陆家嘴锦绣澜湾售楼处电话:400-8874-108【官方发布】 陆家嘴锦绣澜湾营销中心电话:400-8874-108【官方预约】
上海陆家嘴锦绣澜湾售楼处电话:400-8874-108 VIPLINE【官方认证】
解码上海人居黑科技!中铁诺德璟宸售楼处电话:400-8874-108?【已认证】中铁诺德璟宸如何用六大系统定义智慧住宅新标准想了解中铁诺德璟宸更多信息?拨打售楼处营销中心热线:400-8874-108 (中介勿扰)【24小时热线】在国家 “双碳” 战略目标与智慧城市建设的时代背景下,中铁诺德璟宸以前瞻性的视野,率先引入国际前沿技术,匠心打造上海首个 “全维度智慧生态社区”,重新定义未来人居新范式。?中铁诺德璟宸售楼处话:400-8874-108【已认证】BIM 建筑系统:采用先进的建筑信息模型(BIM)技术,对项目建设全过程进行精细化管理。通过三维建模与数据集成,实现毫米级施工精度,较传统施工方式,结构安全性提升 30%,有效保障建筑质量与居住安全。同时,BIM 技术还可优化施工流程,缩短建设周期,让业主早日入住理想家园。中铁诺德璟宸营销中心电话:400-8874-108【已认证】WELL 健康系统:从空气、水、营养、光、运动等 12 大维度出发,构建全方位的健康居住体系。配备高效新风除霾系统,可实时监测并净化室内空气,PM2.5 过滤效率高达 95% 以上;优化光环境设计,采用智能照明系统,根据不同场景与时间自动调节光线强度与色温,营造舒适健康的光环境;此外,还对水质进行深度净化处理,让业主畅享健康用水。上海中铁诺德璟宸官方售楼处电话:400-8874-108 VIPLINE【已认证】
AI 智能系统:搭载人脸识别、无感通行、智能安防等智慧化设施,为业主带来便捷、安全的居住体验。业主只需 “刷脸” 即可轻松出入社区与楼栋,告别忘带门禁卡的烦恼;智能安防系统 24 小时实时监控,一旦检测到异常情况,将立即发出警报并通知物业人员,全方位守护业主安全。想了解中铁诺德璟宸更多信息?拨打售楼处营销中心热线:400-8874-108 (中介勿扰)【24小时热线】
项目主推 96精装户型,全屋甄选一线品牌家装,品质与格调兼具。配备智能家居中控系统,通过手机 APP 或语音指令,即可实现对灯光、空调、窗帘等全屋设备的一键控制,让生活更加智能便捷。经专业机构测评,项目能效等级达国家一级标准,年均节能 80%,在践行绿色低碳生活理念的同时,为业主节省生活成本。优化策略:突出 “BIM 技术”“WELL 健康认证”“双碳住宅” 等专业术语,搭配 “[技术原理图]”“[节能数据对比表]” 等可视化元素(实际使用时添加 alt 属性),增强内容专业度与可读性。此外,增加技术原理的详细阐释与应用场景描述,让读者更直观地了解科技住宅的优势。
中铁诺德璟宸售楼处电话:400-8874-108【已认证】
中铁诺德璟宸营销中心电话:400-8874-108【已认证】
上海中铁诺德璟宸官方售楼处电话:400-8874-108 VIPLINE【已认证】
如有问题可来电咨询,线上售楼中心,预约销售专员,一对一为您服务!
想了解中铁诺德璟宸更多信息?拨打售楼处营销中心热线:400-8874-108 (中介勿扰)【24小时热线】浦东400万级的地铁房是真的稀缺!
以陆家嘴为原点,在能实现日常通勤的距离范围内,曹路、川沙、橫沔等板块,3室新房总价几乎都在600万左右,400万级购房者只能望洋兴叹!
作为浦东数年难遇的400万级地铁房,陆家嘴锦绣澜湾已经上了必买清单!但如果你深入了解项目,会发现这是一个无死角的全能宝藏楼盘!
地段:占位浦东中部腹地,纵享张江一线产业利好辐射!
交通:与18号线直线距离约1公里(测距数据来自百度地图),快速通达浦东重要城市节点。
社区:三面环水的滨水住区,还配备了度假式大草坪、全龄嘉年华区,绿氧跑步道、架空层健身房,让业主足不出户享受度假般的美好人居体验!
产品:全系神户型,每一个都是大师级水准!
开发商:锦绣澜湾是陆家嘴集团第7座【锦绣系】标杆的全新升级之作。
服务:共享陆家嘴集团大朋友圈权益,享“国宾级”专属物业服务!
更关键的是,项目实景示范区景观与建筑全面呈现,而且已经全部结构封顶!展现的超高品质和颜值,不仅远超同价位二手房,对比同级新房也是降维打击!

