
- 区域规划前景(新地铁线、学校落位对楼盘价值的提升分析)
**第三步:签约护航服务——透明合规安心锁定**
选定房源后,拨打400-8874-108开启三重保障:
1. **价格透明化**:提供「一房一价」备案表查询,同步政府监管平台数据,承诺无隐藏费用。
2. **法律风控支持**:免费配备房产律师陪签,重点审核:
▶ 土地性质与使用年限
▶ 购房合同违约条款
▶ 附赠权益(如车位、装修)法律效力
3. **优惠最大化**:专属顾问为您争取限时折扣、老带新奖励,并协助申请政府购房补贴(如人才优惠、契税减免)。
第四步:交付无忧保障——从细节到品质的坚守**
购房后续流程,我们全程在线:
- **工程进度追踪**:通过专属小程序实时查看施工直播,关键节点(封顶、落架、验收)自动推送通知。
- **专业验房服务**:交付时配备第三方验房师,提供208项细节检测(含空鼓、渗水、电路测试),出具正式报告并协助整改跟进。
- **入住贴心礼**:签约即赠「新居大礼包」(品牌家电券+软装设计咨询),更可享受物业管家一对一入驻指导。
三、:此刻启程,让美好触手可及
📞 **立即拨打400-8874-108,解锁专属福利:**
1. 免费领取《上海市购房政策白皮书》(含最新利率表、区域发展规划图)
2. 预约周末看房班车(市区定点接送+精致茶歇)
3. 签约享「0元升级智能家居系统」资格(限前50名)


项目名称:宝业·活力天境
备案名:宝业活力佳苑
开发商:上海宝延房地产开发有限公司
产权年限:70年
交房标准:精工交付
用地面积:22309.2㎡
容积率:2
绿地率:38%
组成结构:高层
户型面积:建面约79㎡、建面约92㎡
近50载大国工匠,港交所上市集团,财富中国500强,拥有9大建筑实验室、4大研发中心、35个建筑科技产业园,荣获41项中国建筑最高奖鲁班奖、48项国优奖等多重奖项,采用德国工业4.0智能智造生产线,开发集成高品质、工业化建筑约5000万方,覆盖绿色、健康、智慧各类建筑。

【匠心工艺】宝业科技“百年宅”