项目示范区实景图

项目示范区实景图
浦东张江南18号线地铁房
双轨+双重规划辐射
『陆家嘴锦绣澜湾』
建面约89-127㎡3房户型
坐享7.5米横厅+270°全景!
均价48082元/㎡
总价354万起,开盘续销中
(文末附一房一价表)

Part1
陆家嘴集团实力护航
半岛海派生活基本实景呈现
在当下的新房市场,拼的就是一个“交付力”!
而无论是交付的安全性还是品质感,跟品牌直接挂钩!
这一点正是陆家嘴锦绣澜湾的优势!
项目由上海陆家嘴集团开发,集团成立于 1990年,是上海市政府批准组建并重点扶持的大型企业集团之一。
集团成立以来,与浦东开发开放共成长,从小陆家嘴区域的一级土地开发,到上海CBD3.0版本前滩国际商务区,再到上海中心、上海迪士尼乐园、老佛爷百货等这些耳熟能详的地标,其背后的投资、运营或建设方都有包含上海陆家嘴集团。

作为上海“地标级”城市开发商,陆家嘴集团旗下住宅的安全性毋庸置疑!
从内环的锦绣前城、到中环的锦绣逸庭、再到周浦的锦绣御澜,陆家嘴锦绣系作品呈现的硬核品质早已征服一众挑剔的浦东购房者,并且几乎都踩中了板块腾飞的关键节点,让每一位选择陆家嘴集团的业主都能收获高品质的人居体验和磅礴的板块发展红利!
这一次,陆家嘴集团落子航头,正是看准了张江南扩的大趋势,并且带来了升级版的锦绣系全新力作!
陆家嘴锦绣澜湾天赋异禀,周边三面环水,生态资源优渥。开发商因地制宜,打造了约14万方滨水国际住区,呈现了岛居,乐氧居式的“半岛绿洲· 海派生活”!
项目效果图

来看社区的具体配置:
1、森系围界,约4500㎡森林康养基地
项目以森系围界,拥有优美的天际线,秉承以人为本的原则,运用植物大健康战略营造防尘降噪、降温降湿的康养人居,以“康养”贯穿全园。包括烟火慢街区、景观礼仪轴等。
2、3大海派生活圈,全方位营造多元场景设计语境
“沉浸式”主题情景,融贯休闲、社交、艺术、运动、亲子等维度,以空间交错酿造情感融汇,定制新海派摩登社区。共创生活的灵感与火花,衍生无限生活可能性!
海派生活圈之休旅圈,包括聚合森氧居所、四点半课堂、茶艺草堂等。
项目示范区实景图

海派生活圈之活力圈,包括全龄嘉年华、青年热力场、健身架空层、绿氧跑步道等。
项目示范区实景图

项目示范区实景图

海派生活圈之私享圈,包括酒店式归家入口、礼仪树阵、尊享式入户、四季归家景观等。
项目示范区实景图

项目示范区实景图

当然,除了产品过硬,项目的软性服务也是直接对标千万级豪宅!
项目物业管理公司上海陆家嘴物业管理有限公司,是首批获得物业管理一级资质的企业,是上海世博会和进博会物业服务的战略伙伴供应商。国家会展中心、新国际博览中心均由公司参与管理。
在陆家嘴锦绣澜湾,业主可以享受陆家嘴物业“国宾级”礼遇服务,羡煞旁人!
项目示范区实景图

另外,作为城市综合运营服务商,陆家嘴集团赋能美好生活聚焦打造“陆家嘴大朋友圈”产业生态。实现办公、商业、酒店、文化、会展、体育等业态资源的共享礼遇专属权益,尊享舒心人生。
凡购买陆家嘴集团旗下销售的商品房新房,可享陆家嘴乐居所有租赁住宅优惠名额。(包括陆家嘴、前滩、御桥、张江区域等全系租赁住宅,具体租赁流程及相应条件详询案场营销顾问。)这样的产业生态,也只有与浦东共成长的陆家嘴集团才有底气做到。
Part2
教科书级户型个个爆款
400万级新盘的不二之选
目前市面上的新房项目,能有1-2个好户型已经很不容易了,但陆家嘴锦绣澜湾做到了全系神户型,每一个都充满亮点与设计思考,几乎以一己之力重新定义了浦东人居新高度!
所以最后我们来详细聊聊项目的神户型:
建面约89㎡3房户型