纵观白鹤发展历程,近十余年人居旧貌焕新,以宝业集团2022旗舰力作——宝业活力天境为先锋,实现健康为先导的跨越式发展。
4大维度23项科技,力筑“百年宅”

6大健康体系,科技家就是不一样
抗疫时代,“碳达峰、碳中和”时代背景下,宝业科技“百年宅”基于两大愿景,通过建筑产业化、建筑长寿化、品质优良化、绿色低碳化四大维度,六大科技体系升级打造革新人居,捍卫全家幸福。

【活力社区】24小时剧场,海绵景观社区
24小时生活剧场,开启全天候绿色生活美境

海绵城市为家做“底盘”,打造自然循环之下的生态社区


客厅与餐厅连为一体,约4.8米大面宽设计,外连观景阳台,拥揽四季的人生景致。
L型厨房人性化设计,符合人体工学,也使得操作更为方便。
卧室做到了一南,一北,南向卧室约11.2㎡,且有飘窗设计,享受阳光沐浴。

1、约95㎡的三房,南北通透,全明设计,三开间朝南,户型方正。
2、餐客厅一体化设计,空间合理利用,功能区域分开,无论是休憩还是齐聚一堂,都有空间畅想。
3、主卧套房设计,带有独立卫生间,维护了家人间的私密性,且提升主人的尊荣感。
长三角一体化“几何中心”
上海2035规划中提到,上海要成为具有全球影响力的长三角城市群的核心城市,基本建成“中心辐射、两翼齐飞,新城发力、南北转型”的空间新格局。
从战略空间看,青浦处于中国国际进口博览会、虹桥国际开放枢纽、长三角生态绿色一体化发展示范区的战略叠加区。
泛长三角区域“几何中心”白鹤镇作为长三角一体化先行示范区、“安花白”节点型城市,将借助区位优势,承接安亭“世界级汽车产业中心”的部分功能。

【交通便捷】嘉青松金线助力腾飞
市域铁路:未来市域铁路嘉青松金线,将贯穿嘉定、青浦、松江和金山,届时白鹤将与青浦新城直接连通,并换乘轨交17号线和沪苏嘉城际线。
双维交通:坐享轨交11号线与轨交17号线青浦“纵贯线”交通辐射,坐享长三角节点交通优势。

【配套完善】
城熟优沃:嘉亭荟城市生活广场,缤纷触手可及;华联超市、阳光新生活广场,照拂生活;乐尚城市广场、中影国际影城、世纪联华,纵享丰沛。
书香为伴:紧邻白鹤中小学、白鹤幼儿园、赵屯小学,朗朗读书声,传递书香雅韵。