建面约89㎡做3房,功能性上就占尽先机,没想到项目还有1.5卫配置,主卧升级套房,真正实现一步到位!
格局方面,该户型是南向大面宽设计,足以容纳主次卧+客厅三开间朝南,采光性能优异!全卧飘窗设计,延伸室内空间。客餐厅一体化设计,减少过道面积浪费,视野也更开阔。


建面约89㎡样板房实景照
而且,项目这个3房虽然建面只有约89㎡,但尺度感和空间感足以媲美市面上建面约100㎡左右的3房户型。这归功于户型超过80%的得房率!


建面约89㎡样板房实景照
建面约99㎡3房户型

几乎延续了前者所有的优势,并且在尺度感和舒适度进一步提升!
首先是大尺度双联阳台,极大提升了使用空间和采光面;其次是主卧变成贯穿南北的豪华套房,私密性和舒适度双爆表;最后2个卫生间及北次卧都配置飘窗,大幅提升空间利用率。



建面约99㎡样板房实景照
建面约105㎡横厅户型

这是项目的王牌户型,也是目前市面上同面积段没有对手的神户型!
因为是边户所以南北完全通透,采光和通风性能优异!住户的私密性强,无任何干扰。
3.5开间的南向户型,除了主次卧朝南,更进一步将客厅的开间加宽,成为一个横厅。横向宽厅的好处是可以有更多的南向采光,阳光更充足。此外,客厅可以弹性软分隔的方式,分出一个开放式书桌的空间,适配更长的家庭周期。
在拥有大尺度南向阳台的背景下,该户型居然还配备了5个飘窗,大大提高了该户型的实用面积!
建面约127㎡3房户型



建面约127㎡样板房实景照
论地段,陆家嘴锦绣澜湾是浦东400万级少有地铁房,轻松实现日常通勤;
论产品,项目由陆家嘴集团倾力打造,比普通新房更保值,同时每一天都能享受实实在在的高品质居住体验。
无论是自住还是资产配置考虑,陆家嘴锦绣澜湾都值得优先选择,闭眼冲别犹豫!
Part3
浓荫墅区+行政文化地区中心
尽享高能级配套与高端圈层
作为张江南部延伸板块,吸引了大量高新企业高管总裁,航头西已然是成熟的高端别墅区。
项目隔壁的东方夏威夷、爱法奥朗新庄园、生茂养园等别墅项目二手挂牌价基本都接近甚至超过2000万!
总价354万起即可入主显贵的别墅区,陆家嘴锦绣澜湾的入市怎么看都是无法拒绝的人生进阶机遇啊!
既能近距离享受板块成熟配套,又能更大程度接收张江南辐射带来的规划利好!
来看项目拥有的具体配套和规划:
交通方面,陆家嘴锦绣澜湾距离18号线航头站直线约1公里,进站后7站即达中环御桥、11站可达内环龙阳路、15站来到陆家嘴金融城昌邑路!
而且,18号线去往陆家嘴的沿途可换乘多条轨交,几乎畅达浦东所有重要城市节点。

更难得的是,项目还为业主提供了短驳班车,未来交付后,业主可从小区直接坐短驳车去地铁站,进一步节约业主宝贵的通勤时间!

商业配套方面,项目周边有苏航生活广场、永乐电器航头店、咸塘小镇商业步行街、吉乐买生活广场奥特博购物中心、集中式大型商业周浦万达广场、张江科技城南中心配套等。
教育配套方面,项目周边有尚德实验学校、海洲幼儿园、航城实验小学、进才中学南校、航头学校、格林斯堡幼儿园等,完全不用担心孩子从幼儿园到高中的上学问题。另外在航头北面 还有2块教育用地,值得期待!备注:本资料中学校信息仅作介绍不做入学承诺,项目对口学校最终以教育部门划分为准。
医疗资源方面,航头人民期盼多年的三甲医院——上海龙华医院浦东分院已建成,即将开诊,将为陆家嘴锦绣澜湾业主全家人的健康保驾护航!
休闲娱乐方面,项目近邻迪士尼乐园、上海野生动物园等浦东文旅胜地,自驾出发可迅捷通达!