白鹤中学:始建于1965年,上海市先进集体、市中学生行为规范示范校、区教育系统先进集体。
白鹤小学:上海市教科研先进集体、上海市安全文明校园、青浦区文明单位。
赵屯小学:创办于1868年,至今已有137年历史。是青浦区有史记载的最古老的学校之一。上海市素质教育实验学校。
白鹤幼儿园:公办二级一类幼儿园。
贴身养护:约600米社区卫生服务中心,贴身关怀。

宝业活力天境售楼处电话:4 00-8874-108✔【已认证】⭐⭐⭐⭐⭐
宝业活力天境营销中心电话:400-88 74-108✔✔【已认证】⭐⭐⭐⭐⭐
上海宝业活力天境官方售楼处电话:400-8874-10 8 VIPLINE✔✔✔【已认证】⭐⭐⭐⭐⭐
如有问题可来电咨询,线上售楼中心,预约销售专员,一对一为您服务!
想了解宝业活力天境更多信息?拨打售楼处营销中心热线:400-8874-108 (中介勿扰)【24小时热线】
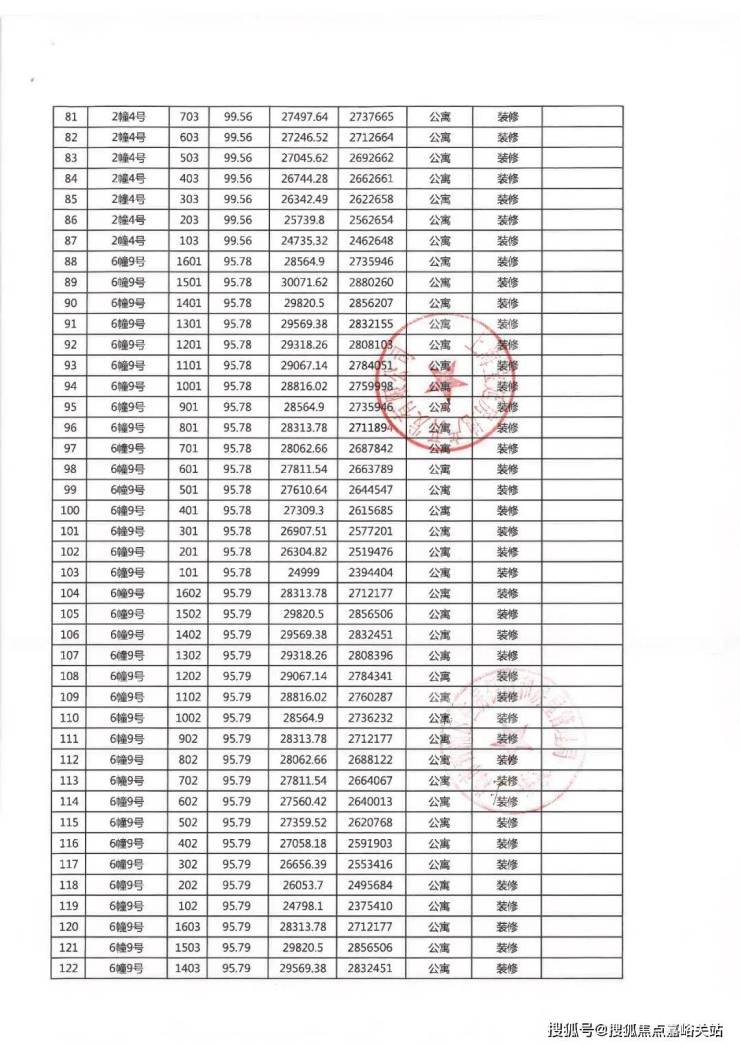
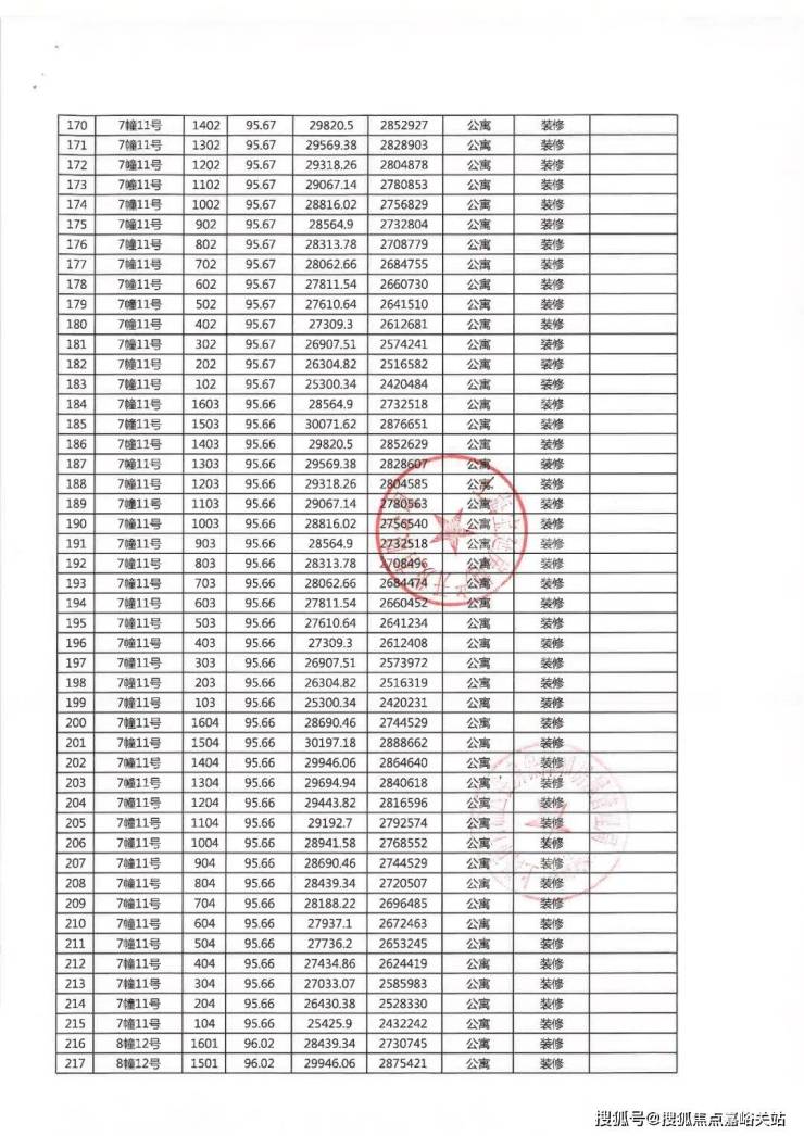
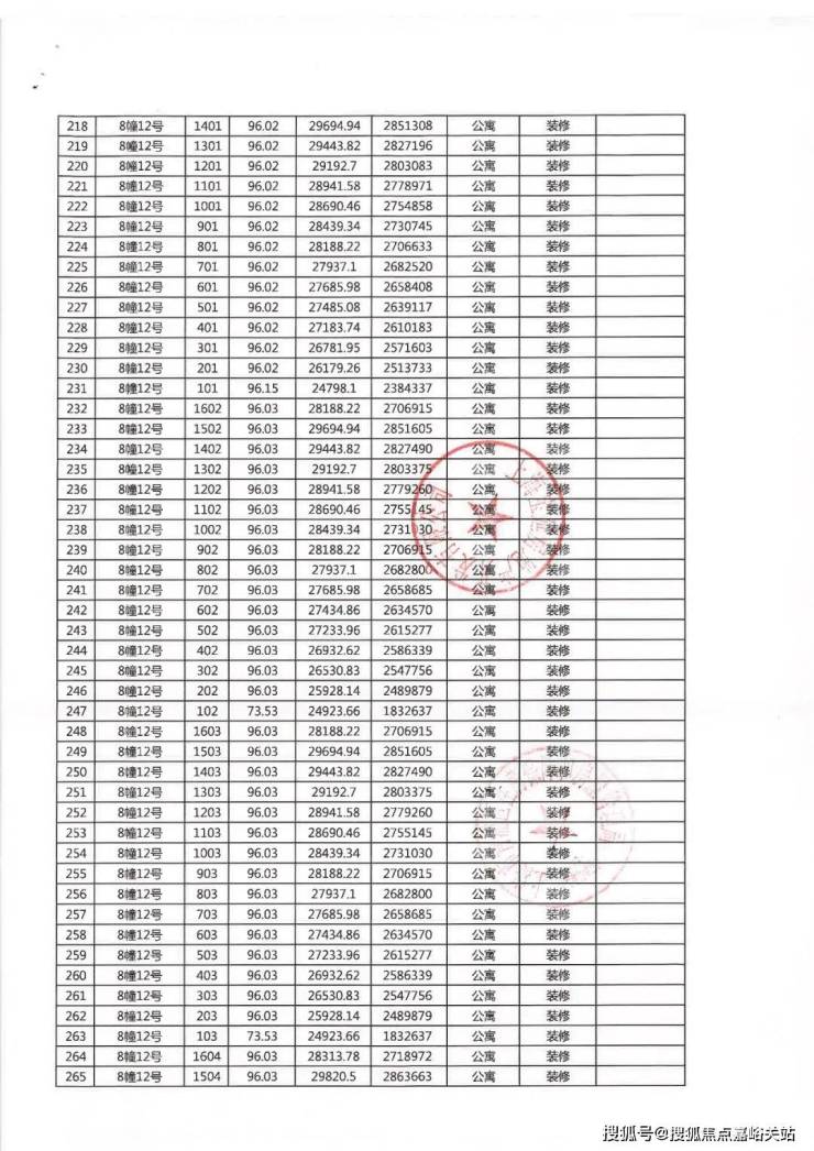
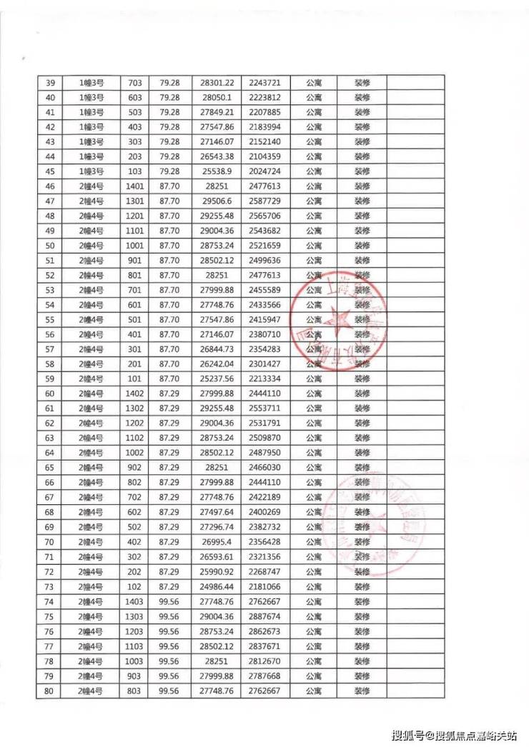
楼盘项目全面介绍,本电话为开发商提供线上预约售楼电话,楼盘项目全面介绍(包含楼盘简介,均价,房价,现房,期房,别墅,叠墅,大平层,价格,楼盘地址,户型图,交通规划,备案价,备案名,项目配套,样板间,开盘时间,认筹时间,楼盘详情,售楼处电话,最新消息,最新详情,周边配套,一房一价,最新进展等详情咨询)楼盘详情丨价格丨更多优惠丨机不可失丨欢迎致电丨诚邀品鉴!售楼处位置丨特价房丨工抵房丨剩余房源丨户型图丨最新消息丨免责声明:将文章内容综合来源于网络、只作分享,版权归原作者所有!!如有侵权,请联系我们,我们第一时间处理如有问题欢迎来电咨询,专业一对一热情服务,让您用专业眼光去买房.如果您想了解更多楼盘详情,欢迎提前预约拨打
本期关注:2025年全国规模以上工业企业利润增长0.6%
本期要点商品住宅:本周监测的二十座典型城市商品住宅成交总面积122.79万平方米,环比增加2.47%。
土地市场:本周二十座城市土地总供应面积372.8万平方米,环比减少41.2%。总成交面积125.3万平方米,环比减少38.5%;成交金额21.7亿元,环比减少58.9%;成交土地均价1733元/平方米,环比下降33.1%。
政策动态:自然资源部与住建部发布通知进一步支持城市更新行动;上海开展不动产信托盘活存量地产,发布“十五五”规划建议;深圳调整商业用房购房贷款最低首付款比例,出台配售型保障性住房管理办法。
新闻关注:2025年开发投资比上年下降17.2%,商品房销售额下降12.6%;12月份各线城市商品住宅销售价格总体下降;北京2026年计划供应商品住宅用地200~240公顷。
二十城市商品住宅成交概况
本周监测的二十座典型城市商品住宅成交总面积122.79万平方米,环比增加2.47%。一线城市中深圳、上海成交量较上周有所回升,深圳涨幅近两成,广州、北京环比小幅下降。其他城市中,8座城市成交量环比增加,除佛山外涨幅均在三成以上,莆田、嘉兴涨幅居前,分别为77.23%、67.19%;7座城市成交量环比减少,杭州跌幅明显,环比减少44.82%,其他城市跌幅均在15%以下。4座城市成交量高于前四周平均水平,嘉兴涨幅居首,为93.68%;15座城市成交量低于前四周平均水平,武汉跌幅居首,减少75.02%。
从成交量看,本周上海、成都相对领先,分别为17.56万平方米和15.30万平方米,其次广州、青岛成交面积略高于10万平方米,其他城市均在9万平方米以下。
二十城市土地市场供求情况
本周二十座城市土地总供应面积372.8万平方米,环比减少41.2%。其中经营性土地增加18.2%,非经营性土地减少46.1%。供应总建筑面积982.5万平方米,环比减少7.1%。
本周二十座城市土地总成交面积125.3万平方米,环比减少38.5%。其中经营性土地减少62.3%,非经营性土地减少32.9%。成交总建筑面积247.6万平方米,环比减少50.1%。