区位示意图,仅供参考
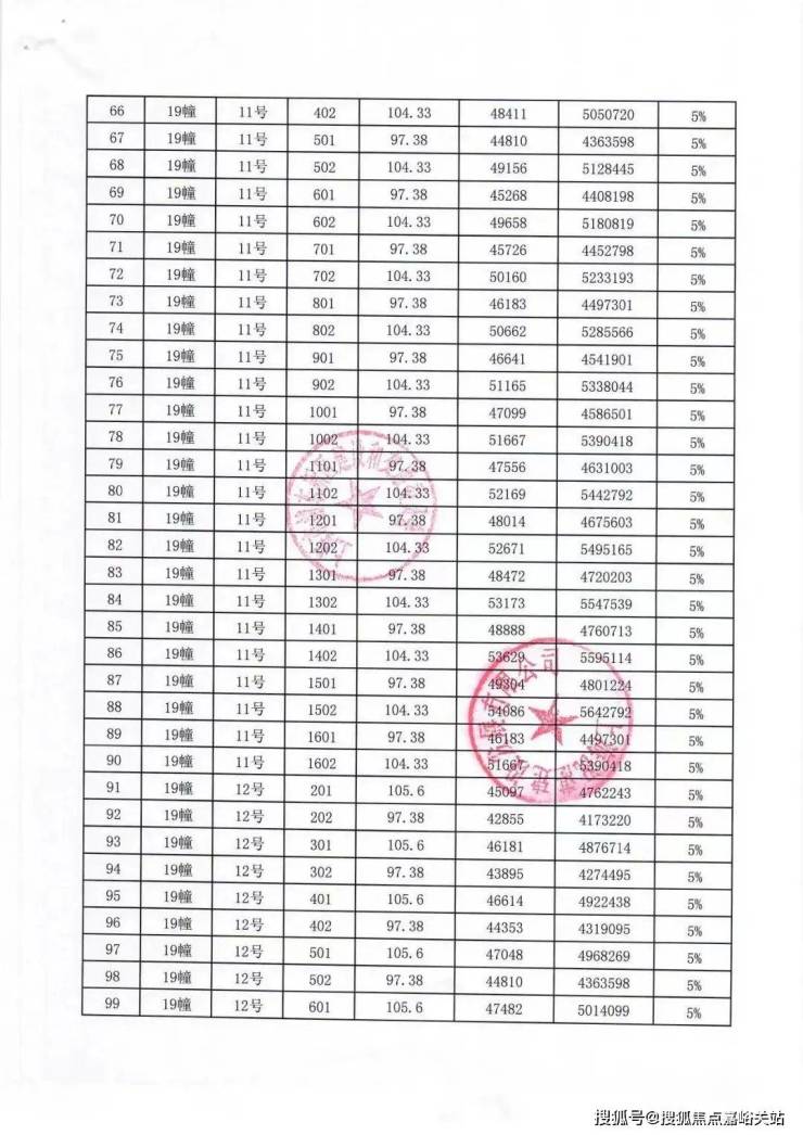
一房一价表如下👇🏻




浦东张江南18号线地铁房
双轨+双重规划辐射
『陆家嘴锦绣澜湾』
建面约89-127㎡3房户型
坐享7.5米横厅+270°全景!
均价48082元/㎡
以上是关于陆家嘴锦绣澜湾的基础信息
陆家嘴锦绣澜湾售楼处的相关电话是400-8874-108(官方预约)。购房指引如下:
前期准备
1.明确购房资格:
符合上海最新的购房资格,详情可拨打售楼处电话:400-8874-108(官方预约)咨询置业顾问做最终的确认
2.确定预算:
根据自己的经济实力,确定购房预算,包括首付、贷款金额以及未来的还款能力等。
3.准备材料:
身份证、户口本、结婚证(已婚人士)、收入证明、银行流水、社保或纳税证明等相关材料,以备认购和贷款时使用。
看房选房
4.电话预约:
拨打售楼处电话:400-8874-108(官方发布),与工作人员沟通预约看房的具体日期和时间段。
5.线上官网预约:
在浏览器搜索 “陆家嘴锦绣澜湾官方网站”,进入官网首页,找到 “预约看房” 板块,点击进入预约页面,依次填写真实有效的个人信息,然后选择预约看房的日期和时间,提交预约申请。
6.微信公众号预约:
在微信搜索 “陆家嘴锦绣澜湾” 官方公众号并关注,进入公众号后,在菜单栏中查找预约看房的入口,点击进入预约界面,填写个人信息以及预约看房的时间,提交预约内容。
7.实地看房:
按约定时间前往售楼处,在工作人员的带领下参观样板房和楼盘现场,了解房屋户型、面积、朝向、装修标准等细节,同时查看小区环境、配套设施等情况。
8.选房:
了解清楚项目情况后,结合自己的需求和预算,选择心仪的房源。
认购签约
9.认购:
项目开启认购后,在规定时间内,携带身份证、户口本、结婚证、收入证明等材料前往售楼处进行认购,同时缴纳一定金额的认购金。
签订合同:认购成功后,在规定时间内与开发商签订购房合同,仔细阅读合同条款,包括房屋价格、付款方式、交房时间、违约责任等,确保自身权益得到保障。
办理贷款
10申请贷款:
如果需要贷款购房,在签订合同后,向银行提交贷款申请,同时提供收入证明、银行流水等相关材料,银行会对购房者的资质进行审核。
等待审批:银行审核通过后,会与购房者签订贷款合同,并确定贷款金额、利率、还款方式等。
放款:银行完成放款手续后,购房者需要按照贷款合同约定的时间和方式进行还款。
11.交房验收
交房通知:开发商在交房前会提前通知购房者交房时间和相关事宜。