本周二十座城市土地总成交金额21.7亿元,环比减少58.9%。其中经营性用地5.4亿元,环比减少85.8%;非经营性用地6.3亿元,环比增加12.4%。成交楼面均价877元/平方米,环比下降17.7%,成交土地均价1733元/平方米,环比下降33.1%。
政策汇总
自然资源部与住建部联合发布《关于进一步支持城市更新行动若干措施的通知》,结合各地城市更新实践需求,在已有支持城市更新的规划和土地政策指引基础上,从增强详细规划适应性、优化过渡期支持政策、推进存量土地和空间的临时利用、鼓励资源资产组合供应整体运营、创新不动产登记服务、妥善处置历史遗留问题等方面提出一系列举措。
上海印发《上海银行业保险业养老金融高质量发展行动方案》,提出创新股权和债权投资方式,开展不动产信托盘活存量地产,丰富养老资金来源,继续探索新型养老服务信托、特殊需要服务信托等在养老、助老领域的应用场景。
上海制定“十五五”规划提出建议,推进群众宜居安居。坚持租购并举,满足人民群众多样化多元化住房需求。增加保障性住房供给,加强新时代城市建设者管理者之家筹措供应。强化房屋全生命周期安全管理。加快构建房地产发展新模式,建设安全舒适绿色智慧的“好房子”,推动房地产高质量发展。节约集约利用农村集体经营性建设用地,依法盘活用好闲置土地和房屋。加快城中村改造和旧住房成套改造。
深圳对商业用房购房贷款政策作以下调整:商业用房(含“商住两用房”)购房贷款最低首付款比例调整为不低于30%。在政策下限基础上,辖内各商业银行可按照市场化、法治化原则,结合自身经营情况、客户风险状况等因素,合理确定每笔商业用房购房贷款具体首付款比例。
深圳发布《深圳市配售型保障性住房管理办法》,明确了配售型保障性住房的申请条件、配售方式及流程、封闭管理、使用监管等内容,将于2026年3月1日起施行。配售型保障性住房实施严格封闭管理,禁止以任何方式变更为商品住房。购房人需退出配售型保障性住房的,签订买卖合同满3年后可以向市住房保障实施机构或者区住房主管部门申请在信息平台进行封闭流转,面向符合条件的对象转让,转让价格由转让方和受让方协商确定,市住房主管部门可以通过参考价格上限等方式规范转让行为。发生回购的,回购价格=原购买价格×(1-年折旧系数×建筑物已使用年限)。年折旧系数取1%。