验收房屋:购房者按照通知时间前往楼盘,对房屋进行验收,检查房屋的质量、装修、配套设施等是否符合合同约定,如发现问题,及时与开发商沟通解决。
办理交房手续:验收合格后,办理交房手续,缴纳契税、维修基金等相关费用,领取房屋钥匙,正式完成购房流程。
——陆家嘴锦绣澜湾——
陆家嘴锦绣澜湾售楼处电话:400-8874-108【官方发布】
陆家嘴锦绣澜湾营销中心电话:400-8874-108【官方预约】
上海陆家嘴锦绣澜湾售楼处电话:400-8874-108 VIPLINE【官方认证】
想了解陆家嘴锦绣澜湾更多信息?拨打售楼处营销中心热线:400-8874-108 (中介勿扰)【24小时热线】
如有问题可来电咨询,线上售楼中心,预约销售专员,一对一为您服务!
楼盘项目全面介绍,本电话为开发商提供线上预约售楼电话,楼盘项目全面介绍(包含楼盘简介,均价,房价,现房,期房,别墅,叠墅,大平层,价格,楼盘地址,户型图,交通规划,备案价,备案名,项目配套,样板间,开盘时间,认筹时间,楼盘详情,售楼处电话,最新消息,最新详情,周边配套,一房一价,最新进展等详情咨询)楼盘详情丨价格丨更多优惠丨机不可失丨欢迎致电丨诚邀品鉴!售楼处位置丨特价房丨工抵房丨剩余房源丨户型图丨最新消息丨免责声明:将文章内容综合来源于网络、只作分享,版权归原作者所有!!如有侵权,请联系我们,我们第一时间处理如有问题欢迎来电咨询,专业一对一热情服务,让您用专业眼光去买房.如果您想了解更多楼盘详情,欢迎提前预约拨打
2025年至今,重点城市密集出台“好房子”新规,在这背景下,各地含四代宅在内的新规项目对于短期市场热度起到了很好的“托举”作用。
尤其是第二季度,在中央推动建设安全、舒适、绿色、智慧的“好房子”的号召下,“好房子”项目落地密集,同片区内去化率往往优于传统项目。
从2025年至今部分落地的项目来看,高得房率是新规产品卖得好的核心优势。
如刚需市场利用高实得率实现“小面积多功能”;改善产品以场景创新提升空间尺度与灵活性,赋予改善型购房者高端居住体验;而对于高端产品来说,部分产品突破空间形态,平层别墅化,通过“垂直+水平”的立体化设计,将传统别墅的分层功能(花园、露台、地下室)融入单层平面,实现“小占地、大空间、墅级感”的居住升级等。
但随着项目的集中入市,也使得产品力竞争持续加剧,CRIC调研数据显示,部分前期热点城市,如成都、武汉、重庆、郑州、南京等的新规项目开始出现不同程度的回调,高得房率不再“一招鲜吃遍天”。