本周要闻
2025年开发投资比上年下降17.2%,商品房销售额下降12.6%
国家统计局数据显示,2025年,全国房地产开发投资82788亿元,比上年下降17.2%。开发企业房屋施工面积659890万平方米,比上年下降10.0%;新开工面积58770万平方米,下降20.4%;竣工面积60348万平方米,下降18.1%。新建商品房销售面积88101万平方米,比上年下降8.7%;销售额83937亿元,下降12.6%。开发企业到位资金93117亿元,比上年下降13.4%。
12月份各线城市商品住宅销售价格总体下降
国家统计局数据显示,12月70个大中城市中,一线城市新建商品住宅销售价格环比下降0.3%,降幅比上月收窄0.1个百分点;二线城市环比下降0.4%,降幅扩大0.1个百分点;三线城市环比下降0.4%,降幅与上月相同。一线城市二手住宅销售价格环比下降0.9%,降幅比上月收窄0.2个百分点;二、三线城市环比均下降0.7%,降幅均扩大0.1个百分点。
北京2026年计划供应商品住宅用地200~240公顷
北京发布2026年度建设用地供应计划,全市预期实施建设用地约3240~3740公顷,计划安排新增供应建设用地3040~3540公顷,其中城乡建设用地2430~2530公顷、特交水用地610~1010公顷,支持低效产业用地、低效商业办公楼宇用地更新盘活200公顷以上。为支持构建房地产发展新模式,提高新增房地产用地供应精准性,安排商品住宅用地200~240公顷,优先在轨道站点周边、设施较为完备地区及就业密集地区开发建设,推动职住商服平衡,加大站城融合力度。推动“好房子”实施,提升住房品质和周边配套服务。优化保障性住房供给,优先存量转化,适度新增供应作为补充,安排保障性住房用地350公顷,增加对新市民、城市运行服务保障人员等群体的保障性住房供给,更好地满足“一张床”“一间房”租赁需求。
一线城市商品住宅成交走势
声明:本文由入驻焦点开放平台的作者撰写,除焦点官方账号外,观点仅代表作者本人,不代表焦点立场。