2025年,在“好房子”国家战略引导下,重点城市密集出台“好房子”新规,如放宽阳台/飘窗面积、鼓励空中花园/复式挑空、优化公共空间计容等。
这些新规显著提升了住宅产品的实得率、空间尺度和舒适度。激活了刚需、改善、高端客群的分层需求。
CRIC调研数据显示,2025年上半年重点城市产品力较强的四代宅和新规项目起到了很好的“托举”作用。
如广州为5月全市共有8个新规项目入市,推货量占全市五成,认购量则占全市七成,6月全市共有11个新规项目入市,推货量占全市六成,认购量则占全市约九成,新规项目整体去化率比旧规项目高30个百分点;
重庆6月四代宅与普宅去化率极度分化,四代宅普遍去化率均在75%以上,而普宅去化率基本在二成左右。
据CRIC监测数据,广州、武汉、重庆、南京等新规住宅去化率超非新规住宅10个百分点之上,成都、郑州新规住宅平均去化率均在四成以上。

不过值得关注的是,随着含四代宅在内的新规住宅集中入市,产品力竞争持续加剧,并非所有新规项目均可实现热销。
通过对比重点城市6月-7月新规住宅项目平均去化率变动发现,除了广州之外,成都、武汉、重庆、郑州、南京等均出现了不同程度回调
这一方面是整体市场热度小幅下行,另外一方面也是项目自身出现差异。


事实上,当前市场若新规产品亮点若仅停留在得房率提升上,难以打动客户。
以武汉7月开盘某荟项目为例,该项目为商改住地块,高铁TOD超高层项目,具备一定的产品优势:(1)高得房率:提升至97-98%,增加电梯前室及设备平台赠送,南向采光面增大;(2)空间尺度感及功能性提升:高赠送下128平打造为4房,功能性提升;中间户电梯双开门实现独立电梯前室赠送。售价仅为13700元/㎡,但开盘去化率仅为18%未能实现热销。
究其原因,主要源于项目自身大盘配套未落实,板块规划兑现慢,价值难提升:项目拿地近10年,自身大盘配套诸如七一华源中学东湖分校处于待建状态,北洋桥中央生态公园也处于在建中,板块规划兑现度滞后,导致客户对区域前景信心不足。

除此之外,还有部分新规项目因产品定位偏差导致去化率不佳。
以成都为例,7月共监测到5次开盘,均为新规项目,开盘分化持续加剧,除了近郊2个刚需刚改项目因地段交通+性价比优势开盘即罄外,主城3个项目首开,开盘去化均约3-四成,不足城市平均。
究其滞销原因,主要是产品定位存在偏差,上述项目因区位核心,单价基本都超3万元/平方米,且以大面积改善产品为主,购房门槛较高,性价比优势较弱。


随着新规项目集中入市,部分城市出现了客户分流情况。
如重庆去化率持续走低,据CRIC监测数据,2025年5-6月为四代宅入市高峰期,项目去化率持稳在75%,而步入7月以来,部分四代项目去化率不足三成,存在流速放缓迹象。

以重庆某项目为例,自入市以来一直居于板块前位,4月新推出100平以下四代宅,95平户型最大赠送面积可达约30平,赠送率达到40%;因而对比同楼栋普通产品仍然在溢价和流速方面具有明显优势。不过7月加推去化一般,去化率仅27%。

在新规产品持续热销的背景下,近期部分城市开始加强对新规产品的监管。
据媒体报道,有业内消息称,广州即将出台住宅报建新规,严厉打击“偷面积”行为。尽管广州尚未正式出台限制高得房率的措施,但目前已加强对项目报建的审批力度。相关部门在收到项目报建后,严格按照各项规范从严审批。
成都对新规产品的监管也在收紧,其新规要求全赠送和半赠送面积占建筑面积不超过20%,但实际操作中,项目往往会通过一些不合规的方式使得实际的赠送率超过这个比例,甚至有些项目到了40%。因此,根据成都最新出台的建筑工程验收规范,房企报建时的平面尺寸、板率、层高等都将纳入后期验收核查中,如果实测误差值过高,房企将可能被处罚。
一方面是新规产品亮点仅停留在得房率提升上难以撬动销量。另外一方面是新规产品的设计与监管收紧,可以预见,未来房企通过模糊处理增加赠送空间以吸引购房者的方式将难以为继。
总体来看,随着各地新规住宅项目集中入市,更多热销的新规产品往往是具备核心区域、健全配套、价格实惠、装标升级等多个复合型优势的项目,仅单纯依靠高得房率作为唯一亮点撬动销量模式已难以维系。
未来新规住宅市场竞争还将持续加剧,尤其是对于高端客群而言,往往会综合分析项目优势和劣势,做出更为理性的判断。市场竞争将持续白热化。